Issue 6, 2004

The first enantioselective synthesis of the amino acid, (2S,3S,4R)-γ-hydroxyisoleucine using a palladium(ii) catalysed 3,3-sigmatropic rearrangement

Abstract

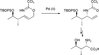
A synthetic route towards the synthesis of (2S,3S,4R)-γ-hydroxyisoleucine, the amino acid component of the natural product, funebrine has been developed using as the key step, a palladium(II) catalysed 3,3-sigmatropic rearrangement to create the (2S)-stereogenic centre.

Graphical abstract: The first enantioselective synthesis of the amino acid, (2S,3S,4R)-γ-hydroxyisoleucine using a palladium(ii) catalysed 3,3-sigmatropic rearrangement

Article information

Article type
Communication
Submitted
22 Jan 2004
Accepted
13 Feb 2004
First published
19 Feb 2004

Org. Biomol. Chem., 2004,2, 808-809

The first enantioselective synthesis of the amino acid, (2S,3S,4R)-γ-hydroxyisoleucine using a palladium(II) catalysed 3,3-sigmatropic rearrangement

A. G. Jamieson, A. Sutherland and C. L. Willis, Org. Biomol. Chem., 2004, 2, 808 DOI: 10.1039/B401076K

To request permission to reproduce material from this article, please go to the Copyright Clearance Center request page.

If you are an author contributing to an RSC publication, you do not need to request permission provided correct acknowledgement is given.

If you are the author of this article, you do not need to request permission to reproduce figures and diagrams provided correct acknowledgement is given. If you want to reproduce the whole article in a third-party publication (excluding your thesis/dissertation for which permission is not required) please go to the Copyright Clearance Center request page.

Read more about how to correctly acknowledge RSC content.

Social activity

Spotlight

Advertisements