Wavepacket basis for time-dependent processes and its application to relaxation in resonant electronic transport
Abstract
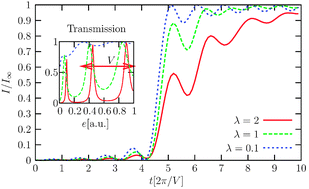
Stroboscopic wavepacket basis sets [P. Bokes, F. Corsetti, R. W. Godby, Phys. Rev. Lett., 2008, 101, 046402] are specifically tailored for a description of time-dependent processes in extended systems, such as non-periodic geometries of various contacts consisting of solids and molecules. The explanation of the construction of such a basis for two simple finite systems is followed by a review of the general theory for extended systems with continuous
- This article is part of the themed collection: Time-dependent density-functional theory
Please wait while we load your content...