Soap film drainage using a centrifugal thin film balance

Antoine Monier *a, Kévin Gutierrez a, Cyrille Claudet a, Franck Celestini a, Christophe Brouzet a and Christophe Raufaste ab
aUniversité Côte d'Azur, CNRS, INPHYNI, Nice, France. E-mail: antoine.monier95@gmail.com
bInstitut Universitaire de France (IUF), Paris, France

Received 11th November 2025 , Accepted 10th February 2026

First published on 11th February 2026


Abstract

Surface bubbles are an abundant source of aerosols, with important implications for climate processes. In this context, we investigate the stability and thinning dynamics of soap films under effective gravity fields. Experiments are performed using a centrifugal thin-film balance capable of generating accelerations from 0.2 up to 100 times standard gravity, combined with thin-film interferometry to obtain time-resolved thickness maps. Across all experimental conditions, the drainage dynamics are shown to be governed by capillary suction and marginal regeneration—a mechanism in which thick regions of the film are continuously replaced by thin film elements (TFEs) formed at the meniscus. We consistently recover a thickness ratio of 0.8–0.9 between the TFEs and the adjacent film, in agreement with previous observations under standard gravity. The measured thinning rates also follow the predicted scaling laws. We identified that effective gravity has three distinct effects: (i) it induces a strong stretching of the initial film, extending well beyond the linear–elastic regime; (ii) it controls the meniscus size and thereby the amplitude of the capillary suction and the drainage rate; and (iii) it reveals an inertia-to-viscous transition in the motion of TFEs within the film. These results are supported by theoretical modeling and highlight the robustness of marginal regeneration and capillary-driven drainage under extreme gravity conditions.


1 Introduction

Surface bubbles are an abundant source of aerosols, whether above a glass of champagne1 or at the ocean surface.2 In the marine environment, the bursting of these bubbles is a primary mechanism for the generation of sea spray aerosols,3–7 which play a critical role in atmospheric processes by influencing cloud formation, radiative balance, and the air–sea exchange of climate-relevant gases—making them key players in Earth's climate system. The stability of surface bubbles is influenced by impurities or surfactants, which enable the thin liquid film to resist perturbations through Marangoni stresses. Nevertheless, the film gradually drains over time due to capillary suction, driven by a pressure difference between the film and the meniscus in contact with the liquid reservoir.8–14 This drainage results in a net flux from the film to the meniscus, causing progressive thinning and ultimately leading to film rupture as the structure becomes increasingly fragile.

The same drainage process occurs in flat soap films.15 In this case, the film is planar and connects a rigid frame or a liquid reservoir, terminating at a meniscus with curvature radius rm. This curvature induces a pressure deficit of γ/rm in the meniscus relative to the flat film, where γ is the surface tension. Such behavior is well documented in horizontal films, for instance, in thin-film balances or equivalent geometries.16–23 As in the case of surface bubbles, drainage in flat films is not uniform but is influenced by the instability known as marginal regeneration, a mechanism originally proposed by Mysels et al.24 and more recently extended by Gros et al.25 During this process, the initial film of thickness h feeds into the meniscus, while thinner patches—thin film elements (TFEs) of thickness hTFE < h—are intermittently extracted, resulting in a net mass loss from the film. Despite the significance of this process, only a few studies have quantified the thickness contrast between the bulk film and the extracted elements, even though this parameter is essential for predictive models of film stability and drainage.8,25,26 In vertical films, measurements near the lower horizontal meniscus report a typical ratio hTFE/h ≈ 0.827,28 where these patches of TFEs detach following capillary-driven buoyancy.29–31

