Issue 37, 2012

Przewalskone: a cytotoxic adduct of a danshenol type terpenoid and an icetexane diterpenoidvia hetero-Diels–Alder reaction from Salvia przewalskii

Abstract

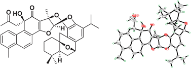
Przewalskone (1), an unprecedented adduct of two different terpenoid units via a hetero-Diels–Alder cycloaddition, was isolated from the roots of Salvia przewalskii. The structure and absolute configurations were elucidated by extensive analysis of NMR spectra and crystal X-ray diffractions. Compound 1 exhibited significant cytotoxicities against five human cancer lines in vitro (IC50 0.69–2.35 μM).

Graphical abstract: Przewalskone: a cytotoxic adduct of a danshenol type terpenoid and an icetexane diterpenoid via hetero-Diels–Alder reaction from Salvia przewalskii

Supplementary files

Article information

Article type
Communication
Submitted
18 Jan 2012
Accepted
16 Feb 2012
First published
17 Feb 2012

Chem. Commun., 2012,48, 4438-4440

Przewalskone: a cytotoxic adduct of a danshenol type terpenoid and an icetexane diterpenoid via hetero-Diels–Alder reaction from Salvia przewalskii

G. Xu, X. Yang, C. Wu, X. Li, J. Su, X. Deng, Y. Li, H. Qin, L. Yang and Q. Zhao, Chem. Commun., 2012, 48, 4438 DOI: 10.1039/C2CC30405H

To request permission to reproduce material from this article, please go to the Copyright Clearance Center request page.

If you are an author contributing to an RSC publication, you do not need to request permission provided correct acknowledgement is given.

If you are the author of this article, you do not need to request permission to reproduce figures and diagrams provided correct acknowledgement is given. If you want to reproduce the whole article in a third-party publication (excluding your thesis/dissertation for which permission is not required) please go to the Copyright Clearance Center request page.

Read more about how to correctly acknowledge RSC content.

Social activity

Spotlight

Advertisements