Issue 3, 2004

Coordination features of ditopic oxa-azamacrocycles toward Ni(ii) and Co(ii). Dioxygen uptake by their dinuclear Co(ii) complexes

Abstract

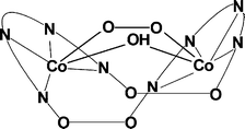
The coordination properties of the ditopic oxa-aza macrocycles L1–L3 toward Ni(II) and Co(II) have been investigated by means of potentiometric and UV-vis spectrophotometric measurements. L1–L3 contain two triamine and/or tetraamine chains separated by two dioxa chains and form both mono- and dinuclear complexes in aqueous solution. In the [ML]2+ complexes, the metal ion is coordinated by one of the two polyamine moieties, while the other does not participate in the coordination. In the dinuclear complexes each metal ion is coordinated, almost independently, to a single polyamine moiety. Under aerobic conditions the binuclear Co(II) complexes of the ligands L1–L3 are able to bind molecular oxygen, with a bridging coordination of O2 between the two metals.

Graphical abstract: Coordination features of ditopic oxa-azamacrocycles toward Ni(ii) and Co(ii). Dioxygen uptake by their dinuclear Co(ii) complexes

Supplementary files

Article information

Article type
Paper
Submitted
13 Oct 2003
Accepted
05 Dec 2003
First published
05 Jan 2004

Dalton Trans., 2004, 463-469

Coordination features of ditopic oxa-azamacrocycles toward Ni(II) and Co(II). Dioxygen uptake by their dinuclear Co(II) complexes

C. Bazzicalupi, A. Bencini, A. Bianchi, C. Duce, P. Fornasari, C. Giorgi, P. Paoletti, R. Pardini, M. Rosaria Tinè and B. Valtancoli, Dalton Trans., 2004, 463 DOI: 10.1039/B312751F

To request permission to reproduce material from this article, please go to the Copyright Clearance Center request page.

If you are an author contributing to an RSC publication, you do not need to request permission provided correct acknowledgement is given.

If you are the author of this article, you do not need to request permission to reproduce figures and diagrams provided correct acknowledgement is given. If you want to reproduce the whole article in a third-party publication (excluding your thesis/dissertation for which permission is not required) please go to the Copyright Clearance Center request page.

Read more about how to correctly acknowledge RSC content.

Social activity

Spotlight

Advertisements