Open Access Article
This Open Access Article is licensed under a Creative Commons Attribution-Non Commercial 3.0 Unported Licence

Unfolding the potential of the AgSbSe2 chalcogenide for advancements in solar cell and photodetector technologies

Mst Zerin Zafrin Nizu a, Bipanko Kumar Mondal *a, Md. Abdur Rashid b, Sangita Rani Basu c and Jaker Hossain *d
aDepartment of Electrical and Electronic Engineering, Begum Rokeya University, Rangpur, 5400, Bangladesh. E-mail: bipanko.apee14@gmail.com
bDepartment of Physics, University of Rajshahi, Rajshahi 6205, Bangladesh
cDepartment of Electrical and Electronic Engineering, University of Chittagong, Chattogram 4331, Bangladesh
dPhotonics & Advanced Materials Laboratory, Department of Electrical and Electronic Engineering, University of Rajshahi, Rajshahi 6205, Bangladesh. E-mail: jak_apee@ru.ac.bd

Received 7th November 2025 , Accepted 8th February 2026

First published on 24th February 2026


Abstract

The significance of employing a singular, multifunctional material in solar cells and photodetectors has increased due to its substantial impact on device performance. This study presents the design guidelines and an inclusive simulation of high-performance chalcogenide AgSbSe2-based solar cells and photodetectors using SCAPS-1D for the first time. Through a comprehensive analysis, the potential of multifunctional optoelectronic applications is highlighted by combining an n-CdS window layer with three back surface field (BSF) materials: AlxGa1−xSb, FeS2, and Cu2SnS3 (CTS). Among all the examined structures, the n-CdS/p-AgSbSe2/p+-AlxGa1−xSb configuration exhibits the highest open circuit voltage (VOC) of 0.85 V and an idealized power conversion efficiency (PCE) of 34.32%, along with a fill factor (FF) of 86.64% and a short circuit current density (JSC) of 46.35 mA cm−2. Nevertheless, the n-CdS/p-AgSbSe2/p+-FeS2 and n-CdS/p-AgSbSe2/p+-CTS structures exhibit PCEs of 30.37% and 30.30%, respectively, with the corresponding VOC values of 0.74 V and 0.76 V, underscoring their distinct photovoltaic characteristics. Furthermore, with proper optimization, the AgSbSe2-based photodetector demonstrates a remarkable responsivity of 0.81 A W−1 and an excellent detectivity of 2.93 × 1015 Jones at a wavelength of 1100 nm. Due to the superior band alignment of n-CdS/p-AgSbSe2/p+-AlxGa1−xSb, a higher built-in potential of approximately 2.37 V is achieved by capacitance–voltage (C–V) analysis, which effectively enhances the maximum VOC and overall efficiency of the device.


1. Introduction

Solar cell technology has emerged as one of the most extensively researched renewable energy sources, attracting significant attention amid the global transition from fossil-based energy systems. To accomplish solar cell objectives, researchers have investigated a variety of solar technologies, such as wafer-based, thin film-based, and organic-based technologies. Solar energy is revolutionized by thin film solar cells because of their incredibly thin, foldable shape and great low-light performance. Although initially limited to laboratory research, crystalline silicon technology has seamlessly transitioned to commercialization and now dominates about 90% of the global solar panel market.1 In December 2023, LONGi's heterojunction back contact (HBC) cell achieved an efficiency of 27.09%.2 The indirect bandgap of silicon solar cells poses serious constraints since it results in a low absorption coefficient, necessitating the use of thicker wafers for effective light capture. Furthermore, their fabrication is expensive and energy-intensive due to the extraordinarily high temperatures required for their construction, which frequently surpass 1150–2000 °C.3 However, thin film solar cells (TFSCs) have recently attracted substantial research interest because of their cost-effective production, improved structural flexibility, enhanced adaptivity, and perceived high efficiency, which qualify them as an effective substitute for photovoltaic (PV) systems based on silicon.4–6 Newly developed thin film photovoltaic materials have shown considerable enhancements in efficiencies. Particularly, CdTe and CIGS solar cells have demonstrated certified PCEs of over 22%.7,8 In addition, Sb2Se3 and CuInSe2 solar cells exhibit 10.12% and 15% PCE, respectively.9 Despite their optimal efficiency, CdTe and CIGS solar cells are plagued by issues that prevent their large-scale integration. CdTe contains toxic cadmium, posing a threat to the environment, while CIGS relies on rare indium and selenium, driving up production costs. Both of them also degrade more easily than silicon, undermining their long-term stability. Therefore, it is important to develop non-toxic chalcogenide and perovskite materials to fabricate solar cells that are both long-lasting and efficient. These materials offer sustainable alternatives to lead-based systems while preserving their advantageous optoelectronic properties, including adjustable bandgaps and high absorption coefficients. Recent studies conducted in 2025 demonstrated that a lead-free CaZrS3 perovskite can achieve a simulated efficiency exceeding 20%. A separate study on chalcogenide-based materials also showed that Sb2S3/SnS2 heterojunctions have perfect band alignment and very little recombination loss, which makes them even more likely to have high theoretical efficiencies.10,11 These findings highlight the increased significance of environmentally benign chalcogenides.

In this regard, silver antimony selenide (AgSbSe2) is an innovative chalcogenide material that demonstrates significant potential and high efficiency. The material exhibits an optimal bandgap and carrier transport characteristics, potentially improving the performance of solar cells. AgSbSe2 is a p-type semiconductor belonging to the I–V–VI2 group of chalcogenides.12,13 The material has a high absorption coefficient of 104 cm−1 and a Seebeck coefficient of 320 µV K−1 at room temperature (300 K).13,14 Moreover, recent studies show that the Seebeck coefficient values may be higher than previously thought, reaching about 431–462 µV K−1 at higher temperatures.15,16 AgSbSe2's tunable ∼1 eV bandgap, elevated hole mobility of 1500 cm2 V−1 s−1, outstanding electrical mobility, and ultra-low thermal conductivity render it ideally suited for thermoelectric, solar, and optoelectronic applications.14,17 Furthermore, silver (Ag) and antimony (Sb) atoms occupy the metal sublattice positions in AgSbSe2 thin films, which mostly have a cubic crystal structure with the space group Fm[3 with combining macron]m. Nevertheless, tetragonal formations have also been observed in this compound.13,18 Hence, it is a promising contender for next-generation energy technologies due to its stability, ecological footprint, and compatibility with flexible electronics. Additionally, AgSbSe2 stands out among chalcogenides due to its unique cubic crystal structure, contrasting sharply with the low-symmetry structures commonly found in many other chalcogenides. Strong structural symmetry yields isotropic electrical and charge-transport characteristics, which are advantageous for uniform carrier collection and permit easier film-orientation criteria in thin-film solar cells. In addition, the symmetric lattice of AgSbSe2 can accept certain defects, leading to a reduced impact of defect-type variations on its electrical characteristics.19,20 Conversely, Sb2Se3 possesses a quasi-one-dimensional crystal structure that results in considerable transport anisotropy, rendering the device performance very orientation-dependent.21 Besides, Cu2SnS3 exhibits significant cation disorder and phase complexity, resulting in major fluctuations in its electrical characteristics and overall performance.22 Meanwhile, AgBiSe2 comprises bismuth, which raises concerns about its toxicity and phase instability; its electrical characteristics are also markedly sensitive to cation ordering.23 Although AgSbSe2 has been extensively studied for thermoelectric applications, its potential in photovoltaics is mostly unexamined, underscoring the necessity for rigorous exploration in optoelectronic applications.

Furthermore, a few experimental studies have been conducted on AgSbSe2 PV structures. For example, a fabricated CdS/AgSbSe2 device was reported to have a JSC of 0.08 mA cm−2 and a VOC of approximately 0.435 V.14 Additionally, the fabricated CdS/Sb2S3/AgSbSe2 photovoltaic structure exhibited a VOC of 550 mV and a JSC of 2.3 mA cm−2, resulting in a PCE of 0.4%.24 Recently, an AgSbSe2-based PV device achieved the best efficiency of 3.51% at low light intensities.25 All the results indicate that the performance levels still fall significantly short of the ideal limit. Consequently, comprehensive investigations must be conducted on AgSbSe2 to enhance the performance of the AgSbSe2-based devices owing to its robust optoelectronic features.

However, a photodetector is an electronic apparatus that facilitates the detection of ultraviolet (UV), infrared (IR), or visible electromagnetic radiation, subsequently converting it into electrical signals.26 Typically operating from visible to near-infrared wavelengths, photodetectors are frequently utilized in optical communication systems, optical interconnections, motion detection, the automobile sector, astronomy and space exploration, and medical imaging.27,28 It has been reported that, for visible and near-infrared (NIR) light detection, a bandgap of around 1 eV to 2.5 eV is ideal for photodetection.29 Up to now, most reported photodetectors—such as PbS/TiS3, MAPbI3, CsPbI3, and MoS2/Si—have exhibited detectivities in the range of 7.5 × 1010 to 3.9 × 1013 Jones and responsivities between 0.3 and 0.6 A W−1.30 However, the instability of perovskite materials limits their practical use; in this regard, AgSbSe2, with its suitable bandgap, high responsivity, and excellent electrical properties, has emerged as a promising alternative for photodetector applications.

Besides, there are various methods for depositing AgSbSe2 thin films, for instance, heating a Sb2S3–Ag stack,17 colloidal synthesis of monodisperse AgSbSe2 nanocrystals,31 hot-injection synthesis of Sb2Se3/AgSbSe2 hybrid nanorods,32 and sequential deposition and annealing of polycrystalline AgSbSe2.33 To the best of our knowledge, few studies have been conducted on AgSbSe2 despite its great potential in photovoltaics. As a consequence, an extensive simulation of AgSbSe2 is performed in this study to investigate its enormous potential in optoelectronic devices.