The nucleation, growth, and detachment of TFEs are critical in the case of surface bubbles, where they invade the entire interface and control the overall thinning dynamics.8–10,14 In contrast, in vertical films, TFEs mostly nucleate along the lateral borders, then rise vertically and merge with the film. This leaves the central part of the film relatively smooth and leads to a characteristic thinning behavior, where the rate is inversely proportional to the film width,24,32–35 and thickness profiles follow universal self-similar forms.35,36 In horizontal films, TFEs are also observed, although they remain localized near the meniscus.18,19,21,23,25,37,38 According to existing models, the linear flux of liquid exchanged from the film to the meniscus scales as follows:8,26,39

 
image file: d5sm01129a-t1.tif(1)
with η being the liquid viscosity and k a dimensionless factor. While gravity does not appear explicitly in this expression, it influences the meniscus radius rm by setting the curvature difference in surface bubbles8 or determining the meniscus size in planar films.26

In this study, we systematically vary the effective gravity and solution viscosity to probe the stability and thinning dynamics of soap films across low and high gravity conditions. Our objective is twofold. First, we test whether the thickness ratio hTFE/h remains constant or depends on the effective gravity. Second, we examine the validity of eqn (1) under varying effective gravity, assessing whether marginal regeneration remains the dominant thinning mechanism and whether effective gravity acts only indirectly by setting the meniscus radius rm. More broadly, this work provides insight into how other body forces—such as magnetic40–43 and electric fields44–47—may similarly influence drainage dynamics by controlling the meniscus size and hence the overall liquid exchange between the film and the meniscus.

To this end, we developed a centrifugal thin film balance, which allows a soap film to spin about its axis of symmetry. It thereby offers a surface-bubble-like geometry without the complexity of curved interfaces or asymmetric borders typical of vertical films.

As in surface bubbles, the effective gravity is not spatially homogeneous. In surface bubbles, the relevant body force corresponds to the projection of the gravitational acceleration onto the film surface: its magnitude vanishes along the axis of symmetry and reaches a maximum at the contact between the film and the meniscus. A similar situation occurs in our setup, where the centrifugal acceleration acts as a body force that increases with the distance from the axis of rotation. Importantly, its magnitude at the film–meniscus contact can be tuned over more than two orders of magnitude.

2 Methods

2.1 Surfactant solutions

The experiments were conducted using soap films formed from surfactant solutions. These solutions consisted of water–glycerol mixtures containing sodium dodecyl sulfate (SDS) at a concentration of 5.6 g L−1 (2.4 cmc). The water-to-glycerol ratio was systematically varied to tune the bulk viscosity η over the range of 1 to 10 mPa s. Within this composition range, the surface tension remained nearly constant at 35 mN m−1.48 The liquid density was ρ ≳ 1000 kg m−3, with the exact value depending on the water-to-glycerol ratio. Solutions were used within the day of formulation.

2.2 Centrifugal thin film balance

The apparatus is depicted in Fig. 1(a). Soap films are formed on a horizontal circular frame with an internal radius of R = 30 mm by dipping it into the surfactant solution and withdrawing it over approximately one second, at a velocity of about V ≈ 100 mm s−1. The frame is housed within a closed circular chamber, 90 mm in diameter and 40 mm in height, whose lower face is transparent. The transparent lower plate serves three purposes: (i) it enables optical access for imaging; (ii) it seals the chamber to maintain a humid environment, thereby suppressing evaporation which reduces the soap film lifetime;49–51 and (iii) it entrains the surrounding air in solid-body rotation with the film, ensuring that both the film and the air rotate at angular speed ω. Removing the plate disrupts the film velocity and acceleration conditions. There is about 30 s between film formation and the onset of rotation.
image file: d5sm01129a-f1.tif
Fig. 1 (a) Schematic of the experimental setup. (b) Time sequence showing the evolution of a film initially exhibiting two distinct regions (regime 1). Thin film elements (TFEs) progressively invade the film—first up to the boundary at radius rb (dashed white line) and eventually to the center once rb = 0. Note that the central region remains unchanged in thickness but is gradually eroded over time until it vanishes at rb = 0. The final panel shows the formation and opening of a common black film. The inward migration of TFEs is indicated by wavy magenta arrows. (c) Magnified view of the white dashed rectangular area in (b), highlighting the nucleation of TFEs along the edge and their inward migration. ℓTFE denotes the TFE diameter.

