Issue 8, 2002

Electrochemical synthesis of a pyridinium-conjugated assembly based on nucleophilic substitution of oligothiophene π-radical cation

Abstract

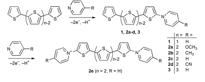
A series of pyridinium-conjugated oligothiophenes is synthesized electrochemically by nucleophilic substitution of the oligothiophene π-radical cation. The nucleophilic reaction is designed on the basis of high reactivity of the π-radical cation of oligothiophene with various pyridine derivatives as nucleophiles. While electrochemical oxidation of oligothiophene gave a conducting polythiophene film on an electrode, the addition of pyridine depressed formation of the polythiophene film but the corresponding pyridinium-conjugated oligothiophene was exclusively formed as the product of nucleophilic substitution of the oligothiophene π-radical cation. In prolonged electrolysis at a higher potential, successive (two-step) substitution occurred to yield both mono- and di-(1-pyridinio)oligothiophenes. The nucleophilic substitution reaction was optimized with respect to the electrolytic conditions, and the nucleophilic attack toward the oligothiophene π-radical cation is discussed. The UV-visible absorption spectra and redox activities of the resulting pyridinium-conjugated oligothiophene were measured. Negative solvatochromism due to intramolecular charge transfer (IMCT) and redox behavior resulting from oligothiophene and pyridinium moieties are demonstrated.

Graphical abstract: Electrochemical synthesis of a pyridinium-conjugated assembly based on nucleophilic substitution of oligothiophene π-radical cation

Article information

Article type
Paper
Submitted
21 Jan 2002
Accepted
11 Mar 2002
First published
28 Mar 2002

J. Chem. Soc., Perkin Trans. 1, 2002, 1135-1140

Electrochemical synthesis of a pyridinium-conjugated assembly based on nucleophilic substitution of oligothiophene π-radical cation

Y. Li, K. Kamata, T. Kawai, J. Abe and T. Iyoda, J. Chem. Soc., Perkin Trans. 1, 2002, 1135 DOI: 10.1039/B200738J

To request permission to reproduce material from this article, please go to the Copyright Clearance Center request page.

If you are an author contributing to an RSC publication, you do not need to request permission provided correct acknowledgement is given.

If you are the author of this article, you do not need to request permission to reproduce figures and diagrams provided correct acknowledgement is given. If you want to reproduce the whole article in a third-party publication (excluding your thesis/dissertation for which permission is not required) please go to the Copyright Clearance Center request page.

Read more about how to correctly acknowledge RSC content.

Spotlight

Advertisements