Issue 4, 2004

Electronic structure and photochemistry of squaraine dyes: basic theoretical analysis and direct detection of the photoisomer of a symmetrical squarylium cyanine

Abstract

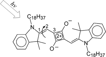
The photoisomerization kinetics of a squaraine dye has been the object both of experimental investigation and of interpretation in the framework of a qualitative theoretical model formulated by the aid of simple HMO calculations and orbital symmetry considerations. Such a model has first confirmed that the electronic structure and the spectroscopic properties of symmetrical squaraines are related to those of the parent cyanines, with ketocyanines as intermediate systems. Extension of the approach to structures twisted by 90° about a polymethine bond has then provided insight into the electronic aspects and the mechanism of the photoisomerization of the squaraine under study. The reaction, previously indirectly investigated by fluorescence analysis, has been directly monitored by laser flash photolysis. These experiments indicate that, while photoisomerization is likely the main radiationless decay route from the spectroscopic minimum of the lowest excited singlet state (S1), the cis photoisomer is produced with only a 1% yield, likely because of an unfavourable cis/trans branching ratio from the perpendicular minimum of the S1-state potential energy surface. In contrast with what found for symmetrical cyanines, an increase in the solvent polarity was found to accelerate both the direct, excited-state reaction and, to a much larger extent, the ground-state back-isomerization. Such observations are consistent with predictions of the theoretical model and provide a clue for the identification of the isomerization coordinate.

Graphical abstract: Electronic structure and photochemistry of squaraine dyes: basic theoretical analysis and direct detection of the photoisomer of a symmetrical squarylium cyanine

Article information

Article type
Paper
Submitted
04 Dec 2003
Accepted
03 Feb 2004
First published
23 Feb 2004

Photochem. Photobiol. Sci., 2004,3, 396-402

Electronic structure and photochemistry of squaraine dyes: basic theoretical analysis and direct detection of the photoisomer of a symmetrical squarylium cyanine

F. Momicchioli, A. S. Tatikolov, D. Vanossi and G. Ponterini, Photochem. Photobiol. Sci., 2004, 3, 396 DOI: 10.1039/B315605B

To request permission to reproduce material from this article, please go to the Copyright Clearance Center request page.

If you are an author contributing to an RSC publication, you do not need to request permission provided correct acknowledgement is given.

If you are the author of this article, you do not need to request permission to reproduce figures and diagrams provided correct acknowledgement is given. If you want to reproduce the whole article in a third-party publication (excluding your thesis/dissertation for which permission is not required) please go to the Copyright Clearance Center request page.

Read more about how to correctly acknowledge RSC content.

Spotlight

Advertisements