At time t = 0, the entire system is set into rotation around the vertical axis passing through the center of the film, with an angular speed ω ranging from 8 to 170 rad s−1 (motor range). A transient of approximately 1 s is required for the system to reach rigid-body rotation. This rotation induces a centrifugal acceleration 2, where r is the radial distance from the rotation axis, effectively mimicking a body force whose magnitude increases from the film center to the edge. The resulting acceleration at the film edge can be adjusted between 2 and 840 m s−2, corresponding to approximately 0.2–85 times standard gravity, defining the effective gravity as [g with combining tilde] = 2/g.

2.3 Film imaging and thickness measurements

The film is illuminated by a pulsed green laser operating at 532 nm (Litron NANO-L-125-15 PIV, 125 mJ per pulse, pulse width 8 ns). The laser is triggered by an optical fork that sends a signal once per rotation, synchronizing the emission of a pulse with each turn. This stroboscopic setup ensures that images are captured at the same angular position on each rotation, effectively freezing any orthoradial motion of the soap film. Images are recorded using a color Nova S12 camera. Both the laser and the camera are positioned at an angle of 70° relative to the rotation axis and aligned such that the first reflection from the transparent plate is excluded from the camera's field of view. Only rays that interfere within the film are collected, resulting in high-contrast interference images, as illustrated in Fig. 1. Once in rotation, the film exhibits concentric black and green interference fringes. At the periphery, the fringes appear rough and irregular due to the presence of TFEs generated along the meniscus. As shown below, these TFEs progressively invade the film, increasingly disturbing the interference pattern. Each fringe corresponds to an isothickness contour, with the thickness difference between a green and a black fringe of 140 nm. To determine the absolute thickness profile, a reference is required; this is taken as the last visible green fringe before the formation of the common black film at the center of the film.15,52 At a given time, the film is thinner at its center, with the thickness gradually increasing toward the periphery.

3 Results and discussion

3.1 Typical dynamics

Upon initiating rotation, the soap film exhibits two distinct drainage regimes following the transient stage lasting approximately one second.

Regime 1 occurs at low effective gravity. It is characterized by the separation of the film into two distinct regions (Fig. 1(b)): a central zone exhibiting smooth, concentric interference fringes and a peripheral zone where the fringes are partially blurred by the presence of TFEs (Fig. 1(c)). These TFEs nucleate at the edge (r = R), migrate inward, and eventually merge with the film at a radius r = rb, which defines the boundary between the two regions. As seen in the raw images (Fig. 1(b)) and in the space–time diagram constructed along a radius (Fig. 2(a) and (b)), rb decreases over time, indicating that the peripheral zone progressively invades the central region until the latter disappears completely at a characteristic time t*. However, the fringe dynamics differ between the two zones. In the central region, fringe positions remain nearly stationary over time (visible as ultimately horizontal traces in the space–time diagram), indicating a steady thickness profile. In contrast, in the peripheral zone, the interference fringes are advected outward (corresponding to nearly vertical traces), signaling the progressive thinning of the TFE-containing region, and are partially blurred. Since the peripheral zone eventually invades the central zone, this mechanism also results in the global thinning of the soap film. An experiment in regime 1 is shown in Movie S1 in the SI.


image file: d5sm01129a-f2.tif
Fig. 2 Two drainage regimes. Regime 1: (a) typical image and (b) space–time diagram constructed along a radius. Isothickness fringes are tracked using color-coded markers that correspond to the film thickness. The dashed line indicates rb(t), separating the central smooth region (0 < r < rb) from the peripheral zone containing TFEs (rb < r < R). After a characteristic time t*, the central region vanishes and TFEs invade the entire film. Regime 2: (c) typical image and (d) space–time diagram showing a single region fully populated by TFEs. (e) Regime diagram as a function of [g with combining tilde] and η. image file: d5sm01129a-u1.tif symbols correspond to regime 1, ▲ to regime 2, and image file: d5sm01129a-u2.tif to undetermined cases.