In this research, a double heterostructure solar cell and photodetector are utilized, where AgSbSe2 is employed as the base layer and CdS serves as the window layer, contributing to enhanced device efficiency. CdS is known as an n-type material, and utilizing it as a window layer in a photovoltaic device exhibits power and favourable semiconductor properties for its wider bandgap of 2.4 eV.34

Furthermore, AlxGa1−xSb, FeS2, and Cu2SnS3 have been systematically investigated to assess their suitability and comparative effectiveness as BSF layers in the AgSbSe2-based device structures. The ternary alloy AlxGa1−xSb is composed of two binary compounds: AlSb and GaSb. This ternary compound has attracted a lot of attention recently since it can be utilized in sophisticated near- and medium-infrared optoelectronic devices by engineering the band offset and band gap. To date, AlxGa1−xSb thin films have been deposited using methods such as molecular beam epitaxy (MBE), liquid phase epitaxy (LPE), and thermal evaporation.35 This ternary alloy has already been utilized as a BSF layer in wafer-based silicon solar cells, and its excellent carrier collection efficiency helps reduce recombination losses.35,36 Additionally, the AlxGa1−xSb alloy shows promise as a bottom cell absorber in tandem devices.37 However, it may also serve as a viable option for the BSF layer alongside AgSbSe2 due to its superior band alignment.

Besides, FeS2 and CTS exhibit direct band gaps of 0.95 eV and 1.07 eV, respectively, and both have identical electron affinities of 4.00 eV.35,38 These properties enable them to function effectively as a p+-type BSF layer in conjunction with AgSbSe2, forming an optimal p/p+-heterostructure. In general, the electrically conductive properties and inadequate reflectivity of FeS2 and CTS are lower than those of traditional BSF materials, like silicon nitride (SiN) or aluminum (Al).39 Moreover, the FeS2 thin film has garnered considerable attention from the scientific community due to its impressive minority carrier diffusion length, which ranges from 100 to 1000 nm. Additionally, its low cost, non-toxicity, and exceptionally high absorption coefficient (105 cm−1) contribute to its appeal.35 The material has previously been used as an absorber layer, achieving an experimental efficiency of only about 3% due to its lower VOC.40 However, it may also have the potential to function effectively as a BSF layer when combined with AgSbSe2. Besides, CTS is identified as a p-type semiconductor with a variable bandgap ranging from 0.92 to 1.77 eV and an optical absorption coefficient exceeding 104 cm−1. Due to these optoelectronic properties, it holds significant potential for applications in visible-light–driven photocatalytic and photovoltaic processes.41 Experimental studies have indicated a conversion efficiency of approximately 1.35% when CTS is used as the light-absorbing layer.42 Additionally, its advantageous band structure and carrier characteristics make it suitable for forming a p/p+ junction with AgSbSe2, allowing it to function effectively as a BSF layer. This configuration enhances charge confinement and reduces recombination at the rear interface. CTS has recently shown its potential as a BSF layer with CuSbSe2 in a tandem solar device.43

Therefore, in this study, AgSbSe2-based photovoltaic and photodetector devices were systematically designed and analysed in detail. The SCAPS-1D simulation results demonstrate their strong potential for high-performance double heterojunction solar cell applications, as well as their capability to optimize the responsivity and detectivity of AgSbSe2 for efficient photodetection.

2. Device design and computational approach

Fig. 1(a) indicates the diagrammatic architecture, and 1(b) is the energy band structure of the lighted state for the proposed AgSbSe2 are both depicted in Fig. 1. In this investigation, CdS is used as a window layer, and AlxGa1−xSb, FeS2, and CTS are utilized as BSF layers. In this scheme, photons penetrate the window layer of CdS before being observed by AgSbSe2. The electron affinity (E.A.) and ionization potential (I.P.) of this p-type AgSbSe2 layer are 4.12 eV and 5.12 eV, respectively. For the window layer, EC is 4.2 eV and EV is 6.6 eV. The bandgap (EG) and E.A. of the AlxGa1−xSb alloy are determined by employing a linear interpolation method between the corresponding values of AlSb and GaSb. The equations below illustrate how the composition of the alloy (X) relates to EG and E.A. according to Vegard's law:37
 
image file: d5ya00322a-t1.tif(1)
 
E.A.AlxGa1−xSb = XE.A.AlSb + (1 − X)E.A.GaSb(2)

image file: d5ya00322a-f1.tif
Fig. 1 (a) Methodical design and (b) electronic band layout of the AgSbSe2-based device.

The AlxGa1−xSb compound is optimized in this study using eqn (1) and (2), and Al0.8Ga0.2Sb is identified as the most suitable option for use as a BSF layer with AgSbSe2. The bandgap and electron affinity values are considered in this calculation: 0.72 eV and 4.06 eV for GaSb and 1.60 eV and 3.60 eV for AlSb, respectively.37 However, Al0.8Ga0.2Sb alloy shows good band alignment with AgSbSe2, which makes the junction highly effective.

At the adjacent side, Al0.8Ga0.2Sb, FeS2, and CTS have E.A. and I.P. of 3.69 eV and 5.11 eV, 4.00 eV and 4.95 eV, and 4.00 eV and 5.07 eV, respectively.35,44 These values imply that the heterojunctions formed among the p-type absorber AgSbSe2, n-type window CdS and p+-type BSFs (Al0.8Ga0.2Sb, FeS2 and CTS) exhibit well-aligned energy bands, promoting efficient charge carrier separation and transport. Moreover, the lattice compatibility analysis indicates that Al0.8Ga0.2Sb (cubic, a = 6.13 Å) and FeS2 (cubic, a = 5.4195 Å) have a close lattice match with AgSbSe2 (cubic, a = 5.786 Å), suggesting minimal lattice mismatch and favorable conditions for epitaxial interface formation. In contrast, Cu2SnS3 (monoclinic, a = 6.653 Å, b = 11.537 Å, and c = 6.665 Å) displays slightly larger lattice discrepancies; however, its compatible band alignment stability still supports the formation of stable heterojunctions.20,36,45,46 In addition to lattice compatibility, these chalcogenides and antimonide compounds exhibit comparable thermal expansion coefficients and demonstrate high phase stability under typical low-temperature processing conditions (less than 350 °C). This reduces the risk of interdiffusion or degradation at the interfaces.47 Such favourable structural and thermal compatibility enhances the practical feasibility of integrating AgSbSe2 with Al0.8Ga0.2Sb, FeS2, and Cu2SnS3 in upcoming experimental implementations.

The illuminated electronic band diagram shown in Fig. 1(b) is drawn considering Al0.8Ga0.2Sb as the BSF layer. Moreover, in Fig. 1(b), the dashed lines labelled as EFn and EFp represent the quasi-Fermi levels of electrons and holes, respectively. The present diagram clearly illustrates that in the window, the EFp is located below the edge of the conduction band (CB), while in the BSF, the EFn is situated above the edge of the valence band (VB). Due to this effect, the electrons generated by light absorption in the absorber layer AgSbSe2 naturally move toward the window layer CdS, and holes drift to the BSF, facilitating effective carrier transport within the device. Table 1 presents the band offset values for each studied structure. The evaluated conduction band offset (ΔEC) and valence band offset (ΔEV) values offer helpful details about interfacial carrier dynamics within the studied heterojunctions. For the CdS/AgSbSe2 interface, a small ΔEC (0.08 eV) facilitates smooth electron transport, while a large ΔEV (1.48 eV) effectively blocks holes, thereby minimizing recombination at the n-type window interface. The AgSbSe2/FeS2EC = 0.10 eV, ΔEV = 0.13 eV) and AgSbSe2/CTS (ΔEC = 0.11 eV, ΔEV = 0.0488 eV) junctions demonstrate nearly ideal band alignment with minimal energy barriers, which enables balanced carrier transport and efficient current matching between junctions.

Table 1 Band offset values of all the structures
Junction ΔEC ΔEV
CdS/AgSbSe2 0.08 1.48
AgSbSe2/Al0.8Ga0.2Sb 0.44 0.02
AgSbSe2/FeS2 0.1 0.13
AgSbSe2/CTS 0.11 0.0488


Despite a relatively large conduction band offset (ΔEC = 0.44 eV), the AgSbSe2/Al0.8Ga0.2Sb interface achieves the highest VOC among the structures investigated. This phenomenon can be attributed to the suppression of interfacial recombination due to the higher potential barrier for electron back-transfer, while the minimal ΔEV (0.02 eV) aids hole transport across the junction. Consequently, the AgSbSe2/Al0.8Ga0.2Sb heterointerface presents a favourable trade-off between charge selectivity and recombination control, resulting in enhanced VOC performance.

The conception of the proposed device in this study is simulated using SCAPS-1D, a one-dimensional solar cell simulation tool often used for analyzing layered semiconductor structures, developed by M. Burgelman and co-workers at the University of Ghent, Belgium.48–50 In this model, a bulk defect density of 1014 cm−3 was assigned to the window and BSF layers and 1013 cm−3 to the absorber layer, which were categorized as either donor or acceptor types based on semiconductor polarity (p-type or n-type) to utilize a Gaussian energy distribution. Moreover, an interface defect density of 1010 cm−2 was applied uniformly to each interface of the device due to the lattice mismatch between the different layers. Additionally, the carrier capture cross-sections were established at 10−15 cm2 for all layers. As well, 107 cm s−1 was allocated as the thermal velocity for both electrons and holes. To ensure conformity with common real-world photovoltaic performance benchmarks, the simulation was run using conventional test settings, such as an illumination intensity of 1000 W cm−2 and the AM1.5G sun spectrum. In Table 2, the physical parameters for the window,51 absorber14,17,52,53 and three different BSF layers in detail35,44 used in this simulation are shown. Carrier concentrations and overall device behaviour are largely determined by the effective density of states for the valence band NV and the conduction band NC. To ensure precise modelling of the semiconductor properties, these absorber layer parameters were assessed using conventional equations that rely on temperature and the effective masses of electrons and holes.44 These values are calculated using the following equations:

 
image file: d5ya00322a-t2.tif(3)
 
image file: d5ya00322a-t3.tif(4)

Table 2 Material parameters of AgSbSe2, window and BSF layers incorporated in the simulation
Parameters n-CdS51 p-AgSbSe214,17,52,53 p+-Al0.8Ga0.2Sb35 p+-FeS235 p+-CTS44
Bandgap, Eg (eV) 2.40 1.00 1.42 0.95 1.07
Electron affinity, E.A. (χ) (eV) 4.2 4.12 3.69 4.00 4.00
Dielectric permittivity, ε (relative) 10.0 7.981 12.04 10.0 10.00
CB effective density of states, NC (cm−3) 2.2 × 1018 3.33 × 1018 7.8 × 1017 3 × 1018 2.2 × 1018
VB effective density of states, NV (cm−3) 1.8 × 1019 3.29 × 1019 1.8 × 1019 3 × 1019 1.8 × 1019
Mobility of electron, µe (cm2 V−1 s −1) 100 417.452 200 370 100
Hole mobility, µh (cm2 V−1 s −1) 2500 150017 420 70 25
Shallow uniform donor density, ND (1/cm3) 1 × 1018 0 0 0 0
Shallow uniform acceptor density, NA (1/cm3) 0 1 × 1019 (ref. 53) 1 × 1019 1 × 1019 1 × 1019


In this work, the effective masses of electrons image file: d5ya00322a-t4.tif and holes image file: d5ya00322a-t5.tif in AgSbSe2 are considered to be 0.26 m0 and 1.2 m0, respectively.52,54 In addition, h is the Planck's constant, KB is the Boltzmann constant, and T is the absolute temperature in Kelvin (300 K is used here).

