Efficient synthesis of a protic organic ionic plastic crystal as an ionic conductive matrix for energy storage
Abstract
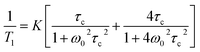
We present a novel, scalable, and acid-free synthesis route for protic organic ionic plastic crystals (POIPCs). Among the various compounds tested, 2,3,4,6,7,8,9,10-octahydropyrimido[1,2-a]azepin-1-iumbis(fluorosulfonyl)-imide (DBUHFSI) demonstrated the best performance, achieving a yield of 84% and a purity of 99.8%. The synthesis leverages a silane-derived promoting agent to stabilize hydrogen bonding between the cation and anion, as confirmed by differential scanning calorimetry (DSC), nuclear magnetic resonance (NMR), and density functional theory calculations. These results shed light on the critical influence of purity on the melting point and phase behavior of POIPCs, which directly impacts their suitability for energy storage applications. NMR analyses confirmed strong cation–anion interactions and minimal proton hopping, while DSC, electrochemical impedance spectroscopy, X-ray diffraction and force-field computations revealed several structural regimes correlating with changes in ionic mobility. To explore its potential for integration into energy storage devices, DBUHFSI was tested as a conductive matrix with Li6PS5Cl, a high-performance sulfide-based solid electrolyte, and a polymer binder. The resulting film demonstrated ionic conductivity up to 0.4 mS cm−1 at 30 °C, while enabling roll-to-roll processability and maintaining structural integrity. These results confirm DBUHFSI's role as an ionically conductive matrix, making it a material of choice to consider for scalable solid-state battery manufacturing.
- This article is part of the themed collection: Journal of Materials Chemistry A HOT Papers

Please wait while we load your content...