Issue 22, 2009

π Complexes in benzidine rearrangement

Abstract

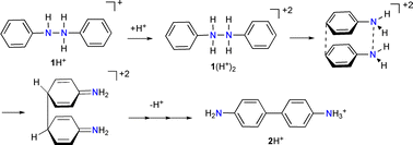
By the use of DFT calculations, the title rearrangement, Ph–NH–NH–Ph (1) → H2N–C6H4–C6H4–NH2 (2), was studied for the first time. Although it is a classical reaction (found in 1862), its mechanism is almost entirely unknown. There are three complexities associated with this mechanism. The first is the various rate orders for substituted hydrazobenzenes. The second is the product distribution. The third is the result of the kinetic isotope effect which is difficult to interpret. A reaction model, 1, (H3O+)2 and (H2O)10 was used to trace the reaction path. Two hydronium ions were included, because there are two nitrogen atoms in 1. In the paths of the main reaction, 1(H+)22H+ + H+, transient intermediates were found. Through their conversion, the second product, diphenyline (3), was reached. For 1H+, only the Claisen shift path was found, and the π complex proposed by Dewar was not found. The absence is in accord with the kinetic result of Hammond and Shine. But the complex was revealed in the dimethoxyhydrazobenzene. Thus, while Dewar's π complex was ruled out in 1950, it has been revived by the present calculations.

Graphical abstract: π Complexes in benzidine rearrangement

Supplementary files

Article information

Article type
Paper
Submitted
12 May 2009
Accepted
11 Aug 2009
First published
17 Sep 2009

Org. Biomol. Chem., 2009,7, 4631-4640

π Complexes in benzidine rearrangement

S. Yamabe, H. Nakata and S. Yamazaki, Org. Biomol. Chem., 2009, 7, 4631 DOI: 10.1039/B909313C

To request permission to reproduce material from this article, please go to the Copyright Clearance Center request page.

If you are an author contributing to an RSC publication, you do not need to request permission provided correct acknowledgement is given.

If you are the author of this article, you do not need to request permission to reproduce figures and diagrams provided correct acknowledgement is given. If you want to reproduce the whole article in a third-party publication (excluding your thesis/dissertation for which permission is not required) please go to the Copyright Clearance Center request page.

Read more about how to correctly acknowledge RSC content.

Social activity

Spotlight

Advertisements