Issue 14, 2008

High-valent iron-mediated cis-hydroxyacetoxylation of olefins

Abstract

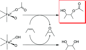
Evidence is obtained for the unprecedented cis-1,2-hydroxy-acetoxylation of olefins as minor products of the epoxidation of olefins by H2O2 that is catalyzed by nonheme iron complexes in the presence of acetic acid, providing further support for the previously proposed [(TPA)FeV(O)(OAc)]2+ oxidant.

Graphical abstract: High-valent iron-mediated cis-hydroxyacetoxylation of olefins

Article information

Article type
Communication
Submitted
14 Feb 2008
Accepted
18 Feb 2008
First published
04 Mar 2008

Dalton Trans., 2008, 1828-1830

High-valent iron-mediated cis-hydroxyacetoxylation of olefins

R. Mas-Balleste, M. Fujita and L. Que, Jr., Dalton Trans., 2008, 1828 DOI: 10.1039/B802587H

To request permission to reproduce material from this article, please go to the Copyright Clearance Center request page.

If you are an author contributing to an RSC publication, you do not need to request permission provided correct acknowledgement is given.

If you are the author of this article, you do not need to request permission to reproduce figures and diagrams provided correct acknowledgement is given. If you want to reproduce the whole article in a third-party publication (excluding your thesis/dissertation for which permission is not required) please go to the Copyright Clearance Center request page.

Read more about how to correctly acknowledge RSC content.

Social activity

Spotlight

Advertisements