Issue 18, 2001

Oxoanionic or sulfur lone pair attack? The difference in reactivity of hydrogensulfite anion and neutral dimethylsulfite towards [Bu4N]2[MoO2{S2C2(CN)2}2] in the model reductive half reaction of sulfite oxidase

Abstract

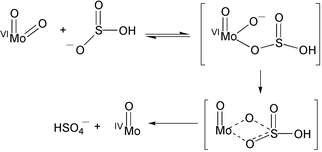
pH dependent reactivity differences of dimethylsulfite towards the title complex 1 demonstrate the crucial need of oxo-anionic coordination of sulfite to the molybdenum centre of 1 in the model reductive half reaction of sulfite oxidase.

Graphical abstract: Oxoanionic or sulfur lone pair attack? The difference in reactivity of hydrogensulfite anion and neutral dimethylsulfite towards [Bu4N]2[MoO2{S2C2(CN)2}2] in the model reductive half reaction of sulfite oxidase

Article information

Article type
Communication
Submitted
18 Jun 2001
Accepted
02 Aug 2001
First published
22 Aug 2001

Chem. Commun., 2001, 1786-1787

Oxoanionic or sulfur lone pair attack? The difference in reactivity of hydrogensulfite anion and neutral dimethylsulfite towards [Bu4N]2[MoO2{S2C2(CN)2}2] in the model reductive half reaction of sulfite oxidase

K. Nagarajan, P. K. Chaudhury, B. R. Srinivasan and S. Sarkar, Chem. Commun., 2001, 1786 DOI: 10.1039/B105341H

To request permission to reproduce material from this article, please go to the Copyright Clearance Center request page.

If you are an author contributing to an RSC publication, you do not need to request permission provided correct acknowledgement is given.

If you are the author of this article, you do not need to request permission to reproduce figures and diagrams provided correct acknowledgement is given. If you want to reproduce the whole article in a third-party publication (excluding your thesis/dissertation for which permission is not required) please go to the Copyright Clearance Center request page.

Read more about how to correctly acknowledge RSC content.

Social activity

Spotlight

Advertisements