Issue 6, 2001

A new chiral metalladiphosphine for early–late chemistry. Crystal structure of a D-camphor-based zirconium enolato phosphine and rearrangement of heterobimetallic Zr/Pd complexes

Abstract

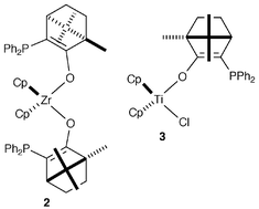
The bis(phosphinoenolato) zirconocene 2, prepared from the phosphino camphor derivative 3-exo-PPh2C10H15O 1, represents the first C2-symmetric chiral diphosphine containing an early transition metal centre tethered to the phosphino groups via an enolato linkage. It allows the selective assembly of Lewis-acid early–late bimetallic combinations, as exemplified with the Zr/Cu and Zr/Ag complexes 4 and 5. The monophosphinoenolato titanocene 3 was also prepared. Reactions of 2 or 3 with [Pd(dmba)(μ-Cl)]2 (dmba = o-C6H4CH2NMe2) or [PdCl2(SEt2)2] led to complete transfer of the functional ligand to the Pd(II) centre, with formation of [(dmba)[upper bond 1 start]Pd(PPh2C10H14O[upper bond 1 end])] 6 or cis-[[upper bond 1 start]Pd(PPh2C10H14O[upper bond 1 end])2] 8 and [Cp2ZrCl2]/[Cp2TiCl2], respectively. A heterobimetallic Zr/Pd intermediate complex 10 of this rearrangement could be detected. Complexes 6 and 8 were prepared independently by reaction of 1 with [Pd(dmba)(μ-Cl)]2 or [Pd(SEt2)2Cl2], respectively, which first afforded complexes 7 and 9 which were then treated with KH. The crystal structures of 2, 6 and 8·THF·H2O have been determined by X-ray diffraction.

Graphical abstract: A new chiral metalladiphosphine for early–late chemistry. Crystal structure of a D-camphor-based zirconium enolato phosphine and rearrangement of heterobimetallic Zr/Pd complexes [ ]

Supplementary files

Article information

Article type
Paper
Submitted
12 Oct 2000
Accepted
22 Jan 2001
First published
26 Feb 2001

J. Chem. Soc., Dalton Trans., 2001, 800-805

A new chiral metalladiphosphine for early–late chemistry. Crystal structure of a D-camphor-based zirconium enolato phosphine and rearrangement of heterobimetallic Zr/Pd complexes

C. Mattheis, P. Braunstein and A. Fischer, J. Chem. Soc., Dalton Trans., 2001, 800 DOI: 10.1039/B008227I

To request permission to reproduce material from this article, please go to the Copyright Clearance Center request page.

If you are an author contributing to an RSC publication, you do not need to request permission provided correct acknowledgement is given.

If you are the author of this article, you do not need to request permission to reproduce figures and diagrams provided correct acknowledgement is given. If you want to reproduce the whole article in a third-party publication (excluding your thesis/dissertation for which permission is not required) please go to the Copyright Clearance Center request page.

Read more about how to correctly acknowledge RSC content.

Spotlight

Advertisements