A general synthetic method for MPO4 (M = Co, Fe, Mn) frameworks using deep-eutectic solvents†
Abstract
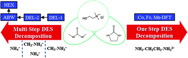
A general approach was developed to synthesize a series of cobalt, manganese, and iron phosphate frameworks in deep-eutectic
* Corresponding authors
a
Department of Chemical and Biomolecular Engineering, University of Delaware, Newark, Delaware 19716, USA
E-mail:
jiao@udel.edu
Fax: +1 302 831 1048
Tel: +1 302 831 3679
b Key Laboratory of Bioinorganic and Synthetic Chemistry of Ministry of Education/School of Chemistry & Chemical Engineering, Sun Yat-Sen University, Guangzhou 510275, P. R. China
A general approach was developed to synthesize a series of cobalt, manganese, and iron phosphate frameworks in deep-eutectic
B. T. Yonemoto, Z. Lin and F. Jiao, Chem. Commun., 2012, 48, 9132 DOI: 10.1039/C2CC34020H
To request permission to reproduce material from this article, please go to the Copyright Clearance Center request page.
If you are an author contributing to an RSC publication, you do not need to request permission provided correct acknowledgement is given.
If you are the author of this article, you do not need to request permission to reproduce figures and diagrams provided correct acknowledgement is given. If you want to reproduce the whole article in a third-party publication (excluding your thesis/dissertation for which permission is not required) please go to the Copyright Clearance Center request page.
Read more about how to correctly acknowledge RSC content.
Fetching data from CrossRef.
This may take some time to load.
Loading related content