Issue 12, 2002

Synthesis and structures of Ti(iii) and Ti(iv) complexes supported by a tridentate aryloxide ligand

Abstract

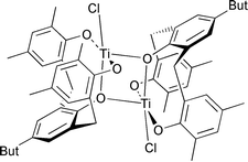
Titanium complexes of the tridentate aryloxide Me–L3− [H3(Me–L) = 2,6-bis(4,6-dimethylsalicyl)-4-tert-butylphenol] have been prepared. Reaction of TiCl4 with 1 equivalent of H3(Me–L) gave [Ti(Me–L)Cl]21. Recrystallization of 1 from THF resulted in formation of the THF adduct Ti(Me–L)Cl(THF)22. Treatment of 1 with [NEt4]Cl in THF quantitatively gave [NEt4][Ti2(Me–L)2Cl3] 3. Complex 1 was reduced with 2 equivalents of potassium to produce the Ti(III) complex [Ti(Me–L)(DME)]24. Structures of 1, 2, 3 and 4 have been determined by X–ray analyses. For 1, 2 and 4, the Me–L ligand assumes a U-conformation. In the case of 3, it is coordinated in an S-conformation.

Graphical abstract: Synthesis and structures of Ti(iii) and Ti(iv) complexes supported by a tridentate aryloxide ligand

Supplementary files

Article information

Article type
Paper
Submitted
13 Dec 2001
Accepted
22 Apr 2002
First published
08 May 2002

J. Chem. Soc., Dalton Trans., 2002, 2536-2540

Synthesis and structures of Ti(III) and Ti(IV) complexes supported by a tridentate aryloxide ligand

T. Matsuo, H. Kawaguchi and M. Sakai, J. Chem. Soc., Dalton Trans., 2002, 2536 DOI: 10.1039/B111362C

To request permission to reproduce material from this article, please go to the Copyright Clearance Center request page.

If you are an author contributing to an RSC publication, you do not need to request permission provided correct acknowledgement is given.

If you are the author of this article, you do not need to request permission to reproduce figures and diagrams provided correct acknowledgement is given. If you want to reproduce the whole article in a third-party publication (excluding your thesis/dissertation for which permission is not required) please go to the Copyright Clearance Center request page.

Read more about how to correctly acknowledge RSC content.

Spotlight

Advertisements