Issue 16, 2004

An innovative strategy for electrochemically-promoted addition reactions

Abstract

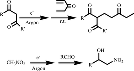
A new strategy based on the catalytic release of the supporting electrolyte agent in the electrolysis medium proved to be effective for the direct electroactivation of suitable C–H acid-containing compounds vs. catalytic addition processes, under solvent-free conditions.

Graphical abstract: An innovative strategy for electrochemically-promoted addition reactions

Article information

Article type
Communication
Submitted
05 May 2004
Accepted
23 Jun 2004
First published
26 Jul 2004

Chem. Commun., 2004, 1846-1847

An innovative strategy for electrochemically-promoted addition reactions

L. Palombi, M. Feroci, M. Orsini and A. Inesi, Chem. Commun., 2004, 1846 DOI: 10.1039/B406512C

To request permission to reproduce material from this article, please go to the Copyright Clearance Center request page.

If you are an author contributing to an RSC publication, you do not need to request permission provided correct acknowledgement is given.

If you are the author of this article, you do not need to request permission to reproduce figures and diagrams provided correct acknowledgement is given. If you want to reproduce the whole article in a third-party publication (excluding your thesis/dissertation for which permission is not required) please go to the Copyright Clearance Center request page.

Read more about how to correctly acknowledge RSC content.

Social activity

Spotlight

Advertisements