Issue 5, 2007

Enthalpy driven nitrate complexation by guanidinium-based macrocycles

Abstract

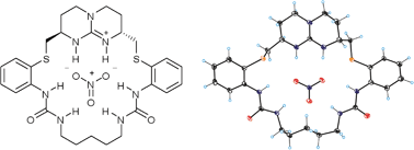
NMR and isothermal calorimetric titrations, as well as X-ray structures, show the binding of a nitrate anion inside guanidinium-based macrocycles. All six lone pairs of nitrate are complemented by oriented hydrogen bond donors from a guanidinium and two urea subunits.

Graphical abstract: Enthalpy driven nitrate complexation by guanidinium-based macrocycles

Supplementary files

Article information

Article type
Paper
Submitted
09 Nov 2006
Accepted
01 Feb 2007
First published
06 Mar 2007

New J. Chem., 2007,31, 736-740

Enthalpy driven nitrate complexation by guanidinium-based macrocycles

P. Blondeau, J. Benet-Buchholz and J. de Mendoza, New J. Chem., 2007, 31, 736 DOI: 10.1039/B616409A

To request permission to reproduce material from this article, please go to the Copyright Clearance Center request page.

If you are an author contributing to an RSC publication, you do not need to request permission provided correct acknowledgement is given.

If you are the author of this article, you do not need to request permission to reproduce figures and diagrams provided correct acknowledgement is given. If you want to reproduce the whole article in a third-party publication (excluding your thesis/dissertation for which permission is not required) please go to the Copyright Clearance Center request page.

Read more about how to correctly acknowledge RSC content.

Social activity

Spotlight

Advertisements