Regime 2 occurs at high effective gravity, with a threshold that shows little dependence on liquid viscosity—typically above 3–5 times standard gravity (Fig. 2(e)). In this regime, the film no longer exhibits a smooth central zone and is entirely populated with TFEs (Fig. 2(c)), which still nucleate at the edge but migrate toward the film center. Concurrently, as seen in the space–time diagram (Fig. 2(d)), the isothickness fringes move outward, indicating global film thinning. We further observed that in films without glycerol, the effective gravity can be increased up to nearly 100 times standard gravity. However, in glycerol-containing films—where viscosity is higher—the stability decreases markedly above about 5 times standard gravity. Although such films can still be formed, they rupture before reaching the common black film, preventing reliable thickness measurements. An experiment in regime 2 is shown in Movie S2 of the SI.

In the following, we denote by h(r,t) the film thickness profile at time t. Several characteristic thicknesses are defined: hR(t) = h(r = R,t) corresponds to the film thickness at the frame edge, and h0(t) = h(r = 0,t) to that at the film center. We also define hb(t) as the thickness at the boundary where TFEs merge with the film. Specifically, in regime 1, hb = h(r = rb,t) for t < t*, while hb = h0 for t > t*. In regime 2, hb = h0 at all times.

3.2 Initial thickness profiles in regime 1

In Fig. 3, we present the thickness profiles of the central zone in regime 1. As noted above, these profiles remain essentially unchanged over time, except that the extent of the central zone gradually decreases. We therefore focus on the initial profile, obtained as soon as reliable thickness measurements become available, corresponding to the end of the transient stage.
image file: d5sm01129a-f3.tif
Fig. 3 (a) Initial thickness profiles for various rotation speeds at constant viscosity. Inset: Corresponding interface elasticity (r) inferred from the same dataset. (b) Initial thickness profiles for various viscosities at constant rotation speed. Inset: corresponding interface elasticity (r) inferred from the same dataset.

To investigate the effect of rotation speed, we focus on experiments conducted at the lowest viscosity, for which the dataset is the most extensive. As shown in Fig. 3(a), the film thickness increases with the radial distance, although not in a strictly regular manner. In all cases, the profile displays an initially convex increase near the center, followed by a concave variation in the middle and finally a weak concave rise close to the edge. In the convex region near the center, the thickness increases more sharply with higher rotation speeds, indicating that the central part of the film becomes thicker as the rotation rate increases. Conversely, near the periphery, the opposite trend is observed: higher rotation speeds correspond to lower film thicknesses.

When varying the liquid viscosity at a fixed rotation speed, we observe qualitatively similar thickness profiles, although the convex region near the center disappears at the highest viscosities (Fig. 3(b)). Aside from this difference, no systematic dependence on viscosity is detected: the profiles are not perfectly superimposed, but the observed variations between experiments do not appear to correlate with viscosity.

We tested several models to understand the initial thickness profiles of the central zone.

Assuming incompressible interfaces,39 the internal flow in this geometry reduces to a Poiseuille flow, and the centrifugal force leads to a film of uniform thickness thinning as53

 
image file: d5sm01129a-t2.tif(2)
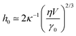
with an initial value hi at time ti. If we take ti = 0 and hi = h0, the film thickness prior to centrifugation, we can estimate the thinning of the central zone during the transient stage associated with the internal flow. The thickness h0 is estimated using Frankel's law,54image file: d5sm01129a-t3.tif, with κ−1 ≈ 2 mm being the capillary length and V ≈ 100 mm s−1 the characteristic withdrawal speed to form the film. This yields h0 ≈ 80 µm for the lowest viscosity and 400 µm for the highest. The central region is observed only for ω ≲ 40 rad s−1, regardless of viscosity. Taking this value as an upper bound in eqn (2) and using t = 1 s led to a predicted thickness reduction of 25–40%, depending on viscosity, by the end of the transient. These values are overestimates, since eqn (2) assumes steady rotation, whereas the system does not reach its maximum rotation speed during the transient stage. At most, we therefore expect h0 to decrease to about 60 µm, which is still more than an order of magnitude larger than the few-micron thicknesses observed experimentally in the central zone. This indicates that internal flow may contribute weakly during the transient, but is not the dominant thinning mechanism at this stage.

