Issue 12, 2005

Molecular tectonics: coordination networks based on porphyrins bearing pyridine N-oxide groups as coordinating sites

Abstract

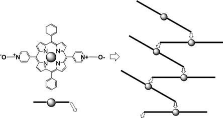
The combination of the two positional isomers 1 and 2, porphyrin backbones bearing two pyridine N-oxide groups (PNO), with Zn(II) cations leads to 1-Zn and 2-Zn self-complementary tectons which generate in the crystalline phase analogous 1-D zigzag type coordination networks with different metrics. In both cases, only one PNO group bridges the consecutive tecton through coordination to the Zn atom which adopts the square based pyramidal geometry.

Graphical abstract: Molecular tectonics: coordination networks based on porphyrins bearing pyridine N-oxide groups as coordinating sites

Supplementary files

Article information

Article type
Paper
Submitted
02 Aug 2005
Accepted
15 Sep 2005
First published
05 Oct 2005

New J. Chem., 2005,29, 1508-1513

Molecular tectonics: coordination networks based on porphyrins bearing pyridine N-oxide groups as coordinating sites

E. Deiters, V. Bulach, N. Kyritsakas and M. W. Hosseini, New J. Chem., 2005, 29, 1508 DOI: 10.1039/B511049C

To request permission to reproduce material from this article, please go to the Copyright Clearance Center request page.

If you are an author contributing to an RSC publication, you do not need to request permission provided correct acknowledgement is given.

If you are the author of this article, you do not need to request permission to reproduce figures and diagrams provided correct acknowledgement is given. If you want to reproduce the whole article in a third-party publication (excluding your thesis/dissertation for which permission is not required) please go to the Copyright Clearance Center request page.

Read more about how to correctly acknowledge RSC content.

Social activity

Spotlight

Advertisements