In addition, as the key performance metrics in this investigation, responsivity and detectivity provide a profound understanding of the effectiveness and sensitivity of the developed photonic device. Both are necessary for assessing and maximizing the overall performance of the photodetector device. These can be determined using the following eqn (5) and (6):55,56

 
image file: d5ya00322a-t6.tif(5)
 
image file: d5ya00322a-t7.tif(6)
where λ denotes the wavelength, η represents the quantum efficiency (QE), h is Planck's constant, j0 denotes the dark current, q is the charge of an electron and c denotes the speed of light. The calculated dark current was extremely small, about 2.4 × 10−13 mA cm−2, which is typical for high quality photodetectors and solar cells.

Besides, the JSC, VOC, FF, and PCE values determine the principal electrical photovoltaic characteristics of a solar cell. JSC represents the maximum current output when the terminals of the solar cell are short-circuited, resulting in a voltage of zero. VOC denotes the maximum voltage measurable across a solar cell under open-circuit conditions, where the current equals zero. Additionally, JSC can be defined based on the light absorption and the probability of collecting carriers:57

 
image file: d5ya00322a-t8.tif(7)
where A1 represents the one pass absorption, fc represents the carrier collecting probability, and ΦAM1.5G(λ) represents the incoming light flux. The relationship between JSC and VOC can be expressed as follows:
 
image file: d5ya00322a-t9.tif(8)
where K represents the Boltzmann constant, T denotes the absolute temperature, q denotes the elementary charge, and J0 denotes the saturation current density. FF can be expressed as
 
image file: d5ya00322a-t10.tif(9)
where Pmax = Vm × Im, and at the maximum power point, Vm is the voltage and Im is the current.

Moreover, efficiency can be defined as follows:

 
image file: d5ya00322a-t11.tif(10)
where Pin = input power.

3. Results and discussion

3.1. Performance of the CdS/AgSbSe2 solar cell

This analysis explores how structural and material changes within the AgSbSe2 absorber and CdS window layer, specifically in terms of width, dopant levels, and intrinsic defect states, impact the electrical performance of the proposed n-CdS/p-AgSbSe2 heterojunction-based solar configuration.
3.1.1. Role of AgSbSe2 as an absorber layer. Fig. 2 provides a visual representation of how altering the thickness and doping concentration of the absorber influences the photovoltaic response, as presented through contour plots. Fig. 2(a) illustrates that JSC exhibits a notable enhancement, increasing from 33.76 mA cm−2 to 47.43 mA cm−2 as the absorber thickness is varied from 0.3 µm to 1.1 µm. As thickness increases, more photons are absorbed, resulting in elevated electron–hole pair density and a higher photocurrent, which makes the increase in JSC feasible.58 However, doping level variations also significantly affect performance, which moderately decreases the value, indicating that increasing free carrier density enhances free-carrier absorption and non-radiative recombination, which reduces the effective current density in this regime.59
image file: d5ya00322a-f2.tif
Fig. 2 Analyses of the (a) JSC, (b) VOC, (c) FF, and (d) PCE of the CdS/AgSbSe2 PV device in accordance with the thickness and doping of AgSbSe2.

The variation in VOC corresponding to the changes in absorber width and carrier density is depicted in Fig. 2(b), which reflects the cell's electrical behaviour. The minimum VOC of 0.62 V is observed at a lower thickness of 0.3 µm and a concentration of 1 × 1016 cm−3 doping levels, indicating that optimal doping levels are critical to maintaining higher voltage outputs. VOC remains nearly constant with increasing thickness at this doping level. In contrast, a noticeable increase in VOC is observed with higher doping concentrations. A peak VOC of 0.67 V is achieved at an absorber thickness of 1.1 µm combined with a doping concentration of 1 × 1020 cm−3. An increase in absorber thickness within the tested range has a negligible effect on VOC, while it increases with higher doping concentration as a result of improved built-in potential and reduced recombination losses.60

As shown in Fig. 2(c), both the greater thickness and higher doping concentration of the AgSbSe2 absorber contribute to maintaining a stable FF. Along the thickness range from 0.3 µm to 1.1 µm, FF shows minimal sensitivity, which is only a small variation from 83.06% to 82.9%. However, it slightly increases to 83.92% at the highest doping level of 1020 cm−3 due to the drops in the ideality factor.61Fig. 2(d) depicts that with a thickness of 0.3 µm, PCE is approximately 21.16%. As the thickness attains 1.1 µm with a doping concentration of 1017 cm−3, PCE reaches a maximum value of 24.82%. Meanwhile, a substantial increase in doping density from 1016 cm−3 to 1020 cm−3 leads to a reduction in PCE to 23.67% at the same thickness of 1.1 µm.

The contour plots in Fig. 3 systematically illustrate the dependence of key photovoltaic characteristics on variations in both the thickness and intrinsic defect concentration of the absorber, offering insights into their combined influence on device performance. According to Fig. 3(a), JSC remains relatively low at 39.51 mA cm−2 for small absorber thicknesses and shows a negligible decrease with variations in bulk defect density. As the thickness increases, JSC begins to rise gradually, reaching a maximum value of 45.50 mA cm−2.


image file: d5ya00322a-f3.tif
Fig. 3 Analyses of the (a) JSC, (b) VOC, (c) FF, and (d) PCE of the CdS/AgSbSe2 PV device in accordance with the thickness and defect density of AgSbSe2.

Fig. 3(b) demonstrates a steady increase in VOC with increasing absorber, rising from 0.62 V at 0.3 µm to a peak of 0.63 V at 1.1 µm. However, it remains almost stable with variations in defect density within the range of 1011–1015 cm−3. Despite increasing absorber defect density, VOC remains nearly constant because recombination is dominated by interface or depletion-region effect rather than bulk defects. Since charge generation and collection are unaffected, quasi-Fermi level splitting does not change, resulting in an almost invariant VOC.

In Fig. 3(c), FF remains constant with increasing defect density up to 1014 cm−3, attaining its maximum value of 83.43%. After that, FF again starts to fall marginally with bulk defects. However, it exhibits slight growth with the width of the absorber. The variation of FF in accordance with the bulk defects might occur due to the change in the ideality factor.62Fig. 3(d) illustrates that PCE initially increases with absorber thickness, rising from 20.62% at 0.3 µm to a maximum of 24.21% at 1.1 µm; although at the same thickness, it declines to 24.15% when the defect density increases to 1015 cm−3. This demonstrates that while thickness improves performance, high defect density has an adverse effect. The optimized values for the width, carrier level, and defects of AgSbSe2 are identified as 0.7 µm, 1019 cm−3, and 1013 cm−3, respectively, for further investigations.

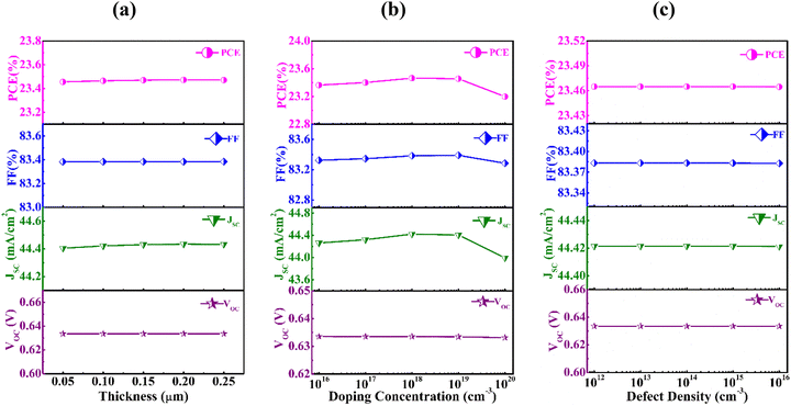
3.1.2. Contribution of CdS as a window layer. From the data depicted in Fig. 4(a), it is clear that adjusting the thickness within the range of 0.05–0.25 µm of the CdS window layer produces little to no impact on VOC, which remains approximately constant at ∼0.63 V. This can be explained by the inherent wide bandgap of CdS, which prevents significant absorption losses, thus allowing optimal light penetration to the active region. JSC initially exhibits a value of 44.40 mA cm−2 and shows a negligible increase to about 44.43 mA cm−2 as the thickness reaches 0.15 µm. In contrast, PCE and FF remain unaffected by the variation in thickness, maintaining values of approximately 23.4% and 83.38%, respectively. Throughout the investigated thickness range, the CdS window layer exhibits a high carrier lifetime and diffusion length. Because of this trait, electrons can quickly reach the cathode before they recombine, which keeps the device working properly.63
image file: d5ya00322a-f4.tif
Fig. 4 Photovoltaic performance assessment of the CdS/AgSbSe2 heterostructure in relation to the (a) width, (b) donor level, and (c) bulk defects of CdS.

Fig. 4(b) shows the influence of varying CdS doping concentrations from 1016 to 1020 cm−3 on the performance of the n-CdS/p-AgSbSe2 solar cell. No significant change in VOC is observed here. JSC shows a rising trend as doping concentration increases, up to 1019 cm−3 due to improved conductivity and enhanced carrier collection. However, at a higher level of 1020 cm−3, it drops minimally, which can be attributed to the decreased carrier lifetime. FF exhibits a non-monotonic trend, rising from 83.32% to 83.39% at 1019 cm−3, and starts declining from 1020 cm−3 as a result of enhanced recombination.61 Here, PCE shows the same behaviour as JSC; it increases to a level of 1019 cm−3, then drops progressively and reaches its lowest point at higher doping levels.

