Issue 10, 2004

Phosphodiesterolytic activity of alkaline-earth cations in aqueous DMSO

Abstract

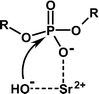
Rate of the hydrolysis of bis(p-nitrophenyl) phosphate in 90% v/v aqueous DMSO increases 103–105 times in the presence of 1–2 mM alkaline-earth cations, which in the same concentration range do not affect the reaction rate in water.

Graphical abstract: Phosphodiesterolytic activity of alkaline-earth cations in aqueous DMSO

Supplementary files

Article information

Article type
Communication
Submitted
17 Feb 2004
Accepted
31 Mar 2004
First published
27 Apr 2004

Chem. Commun., 2004, 1228-1229

Phosphodiesterolytic activity of alkaline-earth cations in aqueous DMSO

O. Taran and A. K. Yatsimirsky, Chem. Commun., 2004, 1228 DOI: 10.1039/B402432J

To request permission to reproduce material from this article, please go to the Copyright Clearance Center request page.

If you are an author contributing to an RSC publication, you do not need to request permission provided correct acknowledgement is given.

If you are the author of this article, you do not need to request permission to reproduce figures and diagrams provided correct acknowledgement is given. If you want to reproduce the whole article in a third-party publication (excluding your thesis/dissertation for which permission is not required) please go to the Copyright Clearance Center request page.

Read more about how to correctly acknowledge RSC content.

Social activity

Spotlight

Advertisements