Issue 23, 2002

From hydrocarbons to polyols. Cyclooctatetraene to novel cyclooctitols

Abstract

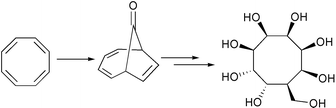
Cyclooctatetraene (COT) derived bicyclo[4.2.1]nona-2,4,7-trien-9-one has been recognized as a cyclooctane carbasugar equivalent and elaborated to a range of cyclooctane polyols (cyclooctitols) through a flexible strategy with moderate regio- and stereo-control.

Graphical abstract: From hydrocarbons to polyols. Cyclooctatetraene to novel cyclooctitols

Supplementary files

Article information

Article type
Communication
Submitted
12 Sep 2002
Accepted
11 Oct 2002
First published
28 Oct 2002

Chem. Commun., 2002, 2828-2829

From hydrocarbons to polyols. Cyclooctatetraene to novel cyclooctitols

G. Mehta and K. Pallavi, Chem. Commun., 2002, 2828 DOI: 10.1039/B208918A

To request permission to reproduce material from this article, please go to the Copyright Clearance Center request page.

If you are an author contributing to an RSC publication, you do not need to request permission provided correct acknowledgement is given.

If you are the author of this article, you do not need to request permission to reproduce figures and diagrams provided correct acknowledgement is given. If you want to reproduce the whole article in a third-party publication (excluding your thesis/dissertation for which permission is not required) please go to the Copyright Clearance Center request page.

Read more about how to correctly acknowledge RSC content.

Social activity

Spotlight

Advertisements