In Fig. 4(c), throughout the CdS layer defect density spanning from 1012 to 1016 cm−3, the parameters VOC, JSC, FF and PCE maintained stability within the interval values of 0.63 V, 44.42 mA cm−2, 83.38%, and 23.46%, respectively. The CdS window layer's defect density has a limited effect on device performance because of its thin nature and primary role in charge transport rather than carrier generation, resulting in minimal recombination losses despite defect variations. Hence, the most appropriate values for the width, carrier concentration, and defect levels of CdS are determined to be 0.1 µm, 1018 cm−3, and 1014 cm−3, respectively, for subsequent studies.

3.2. Performance of the CdS/AgSbSe2 heterostructures utilizing various BSF layers

In this context, the current–voltage (JV) characteristic curves of different types of heterostructures with or without a BSF layer are shown in Fig. 5(a), where CdS and AgSbSe2 are used as window and absorber layers, respectively. Fig. 5(b) illustrates the quantum efficiency (QE) of the same structures, and Fig. 5(c) illustrates the recombination rate. Here, the first figure spells out the values of VOC and JSC measured as 0.6334 V and 44.42 mA cm−2, respectively, without any BSF layer present. After introducing different BSF layers, a noticeable variation in VOC is observed depending on the band structure of the materials. The simulation parameters for various BSF layers were utilized, as outlined in Table 2. In the dual heterostructure of CdS/AgSbSe2/FeS2, there is an appreciable increase in VOC, reaching about 0.74 V, and in CdS/AgSbSe2/CTS, it becomes 0.76 V. However, the maximum VOC achieved is about 0.85 V at the CdS/AgSbSe2/Al0.8Ga0.2Sb structure, which can be attributed to the enhanced built-in potential formed at the CdS/AgSbSe2 and AgSbSe2/Al0.8Ga0.2Sb heterostructures, highlighting how variations in band alignment across different structures critically influence VOC.64 Specifically, the optimal band offset value between AgSbSe2 and Al0.8Ga0.2Sb increases the built-in potential, contributing to a higher VOC compared to other materials. Besides, the devices with the FeS2 layer exhibit a considerable improvement in JSC. JSC rises to 46.35 mA cm−2 at the CdS/AgSbSe2/Al0.8Ga0.2Sb structure, while the value slightly rises to 46.57 mA cm−2 in CdS/AgSbSe2/CTS. The highest JSC of 47.79 mA cm−2 is shown by FeS2 compared to the other BSF layers. The constructed current density is elevated by suppressing interface-related carrier recombination, employing the diminution of the surface recombination velocity.56
image file: d5ya00322a-f5.tif
Fig. 5 (a) JV, (b) QE, and (c) recombination profiles of various AgSbSe2-based heterostructures.

Due to its small bandgap of 0.95 eV, FeS2 can absorb longer-wavelength photons ranging from 1240 to 1316 nm. This capability contributes to an increase in the current to nearly 1 mA cm−2 when compared to CTS and Al0.8Ga0.2Sb. The device FF is greatly impacted by the choice of BSF arrangement. The reference n-CdS/p-AgSbSe2 device shows an FF of 83.38%, while FeS2 and CTS layers increase FF to 85.30% and 85.49%, respectively, although p+ BSFs are preferred for superior performance. The enhanced FF results from increased carrier mobility, longer carrier lifetimes, and decreased recombination, all of which improve carrier collecting efficiency. The slightly higher FF in Al0.8Ga0.2Sb at 86.64% is attributed to ideal band alignment at the absorber and BSF interface, which reduces series resistance and enhances charge transport and diode quality.

In Fig. 5(b), QE is shown with respect to the wavelength. QE measures how effectively a solar cell can transform incoming photons into charge carriers, and its value changes across various wavelengths as a result of the material's absorption properties.65 Without the BSF layer, the QE reaches around 99.2% at a wavelength range of 300–360 nm and continuously decreases. Furthermore, at 1240 nm, it becomes zero due to being devoid of photon absorption. When every incoming photon is transformed into electric charges, the maximum photon absorption capability occurs at 100%. After adding the BSF layer, the QE reaches almost 100% in the wavelength range of 300–1000 nm, for all cases. In addition, at 1100 nm, all of the heterostructures exhibit above 90% QE. However, beyond this point, the QE of the CTS and Al0.8Ga0.2Sb BSF layers drops to zero at 1240 nm, while FeS2 maintains a non-zero response up to approximately 1316 nm. At a wavelength of 1240 nm, the CdS/AgSbSe2/FeS2 device also presents a QE of 35%. This extended absorption range enables FeS2 to produce an additional photocurrent of around 1 mA compared to the other two BSF-based structures. This suggests that the FeS2 layer can absorb photons in the 1240–1316 nm range, which contributes to the observed increase of 1 mA in the photocurrent. Hence, it is clear that FeS2 performs the dual roles of a secondary absorber and a hole transport layer in the AgSbSe2-based devices.

An inspection of Fig. 5(c) reveals the recombination behaviour of AgSbSe2 heterostructures incorporating different BSF layers. Recombination is the process by which electrons and holes come together and cancel each other out, which works against the effect of generation. Without a BSF layer, the CdS/AgSbSe2 setup in the p-region has a very low recombination rate. When a p+ layer is added, the recombination rate increases for all structures in the p-region. In addition, FeS2 exhibits a higher recombination rate within the device compared to CTS and Al0.8Ga0.2Sb in the p+-region, resulting in a significantly lower VOC. In contrast, the inclusion of Al0.8Ga0.2Sb as a BSF in the configuration results in the most suppressed recombination rate in the p+-region, out of all the examined structures. This reduced recombination facilitates a higher VOC relative to other BSF structures. In AgSbSe2/Al0.8Ga0.2Sb, the small valence band offset enables efficient hole transport across the junction, while the relatively large conduction band offset serves as an energy barrier that repels electrons from the back contact. This selective carrier confinement significantly reduces interfacial recombination. As a result, the AgSbSe2/Al0.8Ga0.2Sb configuration promotes better carrier selectivity and enhances VOC by maintaining a high quasi-Fermi level separation near the absorber/BSF interface. As a result, Al0.8Ga0.2Sb is identified as a more favourable BSF material for the AgSbSe2-based devices. At the same time, CdS serves as an effective window layer for integration with the AgSbSe2 absorber. However, in the n-region, the recombination rate in FeS2 devices is notably diminished, and with CTS material designs present, nearly equivalent behaviour is observed due to the small conduction band offset, which facilitates increased electron transport. Conversely, Al0.8Ga0.2Sb shows slightly higher recombination on this side.

The total built-in potential (Ψbi) of the AgSbSe2-based double heterostructure PV devices was calculated to assess the internal electric field across the active regions. Table 3 presents the estimated Ψbi values, derived as the sum of the built-in potentials at the window/absorber (p–n) and absorber/BSF (p–p+) junctions:

 
Ψbi = Ψ(p–n) + Ψ(p–p+)(11)

Table 3 Variations in the built-in potential of AgSbSe2 structures with distinct interfaces
Structures Built-in potential (V)
n/p p/p+ n/p p/p+ Built-in potential (total) (V)
CdS/AgSbSe2 AgSbSe2/Al0.8Ga0.2Sb 0.94 1.43 2.37
AgSbSe2/FeS2 0.96 1.90
AgSbSe2/CTS 1.07 2.01


A mathematical expression can be used to determine the built-in voltage in a heterojunction p–n configuration:66

 
image file: d5ya00322a-t12.tif(12)
where NC and NV denote the density of states of the conduction and valence bands, respectively. EC and EV denote the energy levels at the edges of the conduction and valence bands, respectively. The donor and acceptor doping concentrations are given by ND and NA, respectively. The intrinsic carrier concentrations for the n-type and p-type semiconductors are represented by ni,n and ni,p. Meanwhile, q denotes the electron charge and KT denotes the thermal energy. The intrinsic carrier concentration (ni) in semiconductors can be calculated from the effective densities of states and the energy gap using a specific exponential formula:67
 
image file: d5ya00322a-t13.tif(13)
where Eg is the energy bandgap. The provided formula is utilized to determine the potential difference established in Ψ(p–p+):68
 
image file: d5ya00322a-t14.tif(14)

The estimated built-in potential for each interface and total heterostructure is shown in Table 3. The calculated value of Ψbi for CdS/AgSbSe2 is 0.94 V. With the incorporation of multiple BSF layers, the voltage increases noticeably, reflecting better charge confinement and improved junction potential. CdS/AgSbSe2/FeS2 and CdS/AgSbSe2/CTS obtain built-in potentials of about 1.90 V and 2.01 V, respectively, which signifies a reduced equilibrium voltage drop across the junction, typically due to a small Fermi level difference between the adjacent layers compared to Al0.8Ga0.2Sb-based BSF. In opposition, CdS/AgSbSe2/Al0.8Ga0.2Sb provides a maximum built-in potential of about 2.37 V, which leads to attaining the highest VOC. The observed relatively high built-in potential of 2.37 V for this structure is attributed to the significant Fermi level difference between the moderately doped p-type AgSbSe2 and the highly doped p+-type Al0.8Ga0.2Sb. This pronounced doping gradient enhances band bending at the interface, resulting in a stronger internal electric field. Additionally, the small valence band offset facilitates efficient hole transport, while the higher conduction band offset creates a considerable electron barrier that reduces carrier recombination and preserves a strong internal electric field. Collectively, these characteristics contribute to a higher built-in potential compared to other CTS or FeS2.64

3.3. Impact of Al0.8Ga0.2Sb as the BSF layer

The above discussions signify that the Al0.8Ga0.2Sb compounds perform as an optimized BSF layer with AgSbSe2 absorber layer compared to others. Hence, the subsequent sections discuss the PV results on the AgSbSe2 solar cells, considering CdS as the window and Al0.8Ga0.2Sb as the BSF layers. Fig. 6 illustrates the effect of Al0.8Ga0.2Sb BSF layer properties, such as thickness, doping level, and defect density, on overall photovoltaic performance. The thickness of the BSF layer is observed in the range of 0.05–0.25 µm, as depicted in Fig. 6(a). In this range, the photovoltaic traits are almost constant: VOC is about 0.86 V, JSC stabilizes at about 46.3 mA cm−2, PCE is around 34.3%, and FF is about 86.6%. This consistency indicates that device performance is not significantly affected by minor variations in BSF thickness, suggesting thickness independence in this interval. Due to the thick electrical confinement and reduced surface recombination, the BSF layer sustains a high carrier lifetime and diffusion length. This allows photogenerated carriers to efficiently reach the hole contact before recombining, thus preserving device performance across the thickness range.
image file: d5ya00322a-f6.tif
Fig. 6 Photovoltaic performance assessment of the CdS/AgSbSe2/Al0.8Ga0.2Sb heterostructure in relation to the (a) thickness, (b) acceptor level, and (c) bulk defects of Al0.8Ga0.2Sb.

