Issue 9, 2012

Enantioselective synthesis of the carbocyclic nucleoside (−)-abacavir

Abstract

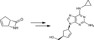
An enantiopure β-lactam with a suitably disposed electron withdrawing group on nitrogen, participated in a π-allylpalladium mediated reaction with 2,6-dichloropurine tetrabutylammonium salt to afford an advanced cis-1,4-substituted cyclopentenoid with both high regio- and stereoselectivity. This advanced intermediate was successfully manipulated to the total synthesis of (−)-Abacavir.

Graphical abstract: Enantioselective synthesis of the carbocyclic nucleoside (−)-abacavir

Supplementary files

Article information

Article type
Paper
Submitted
21 Oct 2011
Accepted
05 Dec 2011
First published
07 Dec 2011

Org. Biomol. Chem., 2012,10, 1870-1876

Enantioselective synthesis of the carbocyclic nucleoside (−)-abacavir

G. A. Boyle, C. D. Edlin, Y. Li, D. C. Liotta, G. L. Morgans and C. C. Musonda, Org. Biomol. Chem., 2012, 10, 1870 DOI: 10.1039/C2OB06775G

To request permission to reproduce material from this article, please go to the Copyright Clearance Center request page.

If you are an author contributing to an RSC publication, you do not need to request permission provided correct acknowledgement is given.

If you are the author of this article, you do not need to request permission to reproduce figures and diagrams provided correct acknowledgement is given. If you want to reproduce the whole article in a third-party publication (excluding your thesis/dissertation for which permission is not required) please go to the Copyright Clearance Center request page.

Read more about how to correctly acknowledge RSC content.

Social activity

Spotlight

Advertisements