Issue 19, 2012

Stereoselective synthesis of functionalised carbocyclic amides: construction of the syn-(4aS,10bS)-phenanthridone skeleton

Abstract

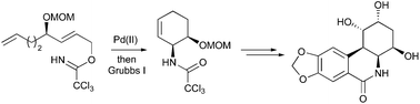
A new synthetic approach has been developed for the preparation of 7-deoxypancratistatin analogues bearing a syn-(4aS,10bS)-phenanthridone ring junction. A one-pot tandem process involving a substrate-directed Overman rearrangement and ring closing metathesis reaction was developed for the stereoselective synthesis of a carbocyclic allylic trichloroacetamide. Conversion to a 6-bromopiperonyl amide, followed by a Heck reaction generated a homoallylic alcohol and completed the syn-(4aS,10bS)-phenanthridone carbon skeleton. Stereoselective epoxidation and dihydroxylation of the syn-(4aS,10bS)-phenanthridone framework was then investigated leading to the preparation of new analogues of 7-deoxypancratistatin.

Graphical abstract: Stereoselective synthesis of functionalised carbocyclic amides: construction of the syn-(4aS,10bS)-phenanthridone skeleton

Supplementary files

Article information

Article type
Paper
Submitted
15 Feb 2012
Accepted
16 Mar 2012
First published
19 Mar 2012

Org. Biomol. Chem., 2012,10, 3937-3945

Stereoselective synthesis of functionalised carbocyclic amides: construction of the syn-(4aS,10bS)-phenanthridone skeleton

S. Ahmad, M. D. Swift, L. J. Farrugia, H. M. Senn and A. Sutherland, Org. Biomol. Chem., 2012, 10, 3937 DOI: 10.1039/C2OB25334H

To request permission to reproduce material from this article, please go to the Copyright Clearance Center request page.

If you are an author contributing to an RSC publication, you do not need to request permission provided correct acknowledgement is given.

If you are the author of this article, you do not need to request permission to reproduce figures and diagrams provided correct acknowledgement is given. If you want to reproduce the whole article in a third-party publication (excluding your thesis/dissertation for which permission is not required) please go to the Copyright Clearance Center request page.

Read more about how to correctly acknowledge RSC content.

Social activity

Spotlight

Advertisements