As shown in Fig. 6(b), the PV parameter values here also barely alter when the doping level is changed from 1016 to 1021 cm−3. JSC and VOC exhibit minimal fluctuations around 46.4 mA cm−2 and 0.86 V, respectively, while FF and PCE stay steady near 86.7% and 34.3%. Similarly, under defect density variation, all parameters remain constant and maintain values of VOC around 0.85 V, JSC at 46.35 mA cm−2, FF at 86.6%, and PCE close to 34.3%, as shown in Fig. 6(c).

The stability of observed parameters through all changes in BSF layers demonstrates a regime of material and structural adequacy, where carrier confinement is already optimized, and additional changes become practically ineffective.

3.4. Effect of the absorber's electronic properties on performance

This subsection thoroughly evaluates the effects of defect states, carrier mobility, and band tailing of AgSbSe2 on n-CdS/p-AgSbSe2/p+-Al0.8Ga0.2Sb heterojunction device behaviour.

Fig. 7(a) illustrates how the PV performance of the CdS/AgSbSe2/Al0.8Ga0.2Sb heterostructure varies in relation to the Urbach energy (UE) states of the AgSbSe2 absorber layer. The UE indicates the degree of band-tailing and energetic disorder present in the absorber. It primarily influences sub-bandgap absorption and carrier generation. The UE states ranged from 0.02 to 0.1 eV. The figure shows that as the UE of the AgSbSe2 absorber rises from 0.02 to 0.1 eV, enhanced band-tail absorption allows for better utilization of low-energy photons, leading to an increase in the density of photogenerated carriers. Consequently, JSC has significantly improved. Besides, VOC remains nearly constant because it is governed by quasi-Fermi level splitting, which is primarily influenced by the main recombination pathways. Changes in UE do not significantly affect the primary bulk or interface recombination mechanisms, leading to a saturation current density that remains relatively unchanged. As a result, VOC stays consistent. Additionally, FF is maintained because carrier transport and series resistance do not vary much within the examined range of UE. PCE improves to 36.41% based on the JSC value within the UE range.


image file: d5ya00322a-f7.tif
Fig. 7 Photovoltaic performance assessment of the CdS/AgSbSe2/Al0.8Ga0.2Sb heterostructure in relation to the (a) Urbach energy, (b) defect type, (c) hole mobility, and (d) electron mobility of the AgSbSe2 absorber.

Fig. 7(b) examines how all PV responses depend on various defect charge states (neutral, single donor, single acceptor, double donor, double acceptor, and amphoteric) in AgSbSe2. The figure depicts the almost stable behaviour of all parameters associated with the CdS/AgSbSe2/Al0.8Ga0.2Sb device. The fact that all PV outputs remain unchanged regardless of the defect charge state (neutral, single donor, single acceptor, double donor, double acceptor, or amphoteric) in the AgSbSe2 absorber indicates that the electrostatic nature of bulk defects does not constrain the device's performance. Moreover, the various defect states do not significantly alter the carrier lifetime or quasi-Fermi level splitting. This implies that recombination remains governed by processes occurring at the interface or within the depletion region rather than by the charge states of bulk defects.

Fig. 7(c) and (d) illustrate the variation in the photovoltaic (PV) performance of the AgSbSe2-based device in relation to the hole and electron mobility of the absorber layer, respectively. The hole mobility ranges from 500 to 1700 cm2 V−1 s−1, while the electron mobility is adjusted from 50 to 500 cm2 V−1 s−1. Both figures demonstrate that the consistency of PV outputs in the proposed heterostructure correlates with the carrier mobility of AgSbSe2. Changing the mobilities of electrons and holes does not affect the PV parameters, indicating that carrier transport is not the limiting factor in the CdS/AgSbSe2/Al0.8Ga0.2Sb device. In the range of mobilities examined, the lengths of carrier diffusion exceed the thickness of the absorber. Additionally, the built-in electric field facilitates charge collection and enhances extraction efficiency. Since mobility does not directly influence recombination or quasi-Fermi level splitting, the parameters JSC, VOC, FF, and PCE remain relatively unchanged.

3.5. Effect of device resistances and temperature on device performance

The electrical behaviour of solar cells is greatly influenced by internal series and parallel resistances, which primarily arise due to layer-to-layer contact resistance, electrode interconnections, and structural defects induced during device fabrication.69

Performance outcomes in solar cells are strongly influenced by internal resistance elements. The highest PCE is typically attained when the device exhibits minimal series resistance (RS) and maximized shunt resistance (Rsh). This happens because low series resistance reduces power loss in current flow, while high shunt resistance prevents leakage currents, together maximizing the solar cell's output.70Fig. 8 illustrates the variations in RS, Rsh and operating temperature impact the photovoltaic characteristics of the n-CdS/p-AgSbSe2/p+-Al0.8Ga0.2Sb dual-heterojunction solar cell.


image file: d5ya00322a-f8.tif
Fig. 8 Photovoltaic performance assessment of the CdS/AgSbSe2/Al0.8Ga0.2Sb heterostructure in relation to (a) series resistance, (b) shunt resistance, and (c) working temperature.

Fig. 8(a) illustrates that the FF and PCE of the solar cell decline noticeably as the RS increases from 0 to 5 Ω cm2. In contrast, both VOC and JSC remain largely unaffected by this variation. FF decreases from 86% to 61%. PCE is primarily attributed to the decline in FF; PCE drops from 34.3% to 24.5% as Rs increases within the specified range.

In Fig. 8(b), the solar cell's characteristics shift depending on the applied Rsh in the 1–5 kΩ cm2 range. Similar to the previous observation for RS, VOC and JSC remain unaffected by changes in Rsh. Both FF and PCE experience a minimal reduction compared to the ideal case when Rsh is set to 1 kΩ cm2. An increase in Rsh leads to higher values of FF and PCE, which reach 86.35% and 34.2%, respectively, at 5 kΩ cm2.

Fig. 8(c) shows how the solar cell's PV performance changes when the temperature changes between 275 K and 400 K. JSC stays at a fairly steady level in this range of temperature. As the operating temperature rises, VOC drops sharply, from 0.87 V to 0.77 V at 400 K. This decline occurs because the dark current flow increases.23 The rise in temperature also causes a significant drop in FF, from 87.6% to 82.2%. PCE also undergoes a sharp reduction, dropping to 29.4%, primarily driven by the degradation of VOC and FF across the temperature range. A higher temperature boosts the velocity of charge carriers, which lowers the bond energy and narrows the bandgap of the semiconductor. As a result, the saturation current of the solar cell rises along with the intrinsic carrier concentration.71

3.6. Efficacy of the AgSbSe2 absorber in photodetectors

Fig. 9 illustrates how the responsivity and detectivity of the AgSbSe2 photodetector are influenced by structural changes. This shows that variations in wavelength consistently impact the responsivity and detectivity performance of the device.
image file: d5ya00322a-f9.tif
Fig. 9 Detectivity and responsivity performances of the AgSbSe2-based (a) n-CdS/p-AgSbSe2, (b) n-CdS/p-AgSbSe2/p+-Al0.8Ga0.2Sb, (c) n-CdS/p-AgSbSe2/p+-CTS, and (d) n-CdS/p-AgSbSe2/p+-FeS2 photodetectors.

As shown in Fig. 9(a), the device without BSF n-CdS/p-AgSbSe2 exhibits a peak responsivity of 0.76 A W−1 at a wavelength of 1100 nm. In comparison, the inclusion of a BSF layer significantly enhances device performance. Fig. 9(b) to (d) depict the responsivity and detectivity of CdS/AgSbSe2 devices that incorporate Al0.8Ga0.2Sb, CTS, and FeS2 BSF layers, respectively. The Al0.8Ga0.2Sb- and CTS-based devices attain peak responsivities of 0.81 A W−1 and 0.84 A W−1, respectively, at the same wavelength of 1100 nm, while at the range of 1139 nm, the FeS2-based structure achieves an improved maximum responsivity of 0.86 A W−1, as displayed in Fig. 9(b)–(d). The incorporation of the BSF layer mitigates recombination, boosts charge carrier concentration and mobility, and enhances carrier collection and current generation, resulting in increased device responsivity.30,72 It is also observed that when the wavelength exceeds 1238 nm, the photons no longer carry enough energy to excite electrons, so the photodetector stops responding. However, in this region, FeS2 generates slightly more current due to its extended absorption range, resulting in relatively higher responsivity up to 1320 nm, beyond which the responsivity drops to zero.

At the same time, the device's detectivity, in the absence of a BSF layer, is 1.24 × 1013 Jones at 300 nm, as shown in Fig. 9(a). It progressively rises to its maximum value of 3.95 × 1013 Jones at 1079 nm. There is a noticeable increase in detectivity after adding a BSF layer. The n-CdS/p-AgSbSe2/p+-Al0.8Ga0.2Sb structure, as presented in Fig. 9(b), exhibits the highest detectivity of any BSF configuration, with a reading of roughly 2.93 × 1015 Jones at 1100 nm and 0.86 × 1015 Jones at 300 nm. This happens because detectivity is inversely dependent on the square root of the dark current; both increasing VOC and lowering the dark current contribute significantly to enhancing the device's detectivity.73 Furthermore, the CTS achieves a detectivity of 4.92 × 1014 Jones at 1100 nm, whereas the FeS2 layer shows 3.68 × 1014 Jones at 1139 nm, as shown in Fig. 9(c)–(d). These findings demonstrate that improving photodetector performance across many spectral areas requires both absorber thickness and BSF integration. However, detectivity drastically decreases to zero for wavelengths longer than 1236 nm.

