Issue 15, 2004

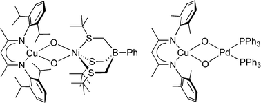
Mixed metal bis(μ-oxo) complexes with [CuM(μ-O)2]n+ (M = Ni(iii) or Pd(ii)) cores

Abstract

Two highly reactive heterodinuclear bis(μ-oxo) complexes were prepared by combining mononuclear peroxo species with reduced metal precursors at −80 °C and were identified by UV-vis, EPR/NMR, and resonance Raman spectroscopy, with corroboration in the case of the CuPd system from density functional calculations.

Graphical abstract: Mixed metal bis(μ-oxo) complexes with [CuM(μ-O)2]n+ (M = Ni(iii) or Pd(ii)) cores

Supplementary files

Article information

Article type
Communication
Submitted
30 Mar 2004
Accepted
10 Jun 2004
First published
29 Jun 2004

Chem. Commun., 2004, 1716-1717

Mixed metal bis(μ-oxo) complexes with [CuM(μ-O)2]n+ (M = Ni(III) or Pd(II)) cores

N. W. Aboelella, J. T. York, A. M. Reynolds, K. Fujita, C. R. Kinsinger, C. J. Cramer, C. G. Riordan and W. B. Tolman, Chem. Commun., 2004, 1716 DOI: 10.1039/B404640D

To request permission to reproduce material from this article, please go to the Copyright Clearance Center request page.

If you are an author contributing to an RSC publication, you do not need to request permission provided correct acknowledgement is given.

If you are the author of this article, you do not need to request permission to reproduce figures and diagrams provided correct acknowledgement is given. If you want to reproduce the whole article in a third-party publication (excluding your thesis/dissertation for which permission is not required) please go to the Copyright Clearance Center request page.

Read more about how to correctly acknowledge RSC content.

Social activity

Spotlight

Advertisements