As a consequence, film stretching due to interfacial elasticity appears to be the most plausible mechanism to describe the thickness profiles in the central region.39 The observed profiles are therefore compared with a theoretical model based on the following assumptions. Since these profiles are not yet populated with TFEs, we assume that they result from the stretching of an initially uniform film formed prior to centrifugation. Following the approach of Pasquet et al.55 for vertical films under standard gravity, we assume that the film has an initial uniform thickness h0 and surface tension γ0 before rotation begins. Once the film is set into rotation, it is stretched by centrifugal forces, which are balanced by surface tension gradients,30,56 leading to

 
image file: d5sm01129a-t4.tif(3)

Because the initial surfactant concentration is above the critical micelle concentration (cmc), the film elasticity is assumed to be primarily associated with the presence of surface-active impurities.39 As the film stretches and thins, the local interfacial concentration of these impurities decreases. The surface tension can be approximated by image file: d5sm01129a-t5.tif, where E denotes the interfacial elasticity and ε = (h0h)/h the interface extension.55,57 Combining these relationships yields the following differential equation for the thickness h(r):

 
image file: d5sm01129a-t6.tif(4)
and the following expression for the thickness profile:
 
h(r) = h(r = 0)e(r/r0)2,(5)
where h(r = 0) is the film thickness at the center and image file: d5sm01129a-t7.tif is the characteristic length scale governing the radial thickness variation.

Eqn (5) predicts a sharp increase in thickness due to the combined exponential and quadratic dependencies. This prediction does not capture the experimentally observed irregular increase of h(r) with r (Fig. 3). Even though the theoretical approach assumes a constant interfacial elasticity, we can use eqn (4) to infer an apparent local elasticity, image file: d5sm01129a-t8.tif.

In the inset of Fig. 3(a), (r) is shown as a function of rotation speed for the solution without glycerol. In all cases, varies significantly across the radius—by up to three orders of magnitude—and the larger the rotation speed, the larger the variation. At the inner radius, values start around 10−5–10−4 N m−1 and increase to 3 × 10−3–3 × 10−2 N m−1, eventually reaching a plateau at the highest rotation speeds. These values can be compared to 10−3 N m−1, the typical value reported by Poryles et al.57 for the same surfactant solution and concentration (2.4 times above the cmc), associated with the presence of dodecanol molecules acting as insoluble surface-active species at the interface. While this value lies near the middle of the range observed at a given rotation speed, our data cannot be fully explained by this description of interfacial elasticity. One possible explanation is the very large interface extension observed in our experiments, estimated as (h0h(r = 0))/h(r = 0), with values around 80—well beyond unity—leading to strongly nonlinear behavior and combined effects of both dodecanol and SDS molecules on the surface tension, even above the cmc, due to exchanges between the bulk and the interfaces.57 As discussed previously, interface stretching may also couple with internal flow at the highest rotation speeds. A similar trend is observed when varying the viscosity at constant rotation speed (inset of Fig. 3(b)). These observations call for an improved description of film elasticity to account for interface stretching and film thinning during the transient stage.

This analysis also highlights the significant thinning that occurs during the transient stage, until the body force reaches its steady-state value, during which the film thickness decreases from 80–400 µm to a few microns within typically 1 s. In what follows, we focus on the thinning dynamics after this transient stage, dominated by the dynamics of the TFEs.

