Issue 3, 2001

Preparation of the copper(II) complex of the binucleating hexaaza macrocycle 2,5,8,17,20,23-hexaaza[9.9]paracyclophane and its solution chemistry, hydrolytic activity and acid dissociation kinetics

Abstract

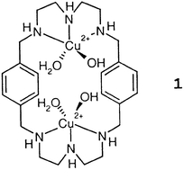
The binucleating hexaaza macrocycle 2,5,8,17,20,23-hexaaza[9.9]paracyclophane (PEA) and its N-permethylated derivative 2,5,8,17,20,23-hexamethyl-2,5,8,17,20,23-hexaaza[9.9]paracyclophane (Me6PEA) have been prepared. The copper(II) complex of PEA has been prepared and the stability constants of the copper complexes determined in aqueous solution by potentiometric and spectrophotometric methods. The protonation sites of PEA have been identified by NMR titration. The crystal structure of the complex [Cu2(PEA)Cl3]+Cl·2.6MeCN·2.9H2O has been determined. The copper centres have an N3Cl2 donor set with a square pyramidal geometry. The Cu ⋯ Cu distance is 7.02 Å. The copper complex catalyses hydrolysis of the phosphotriester 2,4-dinitrophenyl diethyl phosphate (DNPDEP) and the [Cu2(PEA)(OH)2]2+ and [Cu2(PEA)(OH)]3+ complexes have been identified as the active species. The acid catalysed dissociation of the copper complex has been studied by stopped-flow methods. The reaction is monophasic and displays saturation kinetics at high acidities.

Graphical abstract: Preparation of the copper(II) complex of the binucleating hexaaza macrocycle 2,5,8,17,20,23-hexaaza[9.9]paracyclophane and its solution chemistry, hydrolytic activity and acid dissociation kinetics [ ]

Supplementary files

Article information

Article type
Paper
Submitted
01 Aug 2000
Accepted
21 Nov 2000
First published
11 Jan 2001

J. Chem. Soc., Dalton Trans., 2001, 240-246

Preparation of the copper(II) complex of the binucleating hexaaza macrocycle 2,5,8,17,20,23-hexaaza[9.9]paracyclophane and its solution chemistry, hydrolytic activity and acid dissociation kinetics

T. Clifford, A. M. Danby, P. Lightfoot, D. T. Richens and R. W. Hay, J. Chem. Soc., Dalton Trans., 2001, 240 DOI: 10.1039/B006199I

To request permission to reproduce material from this article, please go to the Copyright Clearance Center request page.

If you are an author contributing to an RSC publication, you do not need to request permission provided correct acknowledgement is given.

If you are the author of this article, you do not need to request permission to reproduce figures and diagrams provided correct acknowledgement is given. If you want to reproduce the whole article in a third-party publication (excluding your thesis/dissertation for which permission is not required) please go to the Copyright Clearance Center request page.

Read more about how to correctly acknowledge RSC content.

Spotlight

Advertisements