Issue 28, 2005

Macroreticular p-(ω-sulfonic-perfluoroalkylated) polystyrene ion-exchange resins: a new type of selective solid acid catalyst

Abstract

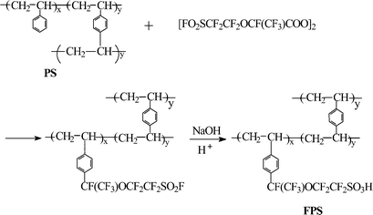
Macroreticular p-(ω-sulfonic-perfluoroalkylated) polystyrene (FPS) cation-exchange resins 3 have been synthesized by sequential p-perfluoroalkylation of macroreticular polystyrene (PS) 1 with ω-fluorosulfonylperfluorodiacyl peroxide 2, hydrolysis and acidification; the fluorinated mesoporous resins exhibited higher activity and selectivity than commercial Amberlyst 36 and Nafion NR50 in the cyclization of pseudoionone.

Graphical abstract: Macroreticular p-(ω-sulfonic-perfluoroalkylated) polystyrene ion-exchange resins: a new type of selective solid acid catalyst

Article information

Article type
Communication
Submitted
06 Apr 2005
Accepted
23 May 2005
First published
15 Jun 2005

Chem. Commun., 2005, 3556-3558

Macroreticular p-(ω-sulfonic-perfluoroalkylated) polystyrene ion-exchange resins: a new type of selective solid acid catalyst

Z. Lin and C. Zhao, Chem. Commun., 2005, 3556 DOI: 10.1039/B504767F

To request permission to reproduce material from this article, please go to the Copyright Clearance Center request page.

If you are an author contributing to an RSC publication, you do not need to request permission provided correct acknowledgement is given.

If you are the author of this article, you do not need to request permission to reproduce figures and diagrams provided correct acknowledgement is given. If you want to reproduce the whole article in a third-party publication (excluding your thesis/dissertation for which permission is not required) please go to the Copyright Clearance Center request page.

Read more about how to correctly acknowledge RSC content.

Social activity

Spotlight

Advertisements