Issue 6, 2011

Synthesis and properties of poly[2,2′-(4,4′-(2,6-bis(phenoxy) benzonitrile))-5,5′-bibenzimidazole] for proton conducting membranes in fuel cells

Abstract

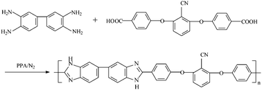
Poly[2,2′-(4,4′-(2,6-bis(phenoxy) benzonitrile))-5,5′-bibenzimidazole] (PBI-CN) was synthesized via the polycondensation of 3,3′,4,4′-tetraaminobiphenyl and 2,6-bis(4-carboxyphenoxy) benzonitrile. The introduction of the nitrile group to the main chain of PBI-CN can provide both strong polarity and a reactive site for further reaction. The effects of different reaction conditions on the intrinsic viscosity of the synthesized polymer are discussed, which is consistent with the regular pattern. After appropriate purification of starting materials and optimization of polymerization conditions, the synthesized polymer can exhibit higher intrinsic viscosity, which means higher molecular weight. The solubility, chemical oxidation stability, thermal degradation behavior, acid doping ability, and proton conductivity of the synthesized polymers were studied. Compared with poly[2,2′-(m-phenylene)-5,5′-bibenzimidazole] (PBI-ph), the introduction of –C≡N and –O– group in PBI-CN provides the polymer with better acid doping ability and chemical oxidation stability, while the solubility and thermal stability decrease a little. The proton conductivity of PBI-CN/3.5H3PO4 composite membranes can reach ∼10−3 S cm−1 at 170 °C under anhydrous condition. The temperature dependence of proton conductivity of the acid doped membranes can be modeled by an Arrhenius relation.

Graphical abstract: Synthesis and properties of poly[2,2′-(4,4′-(2,6-bis(phenoxy) benzonitrile))-5,5′-bibenzimidazole] for proton conducting membranes in fuel cells

Article information

Article type
Paper
Submitted
31 Jul 2010
Accepted
19 Mar 2011
First published
30 Mar 2011

Polym. Chem., 2011,2, 1287-1292

Synthesis and properties of poly[2,2′-(4,4′-(2,6-bis(phenoxy) benzonitrile))-5,5′-bibenzimidazole] for proton conducting membranes in fuel cells

Y. Guan, H. Pu and D. Wan, Polym. Chem., 2011, 2, 1287 DOI: 10.1039/C0PY00242A

To request permission to reproduce material from this article, please go to the Copyright Clearance Center request page.

If you are an author contributing to an RSC publication, you do not need to request permission provided correct acknowledgement is given.

If you are the author of this article, you do not need to request permission to reproduce figures and diagrams provided correct acknowledgement is given. If you want to reproduce the whole article in a third-party publication (excluding your thesis/dissertation for which permission is not required) please go to the Copyright Clearance Center request page.

Read more about how to correctly acknowledge RSC content.

Social activity

Spotlight

Advertisements