Issue 11, 2002

Specific binding of Cu2+ ions by a pentapeptide fragment present in the cysteine-rich region of amyloid precursor protein

Abstract

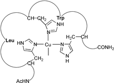
The βA4 amyloid precursor protein fragment situated in the cysteine-rich region is a very effective binding site for Cu2+ ions due to the presence of three His residues in the His–Xaa–His–Yaa–His sequence.

Graphical abstract: Specific binding of Cu2+ ions by a pentapeptide fragment present in the cysteine-rich region of amyloid precursor protein

Article information

Article type
Communication
Submitted
03 Apr 2002
Accepted
25 Apr 2002
First published
07 May 2002

J. Chem. Soc., Dalton Trans., 2002, 2266-2268

Specific binding of Cu2+ ions by a pentapeptide fragment present in the cysteine-rich region of amyloid precursor protein

M. Łuczkowski, K. Wiśniewska, L. Łankiewicz and H. Kozlowski, J. Chem. Soc., Dalton Trans., 2002, 2266 DOI: 10.1039/B203284H

To request permission to reproduce material from this article, please go to the Copyright Clearance Center request page.

If you are an author contributing to an RSC publication, you do not need to request permission provided correct acknowledgement is given.

If you are the author of this article, you do not need to request permission to reproduce figures and diagrams provided correct acknowledgement is given. If you want to reproduce the whole article in a third-party publication (excluding your thesis/dissertation for which permission is not required) please go to the Copyright Clearance Center request page.

Read more about how to correctly acknowledge RSC content.

Spotlight

Advertisements