Issue 9, 2004

Inhibition of free radical initiated peroxidation of human erythrocyte ghosts by flavonols and their glycosides

Abstract

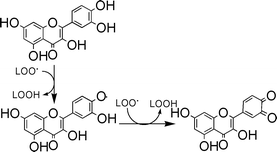
The in vitro peroxidation of human erythrocyte ghosts was used as a model to study the free radical-induced damage of biological membranes and the protective effect of flavonols and their glycosides, i.e., quercetin (Q), quercetin galactopyranoside (QG), quercetin rhamnopyranoside (QR), rutin (R), morin (MO), kaempferol (K) and kaempferol glucoside (KG). The peroxidation was initiated by a water-soluble free radical initiator 2,2′-azobis(2-methylpropionamidine) dihydrochloride (AMPAD) at physiological temperature, and monitored by oxygen uptake. Kinetic analysis of the peroxidation process demonstrates that these flavonols and their glycosides are effective antioxidants against AMPAD-initiated oxidative damage of human erythrocyte ghosts, and that the flavonols bearing ortho-dihydroxyl groups possess significantly higher antioxidant activity than those bearing no such functionalities and the glycosides are less active than their parent aglycones.

Graphical abstract: Inhibition of free radical initiated peroxidation of human erythrocyte ghosts by flavonols and their glycosides

Article information

Article type
Paper
Submitted
02 Feb 2004
Accepted
17 Mar 2004
First published
13 Apr 2004

Org. Biomol. Chem., 2004,2, 1419-1423

Inhibition of free radical initiated peroxidation of human erythrocyte ghosts by flavonols and their glycosides

L. Hou, B. Zhou, L. Yang and Z. Liu, Org. Biomol. Chem., 2004, 2, 1419 DOI: 10.1039/B401550A

To request permission to reproduce material from this article, please go to the Copyright Clearance Center request page.

If you are an author contributing to an RSC publication, you do not need to request permission provided correct acknowledgement is given.

If you are the author of this article, you do not need to request permission to reproduce figures and diagrams provided correct acknowledgement is given. If you want to reproduce the whole article in a third-party publication (excluding your thesis/dissertation for which permission is not required) please go to the Copyright Clearance Center request page.

Read more about how to correctly acknowledge RSC content.

Social activity

Spotlight

Advertisements