Issue 7, 2001

The reaction of triphenylphosphine selenide with triosmium clusters: a facile cluster coupling through a selenium atom

Abstract

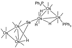
The room temperature reactions of Ph3PSe with the triosmium clusters Os3(CO)11(CH3CN), Os3(CO)10(CH3CN)2 and Os3(μ-H)2(CO)10 have been investigated. The reaction with an equimolar amount of Os3(CO)11(CH3CN) afforded the known clusters Os33-Se)2(CO)9, 1, and Os3(CO)11(PPh3), 2, and the new cluster Os33-Se)(CO)9(PPh3), 3. The analogous reaction with Os3(CO)10(CH3CN)2 gave 1 and 2; reaction with 0.5 equivalent of the cluster gave 1 quantitatively. The reaction with Os3(μ-H)2(CO)10 gave two new clusters, viz. Os33-Se)(μ-H)2(CO)8(PPh3), 4a, and Os63-Se)(H)(μ-H)3(CO)18(PPh3)2, 5a. Single crystal structures of 3, 4a and 5a have been obtained. Cluster 3 possesses bridging carbonyls; these appear to have been lost on elongation of the osmium–osmium bonds by bridging hydrides in 4a. The structure of 5a is novel and comprises a naked μ3-Se atom bridging two triosmium moieties; an Os3(μ-H)(CO)10 unit and an Os3(H)(μ-H)2(CO)8(PPh3)2 unit.

Graphical abstract: The reaction of triphenylphosphine selenide with triosmium clusters: a facile cluster coupling through a selenium atom

Supplementary files

Article information

Article type
Paper
Submitted
15 Dec 2000
Accepted
05 Feb 2001
First published
09 Mar 2001

J. Chem. Soc., Dalton Trans., 2001, 1087-1090

The reaction of triphenylphosphine selenide with triosmium clusters: a facile cluster coupling through a selenium atom

W. K. Leong, W. L. J. Leong and J. Zhang, J. Chem. Soc., Dalton Trans., 2001, 1087 DOI: 10.1039/B010043I

To request permission to reproduce material from this article, please go to the Copyright Clearance Center request page.

If you are an author contributing to an RSC publication, you do not need to request permission provided correct acknowledgement is given.

If you are the author of this article, you do not need to request permission to reproduce figures and diagrams provided correct acknowledgement is given. If you want to reproduce the whole article in a third-party publication (excluding your thesis/dissertation for which permission is not required) please go to the Copyright Clearance Center request page.

Read more about how to correctly acknowledge RSC content.

Spotlight

Advertisements