3.3 Thickness measurements

In Fig. 4(a), we present typical time evolutions of full thickness profiles h(r,t) in regime 1, illustrating the coexistence of the two regions until the outer region fully invades the center.
image file: d5sm01129a-f4.tif
Fig. 4 Thickness measurements for the experiment shown in Fig. 1. (a) Profiles at different times (colors). Squares denote values measured in the peripheral region (dashed lines are guides to the eye), while crosses indicate the mean thickness profile of the central zone, with horizontal bars representing the standard deviation of the position. The symbols corresponding to hR, h0, and hb are defined in the panel. (b) Temporal evolution of hR(t), h0(t), and hb(t) on a log–log scale. Data are shown for every other interference fringe for clarity. The time t* marks the full erosion of the central zone, defined by hb(t*) = h0(t*). The same symbols as in (a). (c) hb(t) as a function of hR(t), with open and closed symbols corresponding to times before and after t*, respectively. The dashed line shows a proportionality of 0.87.

As observed in the space–time diagram of Fig. 2(b), the positions of the isothickness fringes in the central zone remain nearly stationary over time, indicating a steady thickness profile. This behavior is reflected by the crosses in Fig. 4(a), which represent time-averaged values, with error bars corresponding to the temporal standard deviations. This observation indicates that internal flow described in eqn (2) can be neglected in the central zone. Using typical values ρ = 1000 kg m−3, η = 1 mPa s, ω = 40 rad s−1, and hi = 5 µm, the time required for the film thickness to decrease by a factor of two is of order 36η/(ρω2hi2) ∼ 900 s. This timescale is consistently much longer than the lifetime of the central region, t*, confirming that internal flow is negligible over this duration.

In Fig. 4(b), we plot hR, h0 and hb as functions of time for the same dataset. Since the thickness profile in the central region remains steady, h0 remains constant up to t*, the time at which the central zone disappears. We observe that both hR and hb decrease over time. Moreover, a proportionality relation is verified between these two quantities: as shown in Fig. 4(c), plotting hb against hR reveals a proportionality with a coefficient of approximately 0.87, which holds even at early times.

In Fig. 5(a), we plot these two quantities for the solution with viscosity η = 1 mPa s and for several rotation speeds, thus covering both regimes 1 and 2. The proportionality relationship between hb and hR holds at the lowest rotation speeds, with a proportionality coefficient of 0.87 ± 0.01, obtained from a best fit over all corresponding data. At higher rotation speeds, a deviation from this proportionality appears at early times, when the film is relatively thick. We verified that these behaviors are consistent across all tested viscosities. We define hc as the critical thickness below which the proportionality is recovered, and we find that hc decreases with increasing rotation speed. In Fig. 5(b), we present an occurrence diagram distinguishing experiments that exhibit early-time deviations from proportionality. A comparison with the regime diagram in Fig. 2(c) reveals a strong correlation: full proportionality is observed primarily in regime 1, while partial proportionality systematically occurs in regime 2, as well as in a few high-viscosity cases at the highest rotation speeds within regime 1.


image file: d5sm01129a-f5.tif
Fig. 5 (a) hb as a function of hR for various times and rotation speeds, showing an initial deviation from proportionality at the highest rotation speeds. The dashed line indicates a proportional relationship with a coefficient of 0.87. (b) Deviation diagram as a function of [g with combining tilde] and η. image file: d5sm01129a-u3.tif symbols correspond to cases with no deviation from proportionality, ▲ to cases with deviation, and image file: d5sm01129a-u4.tif to undetermined cases.

These observations lead to two key remarks:

First, when proportionality is observed, the coefficient of 0.87 is consistent with the value reported by Nierstrasz and Frens27 for vertical films under standard gravity. This supports the interpretation that TFEs nucleate along the frame edge, detach, and migrate radially inward under effective buoyancy, ultimately settling where the film thickness matches that of the TFEs (see the nucleation along the frame edge in Fig. 1(c), as well as the inward migration indicated by the arrows in panels (b) and (c) of the same figure). This scenario assumes that the TFE migration time is short compared to the overall thinning time, which is always the case in our observations. Our findings validate this mechanism even under centrifugal acceleration up to almost 100 times standard gravity. The gravity independence of the 0.87 ratio reinforces the scenario proposed by Gros et al.,25 which attributes the selection mechanism to capillary suction and Marangoni stresses, rather than gravitational forces.

