Issue 6, 2009

Desulfurization of dibenzothiophene by chemical oxidation and solvent extraction with Me3NCH2C6H5Cl·2ZnCl2ionic liquid

Abstract

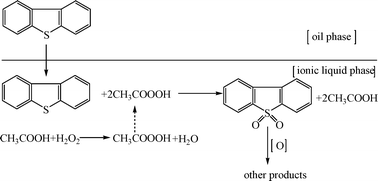
Desulfurization of dibenzothiophene (DBT) by a combination of both chemical oxidation and solvent extraction was investigated. Me3NCH2C6H5Cl·2ZnCl2 ionic liquid was prepared from cheap starting materials and used as extractant for oxidative desulfurization of DBT in n-octane. DBT in oil phase was extracted into ionic liquid phase and then oxidized to its corresponding sulfone by H2O2 and equal volume of acetic acid. The desulfurization yield of DBT in n-octane was 94% at 30 min under the conditions of H2O2/DBT molar ratio at 6 and V (ionic liquid) : V (n-octane) = 1 : 5, which was remarkably higher than that by mere extraction with ionic liquid (28.9%). The Me3NCH2C6H5Cl·2ZnCl2 ionic liquid could be recycled six times without a significant decrease in activity. Kinetics of oxidative desulfurization of DBT by H2O2 and acetic acid was first-order with an apparent rate constant of 0.0842 min−1 and half-time of 8.23 min.

Graphical abstract: Desulfurization of dibenzothiophene by chemical oxidation and solvent extraction with Me3NCH2C6H5Cl·2ZnCl2 ionic liquid

Article information

Article type
Paper
Submitted
05 Sep 2008
Accepted
12 Mar 2009
First published
01 Apr 2009

Green Chem., 2009,11, 883-888

Desulfurization of dibenzothiophene by chemical oxidation and solvent extraction with Me3NCH2C6H5Cl·2ZnCl2 ionic liquid

F. Li, R. Liu, Jin-hua Wen, D. Zhao, Z. Sun and Y. Liu, Green Chem., 2009, 11, 883 DOI: 10.1039/B815575E

To request permission to reproduce material from this article, please go to the Copyright Clearance Center request page.

If you are an author contributing to an RSC publication, you do not need to request permission provided correct acknowledgement is given.

If you are the author of this article, you do not need to request permission to reproduce figures and diagrams provided correct acknowledgement is given. If you want to reproduce the whole article in a third-party publication (excluding your thesis/dissertation for which permission is not required) please go to the Copyright Clearance Center request page.

Read more about how to correctly acknowledge RSC content.

Social activity

Spotlight

Advertisements