Issue 4, 2002

Low barrier hydrogen bonds in sterically modified Schiff bases

Abstract

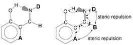
Five derivatives of an ortho-hydroxy Schiff base (2-(N-alkyl-α-iminoethyl)phenols) with very short intramolecular hydrogen bonds (dO(H)⋯N ≤ 2.500 Å) were synthesised. The crystal structures were determined. The steric repulsion of the substituted methyl group results in an unusual strengthening of the hydrogen bonds, decreasing the barrier for the proton movement within the hydrogen bridge, which leads to a delocalization of the proton position. The very strong influence of the character of the substituent in the phenol ring as well as the character of the N-alkyl chain on the proton distribution is demonstrated for these hydrogen bonds from the so-called inversion range.

Graphical abstract: Low barrier hydrogen bonds in sterically modified Schiff bases

Supplementary files

Article information

Article type
Paper
Submitted
11 Jul 2001
Accepted
18 Feb 2002
First published
06 Mar 2002

J. Chem. Soc., Perkin Trans. 2, 2002, 835-842

Low barrier hydrogen bonds in sterically modified Schiff bases

A. Filarowski, A. Koll and T. Glowiak, J. Chem. Soc., Perkin Trans. 2, 2002, 835 DOI: 10.1039/B106145N

To request permission to reproduce material from this article, please go to the Copyright Clearance Center request page.

If you are an author contributing to an RSC publication, you do not need to request permission provided correct acknowledgement is given.

If you are the author of this article, you do not need to request permission to reproduce figures and diagrams provided correct acknowledgement is given. If you want to reproduce the whole article in a third-party publication (excluding your thesis/dissertation for which permission is not required) please go to the Copyright Clearance Center request page.

Read more about how to correctly acknowledge RSC content.

Spotlight

Advertisements