Issue 66, 2012

Efficient synthesis of diverse hetero-bis-metallated alkenes as modular reagents towards highly conjugated and isolated olefinic systems

Abstract

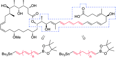
An efficient synthesis of diverse hetero-bis-metallated alkenes with conjugated and isolated olefin subunits is reported. Relying on those useful tin/boron reagents a convergent, palladium-catalyzed fragment coupling strategy has been developed as an elegant methodology to construct highly conjugated polyenes and stabilized olefinic analogues thereof. The utility of these reagents was further demonstrated in a concise and modular construction of extended polyene side chains of the potent polyketide antibiotic etnangien.

Graphical abstract: Efficient synthesis of diverse hetero-bis-metallated alkenes as modular reagents towards highly conjugated and isolated olefinic systems

Supplementary files

Article information

Article type
Communication
Submitted
06 Jun 2012
Accepted
30 Jun 2012
First published
02 Jul 2012

Chem. Commun., 2012,48, 8267-8269

Efficient synthesis of diverse hetero-bis-metallated alkenes as modular reagents towards highly conjugated and isolated olefinic systems

M. Altendorfer and D. Menche, Chem. Commun., 2012, 48, 8267 DOI: 10.1039/C2CC34052F

To request permission to reproduce material from this article, please go to the Copyright Clearance Center request page.

If you are an author contributing to an RSC publication, you do not need to request permission provided correct acknowledgement is given.

If you are the author of this article, you do not need to request permission to reproduce figures and diagrams provided correct acknowledgement is given. If you want to reproduce the whole article in a third-party publication (excluding your thesis/dissertation for which permission is not required) please go to the Copyright Clearance Center request page.

Read more about how to correctly acknowledge RSC content.

Social activity

Spotlight

Advertisements