3.7. Optimized performances of the AgSbSe2-based solar cells and photodetectors

An overview of the AgSbSe2 performance based on both single and double-heterojunction solar cells is illustrated in Table 4. At n-CdS/p-AgSbSe2 interface, the device exhibits relatively lower performance. With the inclusion of the BSF layer, performance metrics, including VOC, JSC, responsivity, and detectivity, exhibit considerable improvement, thereby validating its role as a key enabling layer for an enhanced optoelectronic response in the device.
Table 4 Overall cell performances of the AgSbSe2-based devices
Heterostructures Solar cell performances Photodetector performances
V OC (V) J SC (mA cm−2) FF (%) PCE (%) Detectivity (Jones) Responsivity (A W−1)
n-CdS/p-AgSbSe2 0.63 44.42 83.38 23.46 3.95 × 1013 at λ = 1079 nm 0.766 at λ = 1100 nm
n-CdS/p-AgSbSe2/p+-Al0.8Ga0.2Sb 0.85 46.35 86.64 34.32 2.93 × 1015 at λ = 1100 nm 0.819 at λ = 1100 nm
n-CdS/p-AgSbSe2/p+-FeS2 0.74 47.79 85.30 30.37 3.68 × 1014 at λ = 1139 nm 0.867 at λ = 1139 nm
n-CdS/p-AgSbSe2/p+-CTS 0.76 46.57 85.49 30.30 4.92 × 1014 at λ = 1100 nm 0.842 at λ = 1100 nm


It is observed that the highest performance is attained in the dual-heterostructure configuration comprising n-CdS/p-AgSbSe2/p+-Al0.8Ga0.2Sb, as evidenced by a notable PCE of 34.32% and a VOC of 0.85 V. Conversely, the n-CdS/p-AgSbSe2/p+-FeS2 structure shows a lower PCE of 30.37%, along with a reduced VOC of 0.74 V. Moreover, the n-CdS/p-AgSbSe2/p+-CTS configuration exhibits a similar PCE of 30.30% and a slightly enhanced VOC of 0.76 V. Although Al0.8Ga0.2Sb provides a better VOC, the FeS2 BSF shows a higher JSC of 47.79 mA cm−2. The JSC values for Al0.8Ga0.2Sb and CTS remain closely matched but relatively lower, which are measured at 46.35 and 46.57 mA cm−2, respectively. FF reaches a maximum value of 86.64% for Al0.8Ga0.2Sb, while FeS2 and CTS yield slightly lower values of 85.30% and 85.49%, respectively. However, a more recent experimental study reported a PCE of 3.51% for the AgSbSe2-based devices under low-light conditions.25 In comparison, the simulated double heterostructures presented in this work exhibit superior performance parameters. Since the reported performance of the AgSbSe2-based optoelectronic devices represents a theoretical and idealized outcome derived from the assumptions inherent in the SCAPS-1D simulation model, the obtained results are likewise idealized. Additionally, in these simulations, optical losses such as reflection at interfaces and parasitic absorption in non-active layers were not explicitly accounted for. Additionally, all layers were assumed to have perfect interfaces and uniform thicknesses. Standard ohmic contacts were established as boundary conditions, and interface defects were included only where explicitly defined, utilizing realistic defect densities from previous studies. Under these idealized conditions, we neglected non-radiative recombination, series and shunt resistances, and other practical device imperfections. Therefore, the reported PCE signifies the upper theoretical limit, providing insights into intrinsic material and layer performance while recognizing that actual devices will encounter further optical and electrical losses.

However, the AgSbSe2-based photodetector in the absence of any BSF layers leads to a responsivity of 0.76 A W−1. In contrast, this photodetector shows comparable responsivity when integrated with different BSF layers, achieving values of 0.81 and 0.84 A W−1 at 1100 nm for Al0.8Ga0.2Sb and CTS, respectively, with a peak responsivity of 0.86 A W−1 observed for FeS2 at 1139 nm. Additionally, the reference CdS/AgSbSe2 device without a BSF layer exhibits a detectivity of approximately 3.95 × 1013 Jones. The detectivities of CdS/AgSbSe2/CTS and CdS/AgSbSe2/FeS2 double heterostructures increase up to the highest 3.68 × 1014 and 4.92 × 1014 Jones, respectively, when CTS or FeS2 is used as the BSF layer. Notably, the CdS/AgSbSe2/Al0.8Ga0.2Sb structure achieves the highest detectivity, approaching 2.93 × 1015 Jones. This enhancement can be attributed to the BSF-induced upsurge in the built-in potential, which raises VOC and facilitates efficient carrier separation and collection.

These findings align well with recently reported dual heterojunction photodetectors, whose detectivities typically fall in the range of 1015–1018 Jones. For example, Cu2ZnGeSe4-based devices (I2–II–IV–VI4 family) exhibit a detectivity of 8.28 × 1017 Jones,74 ZnGeAs2 achieves 1.25 × 1017 Jones,75 Fe2GeS4 reaches 2.74 × 1016 Jones,76 and the n-ZnSe/p-CdGeP2/p+-GeS dual heterojunction device attains 3.87 × 1018 Jones.77 Moreover, Ag3AuS3- and Ag3AuSe2-based photodetectors have also demonstrated detectivities of the order of 1015 Jones.73,78 These comparisons confirm that the proposed AgSbSe2-based double heterostructures exhibit competitive detectivity performance relative to state-of-the-art chalcogenide and I–III–VI2 systems.

4. Conclusion

This work successfully reveals the potential of novel AgSbSe2-based solar cells and photodetectors through theoretical investigation. This design manifests CdS as a window and Al0.8Ga0.2Sb, FeS2 and CTS as BSF layers. The impact of crucial factors such as layer thickness, carrier concentration, and defect density is systematically analysed using SCAPS-1D to optimize device performance. The n-CdS/p-AgSbSe2 single-junction optoelectronic device attains a PCE of 23.46%, with a JSC of 44.42 mA cm−2, a VOC of 0.63 V, and an FF of 83.38%. With the integration of the various BSF layers, n-CdS/p-AgSbSe2/p+-Al0.8Ga0.2Sb achieves the best photovoltaic performance among all studied structures, reaching an outstanding PCE of 34.32%, VOC of 0.85 V, JSC of 46.35 mA cm−2, and an FF of 86.64%. Additionally, a peak responsivity of 0.819 A W−1 and detectivity of 2.93 × 1015 Jones are observed at 1100 nm for n-CdS/p-AgSbSe2/p+-Al0.8Ga0.2Sb heterostructure, confirming its superior photodetection capability. The incorporation of the Al0.8Ga0.2Sb BSF layer enriches the built-in potential from 0.94 to 2.37 V and boosts VOC, enhancing PCE and detectivity. The superior band alignment between p-AgSbSe2 and p+-Al0.8Ga0.2Sb hetero-interface handles augmenting VOC. This research identifies n-CdS/p-AgSbSe2/p+-Al0.8Ga0.2Sb configuration as a viable and efficient solar cell and photodetector, offering high efficiency, long-term stability, and strong potential for real-world applications.

Conflicts of interest

None of the authors have any competing financial interests.

Data availability

Data will be available from the corresponding author upon reasonable request.

Acknowledgements

The authors are highly indebted to Prof. Dr Marc Burgelman, University of Gent, Belgium, for supplying the SCAPS 1D simulator. This research has not been funded by any research organization or university.

