Issue 20, 2003

Enantiospecific synthesis of the phospholipase A2 inhibitors (−)-cinatrin C1 and (+)-cinatrin C3

Abstract

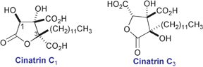
The enantiospecific synthesis of (−)-cinatrin C1 (3) and (+)-cinatrin C3 (5) from the D-arabinose derivative 9 is described. The stereochemistry at C2 was introduced via a chelation-controlled addition of a carbanion to α-hydroxy ketone 8. The best selectivity was achieved by use of the Grignard reagent derived from trimethylsilylacetylene. Transformation of the terminal alkyne into methyl ester 17 followed by acetal hydrolysis and selective lactol oxidation gave cinatrin C1 dimethyl ester (7). Base hydrolysis and acid induced relactonization then gave a 1 : 1 mixture of cinatrins C1 (3) and C3 (5).

Graphical abstract: Enantiospecific synthesis of the phospholipase A2 inhibitors (−)-cinatrin C1 and (+)-cinatrin C3

Supplementary files

Article information

Article type
Paper
Submitted
16 Jul 2003
Accepted
01 Sep 2003
First published
22 Sep 2003

Org. Biomol. Chem., 2003,1, 3572-3577

Enantiospecific synthesis of the phospholipase A2 inhibitors (−)-cinatrin C1 and (+)-cinatrin C3

A. N. Cuzzupe, R. D. Florio, J. M. White and M. A. Rizzacasa, Org. Biomol. Chem., 2003, 1, 3572 DOI: 10.1039/B308028E

To request permission to reproduce material from this article, please go to the Copyright Clearance Center request page.

If you are an author contributing to an RSC publication, you do not need to request permission provided correct acknowledgement is given.

If you are the author of this article, you do not need to request permission to reproduce figures and diagrams provided correct acknowledgement is given. If you want to reproduce the whole article in a third-party publication (excluding your thesis/dissertation for which permission is not required) please go to the Copyright Clearance Center request page.

Read more about how to correctly acknowledge RSC content.

Social activity

Spotlight

Advertisements