Issue 12, 2002

Novel chromogenic, guest-sensitive host compounds

Abstract

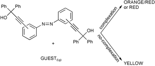
A series of novel chromogenic host compounds based on a diphenylazo core with bulky endgroups and hydrogen bonding capability has been synthesised and shown to exhibit distinct and easily detected colour changes on complexation with guests, allowing for rapid screening of host∶guest complex formation.

Graphical abstract: Novel chromogenic, guest-sensitive host compounds

Supplementary files

Article information

Article type
Paper
Submitted
01 May 2002
Accepted
18 Oct 2002
First published
05 Nov 2002

New J. Chem., 2002,26, 1822-1826

Novel chromogenic, guest-sensitive host compounds

J. Scott, M. Asami and K. Tanaka, New J. Chem., 2002, 26, 1822 DOI: 10.1039/B204221E

To request permission to reproduce material from this article, please go to the Copyright Clearance Center request page.

If you are an author contributing to an RSC publication, you do not need to request permission provided correct acknowledgement is given.

If you are the author of this article, you do not need to request permission to reproduce figures and diagrams provided correct acknowledgement is given. If you want to reproduce the whole article in a third-party publication (excluding your thesis/dissertation for which permission is not required) please go to the Copyright Clearance Center request page.

Read more about how to correctly acknowledge RSC content.

Social activity

Spotlight

Advertisements