Issue 2, 2010

Conjugated ethynylene-fluorenepolymers with electro-donating TTF as pendant groups: Synthesis, electrochemical and spectroscopic properties

Abstract

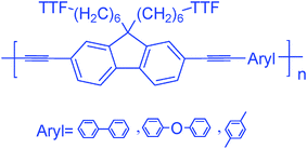
A series of conjugated ethynylene-fluorene polymers with electro-donating TTF as pendant groups (P2–P4) were synthesized by using Sonogashira coupling reaction, and two functionalization methods, i.e. prepolymerization and postpolymerization, were developed. The composition and purity of the corresponding products were analyzed by 1H NMR. The results proved the functionalization of P2 (pre) and P2 (post) were 40% and 100%, respectively. The results also indicated that the postpolymerization method would be a better approach to prepare TTF-pendant conjugated ethynylene-fluorene polymers. The postpolymerization methodology could be extended to synthesize other conjugated fluorene-based polymers bearing TTF units (P3 and P4). The polymers mentioned above exhibited good solubility in normal organic solvents and higher conductivity (neutral conductivity ∼2–4 × 10−6 S cm−1; doped conductivity ∼1–3 × 10−3 S cm−1). Moreover, the fluorescence intensity of P2 (post) could be modulated by the oxidation of TTF units, which makes it an attractive candidate for the fluorescence switch.

Graphical abstract: Conjugated ethynylene-fluorene polymers with electro-donating TTF as pendant groups: Synthesis, electrochemical and spectroscopic properties

Article information

Article type
Paper
Submitted
29 Sep 2009
Accepted
13 Nov 2009
First published
08 Dec 2009

New J. Chem., 2010,34, 318-324

Conjugated ethynylene-fluorene polymers with electro-donating TTF as pendant groups: Synthesis, electrochemical and spectroscopic properties

X. Zhang, C. Wang, G. Lai, L. Zhang and Y. Shen, New J. Chem., 2010, 34, 318 DOI: 10.1039/B9NJ00520J

To request permission to reproduce material from this article, please go to the Copyright Clearance Center request page.

If you are an author contributing to an RSC publication, you do not need to request permission provided correct acknowledgement is given.

If you are the author of this article, you do not need to request permission to reproduce figures and diagrams provided correct acknowledgement is given. If you want to reproduce the whole article in a third-party publication (excluding your thesis/dissertation for which permission is not required) please go to the Copyright Clearance Center request page.

Read more about how to correctly acknowledge RSC content.

Social activity

Spotlight

Advertisements