Issue 12, 2009

A novel elsinochrome A derivative: a study of drug delivery and photodynamic activity

Abstract

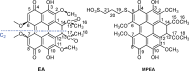
Elsinochrome A (EA) possesses the highest singlet-oxygen quantum yield (0.98) amongst the perilenoquinoid pigments and may be suitable as a phototherapeutic drug. However, there have been virtually no studies into its medicinal applications. Based on the analysis of chemical derivatives of hypocrellins (the same family as EA), 5-(3-mercapto-1-propanesulfonic acid)-substituted elsinochrome A (MPEA) with an amphiphilicity was designed and synthesized by considering drug delivery and biological activity requirements. MPEA possesses a water solubility of 5.1 mg mL−1, which is just sufficient to enable dissolution at a clinically acceptable concentration, while its partition coefficient (n-octanol/phosphate buffered saline) of 7 guarantees affinity to biological targets. MPEA could photogenerate semiquinone anion radicals and reactive oxygen species, especially singlet oxygen, at a yield of 0.73, which approaches that for hypocrellin B. Biological tests confirmed that the photodynamic activity of MPEA was as high as 60% of that of its parent EA, which is significantly higher than that of most other photosensitizers.

Graphical abstract: A novel elsinochrome A derivative: a study of drug delivery and photodynamic activity

Article information

Article type
Paper
Submitted
03 Jul 2009
Accepted
14 Sep 2009
First published
12 Oct 2009

Photochem. Photobiol. Sci., 2009,8, 1676-1682

A novel elsinochrome A derivative: a study of drug delivery and photodynamic activity

Y. Zhang, J. Xie, L. Zhang, C. Li, H. Chen, Y. Gu and J. Zhao, Photochem. Photobiol. Sci., 2009, 8, 1676 DOI: 10.1039/B9PP00046A

To request permission to reproduce material from this article, please go to the Copyright Clearance Center request page.

If you are an author contributing to an RSC publication, you do not need to request permission provided correct acknowledgement is given.

If you are the author of this article, you do not need to request permission to reproduce figures and diagrams provided correct acknowledgement is given. If you want to reproduce the whole article in a third-party publication (excluding your thesis/dissertation for which permission is not required) please go to the Copyright Clearance Center request page.

Read more about how to correctly acknowledge RSC content.

Spotlight

Advertisements