References

  1. K. L. Chopra, P. D. Paulson and V. Dutta, Thin-film solar cells: an overview, Prog. Photovoltaics Res. Appl., 2004, 12, 69–92,  DOI:10.1002/pip.541 .
  2. G. Wang, Q. Su, H. Tang, H. Wu, H. Lin, C. Han, T. Wang, C. Xue, J. Lu, L. Fang, Z. Li, X. Xu and P. Gao, 27.09%-efficiency silicon heterojunction back contact solar cell and going beyond, Nat. Commun., 2024, 15, 8931,  DOI:10.1038/s41467-024-53275-5 .
  3. I. García, Chapter 5 - Silicon solar cell fabrication technology, 2025, pp. 129–171 DOI:10.1016/B978-0-323-96105-9.00005-7 .
  4. G. Han, S. Zhang, P. P. Boix, L. H. Wong, L. Sun and S.-Y. Lien, Towards high efficiency thin film solar cells, Prog. Mater. Sci., 2017, 87, 246–291,  DOI:10.1016/j.pmatsci.2017.02.003 .
  5. Q. Guo, S. J. Kim, M. Kar, W. N. Shafarman, R. W. Birkmire, E. A. Stach, R. Agrawal and H. W. Hillhouse, Development of CuInSe2 nanocrystal and nanoring inks for low-cost solar cells, Nano Lett., 2008, 8, 2982–2987,  DOI:10.1021/NL802042G .
  6. Y. Zhou, L. Wang, S. Chen, S. Qin, X. Liu, J. Chen, D. J. Xue, M. Luo, Y. Cao, Y. Cheng, E. H. Sargent and J. Tang, Thin-film Sb2Se3 photovoltaics with oriented one-dimensional ribbons and benign grain boundaries, Nat. Photonics, 2015, 9, 409–415,  DOI:10.1038/nphoton.2015.78 .
  7. I. Dharmadasa and A. Alam, How to achieve efficiencies beyond 22.1% for CdTe-Based thin-film solar cells, Energies, 2022, 15, 9510,  DOI:10.3390/en15249510 .
  8. K. F. Tai, R. Kamada, T. Yagioka, A. Handa, S. Adachi, T. Kato and H. Sugimoto, From 20.9% to 22.3% CIGS solar cell: reduced recombination rate at the interface and depletion region due to k-treatment, 26th International Photovoltaic Science and Engineering Conference at Singapore, ( 2016) 1–3 Search PubMed.
  9. L. Stolt, J. Hedström, J. Kessler, M. Ruckh, K. O. Velthaus and H. W. Schock, ZnO/CdS/CuInSe2 thin-film solar cells with improved performance, Appl. Phys. Lett., 1998, 62, 597,  DOI:10.1063/1.108867 .
  10. U. U. Rehman, K. U. Sahar, K. Mahmood, E. Hussain and C.-M. Wang, Exploring the potential of non-toxic chalcogenide based perovskite solar cells: performance analysis and insights, Inorg. Chem. Commun., 2025, 174, 113923,  DOI:10.1016/j.inoche.2025.113923 .
  11. U. U. Rehman, R. S. Almufarij, E. A. Shokralla, K. U. Sahar, A. R. Abd-Elwahed, I. Ragab, M. A. Fahmy, S. H. Alrefaee, A. Ashfaq and C.-M. Wang, Numerical design and optimization of Sb2S3/SnS2 heterojunction solar cells: performance analysis and insights, Mater. Sci. Eng. B, 2025, 312, 117873,  DOI:10.1016/j.mseb.2024.117873 .
  12. V. Vijay, S. Harish, J. Archana and M. Navaneethan, Cation disorder and bond anharmonicity synergistically boosts the thermoelectric performance of p-type AgSbSe2, CrystEngComm, 2021, 23, 5522–5530,  10.1039/D1CE00599E .
  13. K. T. Wojciechowski, J. Tobola, M. Schmidt and R. Zybala, Structural and thermoelectric properties of AgSbSe2 and AgSbTe2, 11th Int. Conf. Exhib. Eur. Ceram. Soc.2009. 1 ( 2007) Search PubMed.
  14. J. G. Garza, S. Shaji, A. C. Rodriguez, T. K. Das Roy and B. Krishnan, AgSbSe2 and AgSb(S,Se)2 thin films for photovoltaic applications, Appl. Surf. Sci., 2011, 257, 10834–10838,  DOI:10.1016/j.apsusc.2011.07.115 .
  15. Y. Liu, D. Cadavid, M. Ibáñez, J. De Roo, S. Ortega, O. Dobrozhan, M. Kovalenko and A. Cabot, Colloidal AgSbSe2 nanocrystals: surface analysis, electronic doping and processing into thermoelectric nanomaterials, J. Mater. Chem. C, 2016, 4, 4756–4762,  10.1039/c6tc00893c .
  16. M. Zou, Q. Liu, C. F. Wu, T. R. Wei, Q. Tan, J. F. Li and F. Chen, Comparing the role of annealing on the transport properties of polymorphous AgBiSe2 and monophase AgSbSe2, RSC Adv., 2018, 8, 7055–7061,  10.1039/c7ra12819c .
  17. K. Bindu, J. Campos, M. T. S. Nair, A. Snchez and P. K. Nair, Semiconducting AgSbSe2 thin film and its application in a photovoltaic structure, Semicond. Sci. Technol., 2005, 20, 496–504,  DOI:10.1088/0268-1242/20/6/004 .
  18. K. Persson, Materials Data on AgSbSe2 (SG:141) by Materials Project, 2016 DOI:10.17188/1206643.
  19. S. N. Guin and K. Biswas, Sb deficiencies control hole transport and boost the thermoelectric performance of p-type AgSbSe2, J. Mater. Chem. C, 2015, 3, 10415–10421,  10.1039/C5TC01429H .
  20. S. Guin, A. Chatterjee, D. Negi, R. Datta and K. Biswas, High thermoelectric performance in tellurium free p-type AgSbSe2, Energy Environ. Sci., 2013, 6, 2603,  10.1039/c3ee41935e .
  21. A. Mavlonov, T. Razykov, F. Raziq, J. Gan, J. Chantana, Y. Kawano, T. Nishimura, H. Wei, A. Zakutayev, T. Minemoto, X. Zu, S. Li and L. Qiao, A review of Sb2Se3 photovoltaic absorber materials and thin-film solar cells, Sol. Energy, 2020, 201, 227–246,  DOI:10.1016/j.solener.2020.03.009 .
  22. V. R. Minnam Reddy, M. R. Pallavolu, P. R. Guddeti, S. Gedi, K. K. Yarragudi Bathal Reddy, B. Pejjai, W. K. Kim, T. R. R. Kotte and C. Park, Review on Cu2SnS3, Cu3SnS4, and Cu4SnS4 thin films and their photovoltaic performance, J. Ind. Eng. Chem., 2019, 76, 39–74,  DOI:10.1016/j.jiec.2019.03.035 .
  23. H. Jang, M. Y. Toriyama, S. Abbey, B. Frimpong, J. P. Male, G. J. Snyder, Y. S. Jung and M. Oh, Suppressing charged cation antisites via Se vapor annealing enables p-Type dopability in AgBiSe2 –SnSe thermoelectrics, Adv. Mater., 2022, 34, 2204132,  DOI:10.1002/adma.202204132 .
  24. K. Bindu, M. T. S. Nair, T. K. Das Roy and P. K. Nair, Chemically deposited photovoltaic structure using antimony sulfide and silver antimony selenide absorber films, Electrochem. Solid-State Lett., 2006, 9, 195–199,  DOI:10.1149/1.2186428 .
  25. P. Boon-on, P.-H. Chen and M.-W. Lee, AgSbSe2 nanoparticles: A solar absorber material with an optimal Shockley-Queisser band gap, Mater. Lett., 2022, 309, 131412,  DOI:10.1016/j.matlet.2021.131412 .
  26. Y. Zhao, C. Li and L. Shen, Recent research process on perovskite photodetectors: a review for photodetector—materials, physics, and applications, Chin. Phys. B., 2018, 27, 127806,  DOI:10.1088/1674-1056/27/12/127806 .
  27. Y. El-Batawy, F. M. Mohammedy and M. J. Deen, in 13 - Resonant cavity enhanced photodetectors: Theory, design and modeling, ed. B. B. T.-P. Nabet, Woodhead Publishing, 2016, pp. 415–470 DOI:10.1016/B978-1-78242-445-1.00013-0 .
  28. J. Li and M. Östling, in Photodetectors based on emerging materials, ed M. Rudan, R. Brunetti, S. Reggiani, Springer Handbook of Semiconductor Devices. Springer Handbooks. Springer, Cham, 2023, 777–805 DOI:10.1007/978-3-030-79827-7_21 .
  29. J. Wang, H. Fang, X. Wang, X. Chen, W. Lu and W. Hu, Recent progress on localized field enhanced two-dimensional material photodetectors from ultraviolet—visible to infrared, Small, 2017, 13, 1700894,  DOI:10.1002/smll.201700894 .
  30. M. A. H. Pappu, M. I. R. Ebon and J. Hossain, Design and simulation of BeSiP2-based high-performance solar cell and photosensor, Sol. Energy, 2024, 279, 112837,  DOI:10.1016/j.solener.2024.112837 .
  31. Y. Liu, D. Cadavid, M. Ibáñez, J. De Roo, S. Ortega, O. Dobrozhan, M. V. Kovalenko and A. Cabot, Colloidal AgSbSe2 nanocrystals: surface analysis, electronic doping and processing into thermoelectric nanomaterials, J. Mater. Chem. C, 2016, 4, 4756–4762,  10.1039/C6TC00893C .
  32. S. Chen, X. Qiao, F. Wang, Q. Luo, X. Zhang, X. Wan, Y. Xu and X. Fan, Facile synthesis of hybrid nanorods with the Sb2Se3/AgSbSe2 heterojunction structure for high performance photodetectors, Nanoscale, 2016, 8, 2277–2283,  10.1039/C5NR06384A .
  33. A. Kuruvilla, M. Francis and M. Lakshmi, Preparation of Single Phase of AgSbSe2 from Sb2Se3/Se/Ag Stack, Arab. J. Sci. Eng., 2023, 48, 8115–8126,  DOI:10.1007/s13369-022-07488-9 .
  34. M. C. Islam, B. K. Mondal, M. A. H. Pappu and J. Hossain, Numerical evaluation and optimization of high sensitivity Cu2CdSnSe4 photodetector, Heliyon, 2024, 10, e36821,  DOI:10.1016/j.heliyon.2024.e36821 .
  35. J. Hossain, B. K. Mondal and S. K. Mostaque, Design of a highly efficient FeS2-based dual-heterojunction thin film solar cell, Int. J. Green Energy, 2022, 19, 1531–1542,  DOI:10.1080/15435075.2021.2011291 .
  36. J. Hossain, Design and simulation of double-heterojunction solar cells based on Si and GaAs wafers, J. Phys. Commun., 2021, 5, 085008,  DOI:10.1088/2399-6528/ac1bc0 .
  37. M. J. Hossain, T. Jahan, J. Hossain and M. Hossain, Numerical simulation of all-inorganic two-terminal AlSb/Al0.15Ga0.85Sb tandem solar cell with high-open circuit voltage (>1.90 V) and >40% conversion efficiency, Sol. Energy Mater. Sol. Cells, 2023, 263, 112595,  DOI:10.1016/j.solmat.2023.112595 .
  38. P. R. Guddeti, P. M. B. Devi and K. T. R. Reddy, Optical and electrical investigations on Cu2SnS3 layers prepared by two-stage process, Chin. J. Phys., 2020, 67, 458–472,  DOI:10.1016/j.cjph.2020.08.003 .
  39. L. M. M. Livingston, A. G. S. Raj, R. T. Prabu and A. Kumar, Computational analysis of FeS2 material for solar cell application, Opt. Quantum Electron., 2023, 55, 244,  DOI:10.1007/s11082-022-04531-9 .
  40. A. Ennaoui, S. Fiechter, C. Pettenkofer, N. Alonso-Vante, K. Büker, M. Bronold, C. Höpfner and H. Tributsch, Iron disulfide for solar energy conversion, Sol. Energy Mater. Sol. Cells, 1993, 29, 289–370,  DOI:10.1016/0927-0248(93)90095-K .
