Issue 31, 2007

Diazo chemistry controlling the selectivity of olefin ketonisation by nitrous oxide

Abstract

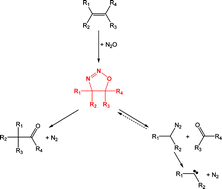
The thermal reaction of olefins with nitrous oxide was recently put forward as a promising synthetic ketone source. The 1,3-dipolar cycloaddition of N2O to the C[double bond, length as m-dash]C double bond, forming a 4,5-dihydro-[1,2,3]oxadiazole intermediate, was predicted to be the first elementary reaction step. This oxadiazole can subsequently decompose to the desired carbonyl product and N2via a hydrogen shift. In this contribution, Potential Energy Surfaces are constructed at the reliable G2M level of theory and used to evaluate thermal rate constants by Transition State Theory. Compelling theoretical and experimental evidence is presented that an oxadiazole intermediate not only can undergo a hydrogen shift, but eventually also a methyl- or even an alkyl-shift. Special emphasis is also given on a hitherto neglected decomposition of the oxadiazole via a concerted C–C and N–O cleavage. For some substrates, such as internal olefins, this diazo route is negligibly slow, compared to the ketone path, leaving no marks on the selectivity. For cyclopentene the diazo cleavage was however found to be nearly as fast as the desired ketone route. However, the diazo compound, viz. 5-diazopentanal, reconstitutes the oxadiazole much faster upon ring-closure than it is converted to side-products. Therefore, a pre-equilibrium between the diazoalkanal and the oxadiazole is established, explaining the high ketone yield. On the other hand, for primary alkenes, such a concerted C–C and N–O cleavage to diazomethane is identified as an important side reaction, producing aldehydes with the loss of one C-atom. For these substrates, the bimolecular back-reaction of the Cn−1 aldehyde and diazomethane is too slow to sustain an equilibrium with the oxadiazole; diazomethane rather reacts with the substrate to form cyclopropane derivatives. The overall selectivity is thus determined by a combination of H-, methyl- or alkyl-shift, and the eventual impact of a diazo cleavage in the oxadiazole intermediate.

Graphical abstract: Diazo chemistry controlling the selectivity of olefin ketonisation by nitrous oxide

Supplementary files

Article information

Article type
Paper
Submitted
22 Mar 2007
Accepted
18 Apr 2007
First published
15 May 2007

Phys. Chem. Chem. Phys., 2007,9, 4269-4274

Diazo chemistry controlling the selectivity of olefin ketonisation by nitrous oxide

I. Hermans, B. Moens, J. Peeters, P. Jacobs and B. Sels, Phys. Chem. Chem. Phys., 2007, 9, 4269 DOI: 10.1039/B704351A

To request permission to reproduce material from this article, please go to the Copyright Clearance Center request page.

If you are an author contributing to an RSC publication, you do not need to request permission provided correct acknowledgement is given.

If you are the author of this article, you do not need to request permission to reproduce figures and diagrams provided correct acknowledgement is given. If you want to reproduce the whole article in a third-party publication (excluding your thesis/dissertation for which permission is not required) please go to the Copyright Clearance Center request page.

Read more about how to correctly acknowledge RSC content.

Social activity

Spotlight

Advertisements