Issue 10, 2003

Ozonolysis of phenols in aqueous solution

Abstract

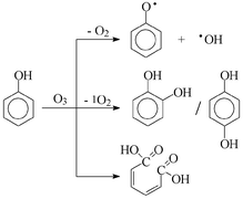
In the ozonolysis of phenol in aqueous solution at pH 3, 7 and 10 the following products were quantified: catechol, hydroquinone, 1,4-benzoquinone, cis,cis-muconic acid, H2O2, 2,4-dihydroxybiphenyl and 4,4-dihydroxybiphenyl. At pH 10, material balance (products vs. phenol consumption) is obtained. Singlet dioxygen, O2(1Δg), and ˙OH are formed as short-lived intermediates. The precursor of the latter, O3˙, and a phenoxyl radical is suggested to arise from electron transfer from phenol/phenolate to ozone. Addition of ˙OH to phenol gives rise to dihydroxycyclohexadienyl radicals which add dioxygen and eliminate HO2˙ thereby forming catechol/hydroquinone. In competition and catalysed by H+ and OH, the dihydroxycyclohexadienyl radical eliminates water yielding a phenoxyl radical. At pH 10, they readily oxidise catechol and hydroquinone. This reforms phenol (accounting for the low phenol consumption) and yields higher-oxidised products, eventually 1,4-benzoquinone. cis,cis-Muconic acid can be accounted for by the Criegee mechanism, while O2(1Δg) is released on the way to (some of the) catechol and hydroquinone.

Similar reactions proceed with hydroquinone (products: 1,4-benzoquinone, 2-hydroxy-1,4-benzoquinone and H2O2, with high yields of O2(1Δg) and ˙OH) and with catechol (products: 2-hydroxy-1,4-benzoquinone, cis,cis-muconic acid, H2O2 with high yields of O2(1Δg) and ˙OH). Material balance is not obtained for these two systems.

Pentachlorophenolate, pentabromophenolate and 2,4,6-triiodophenolate ions give rise to halide ions, O2(1Δg) (58%/48%/10%) and ˙OH (27%/2%/0%). It is suggested that together with O2(1Δg) the corresponding ortho- and para-quinones plus a halide ion are formed. Further halide ion is released upon the hydrolysis of these and other products. For pentachlorophenolate the material balance with respect to the short-lived intermediates is 85%. With the bromo- and iodophenolates the O2(1Δg) yields are substantially lowered, most likely due to release of triplet (ground state) dioxygen induced by the heavy atom effect.

Graphical abstract: Ozonolysis of phenols in aqueous solution

Article information

Article type
Paper
Submitted
14 Feb 2003
Accepted
28 Mar 2003
First published
14 Apr 2003

Org. Biomol. Chem., 2003,1, 1749-1756

Ozonolysis of phenols in aqueous solution

E. Mvula and C. von Sonntag, Org. Biomol. Chem., 2003, 1, 1749 DOI: 10.1039/B301824P

To request permission to reproduce material from this article, please go to the Copyright Clearance Center request page.

If you are an author contributing to an RSC publication, you do not need to request permission provided correct acknowledgement is given.

If you are the author of this article, you do not need to request permission to reproduce figures and diagrams provided correct acknowledgement is given. If you want to reproduce the whole article in a third-party publication (excluding your thesis/dissertation for which permission is not required) please go to the Copyright Clearance Center request page.

Read more about how to correctly acknowledge RSC content.

Social activity

Spotlight

Advertisements