  41. M. J. Nayeen, B. K. Mondal, S. R. Basu and J. Hossain, Theoretical exploration of high VOC in Cu2SnS3 thin film solar cells towards high efficiency, Sol. Energy, 2023, 265, 112076,  DOI:10.1016/j.solener.2023.112076 .
  42. I. Y. Kim, J. Y. Lee, U. V. Ghorpade, M. P. Suryawanshi, D. S. Lee and J. H. Kim, Influence of annealing temperature on the properties and solar cell performance of Cu2SnS3 (CTS) thin film prepared using sputtering method, J. Alloys Compd., 2016, 688, 12–17,  DOI:10.1016/j.jallcom.2016.06.264 .
  43. B. K. Mondal, Performance evaluation of CuSbX2 (X = S, Se)-based 2T tandem solar cells towards high efficiency, Opt. Mater. Express, 2025, 15, 2198–2215,  DOI:10.1364/OME.573214 .
  44. M. A. H. Pappu, S. N. Shiddique, B. K. Mondal, M. I. R. Ebon, T. Ahmed and J. Hossain, Numerical simulation on an efficient n-CdS/p-ZnSnN2/p+-Cu2SnS3/p++- CuGaSe2 thin film solar cell, Mater. Today Commun., 2024, 38, 108474,  DOI:10.1016/j.mtcomm.2024.108474 .
  45. H. Choi, J. Y. Seo, Y. R. Uhm, G. M. Sun and C. S. Kim, Crystalline structure and magnetic properties of pyrite FeS2, AIP Adv., 2021, 11, 2–7,  DOI:10.1063/9.0000110 .
  46. M. Onoda, X. Chen, A. Sato and H. Wada, Crystal structure and twinning of monoclinic Cu2SnS3, Mater. Res. Bull., 2000, 35, 1563–1570,  DOI:10.1016/S0025-5408(00)00347-0 .
  47. C. K. Gan, J. R. Soh and Y. Liu, Large anharmonic effect and thermal expansion anisotropy of metal chalcogenides: the case of antimony sulfide, Phys. Rev. B: Condens. Matter Mater. Phys., 2015, 92, 23–26,  DOI:10.1103/PhysRevB.92.235202 .
  48. M. Burgelman, P. Nollet and S. Degrave, Modelling polycrystalline semiconductor solar cells, Thin Solid Films, 2000, 361, 527–532,  DOI:10.1016/S0040-6090(99)00825-1 .
  49. M. Burgelman, J. Verschraegen, S. Degrave and P. Nollet, Modeling thin-film PV devices, Prog. Photovoltaics Res. Appl., 2004, 12, 143–153,  DOI:10.1002/pip.524 .
  50. U. Ur Rehman, N. Almousa, K. Ul Sahar, A. Ashfaq, K. Mahmood, E. A. Shokralla, M. S. Al-Buriahi, Z. A. Alrowaili, R. Y. Capangpangan and A. C. Alguno, Optimizing the efficiency of lead-free Cs2TiI6-based double halide perovskite solar cells using SCAPS-1D, Energy Technol., 2023, 11, 1–11,  DOI:10.1002/ente.202300459 .
  51. M. Loeza-Poot, R. Mis-Fernández, E. Camacho-Espinosa and J. L. Peña, Physico-chemical analysis of the properties and stability of CdS and CdS:O to be applied in thin-film solar cells, Appl. Surf. Sci., 2024, 662, 160125,  DOI:10.1016/j.apsusc.2024.160125 .
  52. T. Namitha Asokan and B. Pradeep, A study on reactively evaporated chalcogenide thin films for optoelectronic and thermoelectric energy conversion, Diss. Cochin University of Science and Technology ( 2017). https://dyuthi.cusat.ac.in/xmlui/handle/purl/5298 Search PubMed .
  53. J. He, J. Xu, X. Tan, G.-Q. Liu, H. Shao, Z. Liu, H. Jiang and J. Jiang, Synthesis of SnTe/AgSbSe2 nanocomposite as a promising lead-free thermoelectric material, J. Mater., 2016, 2, 165–171,  DOI:10.1016/j.jmat.2016.05.001 .
  54. S. N. Guin, D. S. Negi, R. Datta and K. Biswas, Nanostructuring, carrier engineering and bond anharmonicity synergistically boost the thermoelectric performance of p-type AgSbSe2-ZnSe, J. Mater. Chem. A, 2014, 2, 4324–4331,  10.1039/c3ta14901c .
  55. M. Kaifi and S. Gupta, Simulation of Perovskite based Solar Cell and Photodetector using SCAPS Software, J. Eng. Res. Technol., 2019, 10, 1778–1786 Search PubMed .
  56. S. A. Sayeem, M. A. Siddika, S. R. Basu, B. K. Mondal and J. Hossain, Numerical expedition on the potential of AgBiS2-based thin film solar cells employing different carrier transport layers, ACS Omega, 2024, 9, 35490–35502,  DOI:10.1021/acsomega.4c02375 .
  57. M. H. Tonmoy, S. N. Shiddique, A. T. Abir and J. Hossain, Design and optimization of a high efficiency CdTe–FeSi2 based double-junction two-terminal tandem solar cell, Heliyon, 2024, 10, e27994,  DOI:10.1016/j.heliyon.2024.e27994 .
  58. B. K. Mondal, M. A. Newaz, M. A. Rashid, K. M. Hossain, S. K. Mostaque, M. F. Rahman, M. H. K. Rubel and J. Hossain, Electronic structure of In3-xSe4 electron transport layer for chalcogenide/p-Si heterojunction solar cells, ACS Omega, 2019, 4, 17762–17772,  DOI:10.1021/acsomega.9b02210 .
  59. T. Watahiki, Y. Kobayashi, T. Morioka, S. Nishimura, D. Niinobe, K. Nishimura, H. Tokioka and M. Yamamuka, Analysis of short circuit current loss in rear emitter crystalline Si solar cell, J. Appl. Phys., 2016, 119, 204501,  DOI:10.1063/1.4951003 .
  60. D. Parajuli, D. K. Shah, D. KC, S. Kumar, M. Park and B. Pant, Influence of doping concentration and thickness of regions on the performance of InGaN single junction-based solar cells: a simulation approach, Electrochem, 2022, 3, 407–415,  DOI:10.3390/electrochem3030028 .
  61. M. A. H. Pappu, A. Kuddus, B. K. Mondal, A. T. Abir and J. Hossain, Design of n-CdS/p-CuInTe2/p +-MoS2 thin film solar cell with a power conversion efficiency of 34.32%, Opt. Continuum, 2023, 2, 942,  DOI:10.1364/OPTCON.486044 .
  62. B. K. Mondal, A. T. Abir and J. Hossain, Current remedy in ultrathin crystalline Si solar cell by Cu2SnS3 thin film toward high efficiency, Energy Technol., 2024, 12, 2301329,  DOI:10.1002/ente.202301329 .
  63. S. G. Kumar and K. S. R. K. Rao, Physics and chemistry of CdTe/CdS thin film heterojunction photovoltaic devices: fundamental and critical aspects, Energy Environ. Sci., 2014, 7, 45–102,  10.1039/C3EE41981A .
  64. S. R. Basu, M. I. R. Ebon, B. K. Mondal and J. Hossain, Theoreticalrevelation of Cu3BiS3 -based thin film pv cell exerting various carrier transport layers, Adv. Theory Simulations, 2025, 8, 2401028,  DOI:10.1002/adts.202401028 .
  65. M. Z. Farah Khaleda, B. Vengadaesvaran and N. A. Rahim, in Chapter 18 - Spectral response and quantum efficiency evaluation of solar cells: a review, ed S. J. Dhoble, N. T. Kalyani, B. Vengadaesvaran, A. B. T.-E. M. Kariem Arof, Elsevier, 2021, pp. 525–566 DOI:10.1016/B978-0-12-823710-6.00014-5 .
  66. B. K. Mondal, S. K. Mostaque, M. A. Rashid, A. Kuddus, H. Shirai and J. Hossain, Effect of CdS and In3Se4 BSF layers on the photovoltaic performance of PEDOT:PSS/n-Si solar cells: Simulation based on experimental data, Superlattices Microstruct., 2021, 152, 106853,  DOI:10.1016/j.spmi.2021.106853 .
  67. A. T. Abir, B. K. Mondal and J. Hossain, Exploring the potential of GeTe for the application in Thermophotovoltaic (TPV) cell, Phys. Scr., 2023, 98, 125940,  DOI:10.1088/1402-4896/ad0945 .
  68. J. Hossain, M. M. A. Moon, B. K. Mondal and M. A. Halim, Design guidelines for a highly efficient high-purity germanium (HPGe)-based double-heterojunction solar cell, Opt. Laser Technol., 2021, 143, 107306,  DOI:10.1016/j.optlastec.2021.107306 .
  69. M. Fortes, E. Comesaña, J. A. Rodriguez, P. Otero and A. J. Garcia-Loureiro, Impact of series and shunt resistances in amorphous silicon thin film solar cells, Sol. Energy, 2014, 100, 114–123,  DOI:10.1016/j.solener.2013.11.022 .
  70. S. Upadhyay and D. Singh, Effect of series and shunt resistance on the performance of kesterite solar cells, Int. J. Sci. Res. Mod. Sci. Technol., 2023, 2, 38–45,  DOI:10.59828/ijsrmst.v2i8.134 .
  71. A. D. Dhass, Y. Prakash and K. C. Ramya, Effect of temperature on internal parameters of solar cell, Mater. Today Proc., 2020, 33, 732–735,  DOI:10.1016/j.matpr.2020.06.079 .
  72. Ferdiansjah, Faridah and K. T. Mularso, in Analysis of back surface field (BSF) performance in p-type and n-type monocrystalline silicon wafer, E3S Web Conf., 2018, 43, 0100 DOI:10.1051/e3sconf/20184301006.
  73. S. N. Shiddique, B. K. Mondal and J. Hossain, Modeling of Ag3AuS2-based NIR photodetector with BaSi2 BSF layer for superior detectivity, Opt. Continuum, 2025, 4, 649,  DOI:10.1364/OPTCON.551703 .
  74. M. Islam, M. Pappu, T. Ahmed and J. Hossain, Theoretical sagacity of an efficient Cu2ZnGeSe4-based thin film solar cell and photodetector, Adv. Theory Simulations, 2025, 8, e01272,  DOI:10.1002/adts.202401272 .
  75. M. A.-A. Arif, M. A. H. Pappu, A. T. Abir and J. Hossain, Numerical analysis of ternary chalcopyrite-type ZnGeAs2-based photosensor and solar cell, Opt. Continuum, 2025, 4, 1351–1367,  DOI:10.1364/OPTCON.561175 .
  76. M. S. Mollah, M. A. H. Pappu and J. Hossain, Theoretical design and insight of Fe2GeS4-based optoelectronic devices, Next Res., 2025, 2, 100575,  DOI:10.1016/j.nexres.2025.100575 .
  77. M. S. Gohor, M. I. R. Ebon and J. Hossain, A Comprehensive Study on CdGeP2-based photonic device for dual applications in solar cell and photodetector, Adv. Mater. Sci. Eng., 2025, 2025, 9385403,  DOI:10.1155/amse/9385403 .
  78. S. N. Shiddique, A. T. Abir, S. S. Nushin, B. K. Mondal and J. Hossain, Numerical probing into the role of experimentally developed ZnTe window layer in high-performance Ag3AuSe2 photodetector, Results Mater., 2025, 25, 100651,  DOI:10.1016/j.rinma.2024.100651 .

This journal is © The Royal Society of Chemistry 2026
Click here to see how this site uses Cookies. View our privacy policy here.