Second, measurements of the critical thickness hc indicate a weak dependence on liquid viscosity, but a clear decrease with increasing rotation speed (see Fig. 6(a)). We propose that this behavior results from an inertia-to-viscous transition in the motion of the TFEs. Specifically, assuming that the proportionality between the TFE thickness and hR still holds, inertia prevents TFEs from stopping precisely where their thickness matches that of the surrounding film. As a result, hb no longer corresponds to the local TFE thickness, explaining the observed deviation from proportionality. Considering a TFE patch of diameter ℓTFE and thickness hTFE (see Fig. 1(c)), Newton's second law applied along the radial direction gives

 
image file: d5sm01129a-t9.tif(6)
which is the equation of an oscillator around the position where h = hTFE as expressed in the third term. The first term corresponds to the inertial force, with a patch mass of ρhTFEπℓTFE2/4 and added mass factor α. The second term is a damping force with contributions from surface viscosity ηs, bulk viscosity η, and air friction (with viscosity ηair), such that the total two-dimensional viscosity is η2D = 2ηs + ηh + kairηairTFE, where kair is a geometric prefactor.58 When damping dominates, TFEs directly reach their equilibrium position and hTFE = hb. This is consistent with observations in regime 1 and regime 2 when hR < hc. In contrast, during the early stages of regime 2 (when hR > hc), inertia dominates, and TFEs overshoot their equilibrium and reach the film center.


image file: d5sm01129a-f6.tif
Fig. 6 (a) hR(t = 0), hc (when a deviation is observed), and hR(t = tf) as functions of ω, where tf denotes the final measurement time. Data from all experiments are shown. (b) ℓTFE as a function of ω, showing that this quantity remains approximately constant. Measurements are taken when hR = hc, while TFEs are located at the film center. Data include all experiments in which a deviation from proportionality is observed. In both panels, opacity encodes the viscosity: higher opacity corresponds to higher viscosity, and conversely.

At the transition, we expect all terms in eqn (6) to be of comparable magnitude. Taking a perturbation of amplitude a and time scale τ, the three terms scale as ρhcTFE2a/τ2, η2Da/τ, and ρhcTFE22, respectively. Equating these scales gives τ ∼ 1/ω and

 
image file: d5sm01129a-t10.tif(7)

The diameter of TFE ℓTFE has been measured in all experiments, both at the boundary between the two regions in regime 1 and at the film center in regime 2 (when hR reaches hc). Fig. 6(b) shows that ℓTFE appears to be independent of ω and weakly dependent on η only. In eqn (7), we therefore consider ℓTFE as a constant, approximately equal to 2 mm. A detailed space–time analysis of ℓTFE is beyond the scope of the present study.

Eqn (7) therefore shows that hc should scale as 1/ω, in good agreement with our measurements (Fig. 6(a)). Furthermore, this framework explains the absence of deviations from proportionality at the lowest rotation speeds. Indeed, comparing the trend obtained for hc with the initial edge thickness hR(t = 0) at the onset of measurements, we note that hR(t = 0) decreases with increasing ω for all viscosities, but more weakly than the ω−1 dependence of hc (Fig. 6(a)). As a consequence, deviations from proportionality occur only when hR(t = 0) > hc, which does not happen at the lowest rotation speeds.

Quantitatively, within η2D, the surface viscosity ηs is typically smaller than 10−8 Pa s m,58,59 the bulk viscosity contribution ηh is around 10−9 Pa s m, and the air friction term ηairTFE is approximately 10−8 Pa s m. This suggests that air friction is the dominant damping mechanism, consistent with previous observations,58,60 and explains the insensitivity of hc to liquid viscosity. For a typical rotation speed of ω = 100 rad s−1, this model predicts hc ∼ 0.1 µm, in qualitative agreement with our experimental observations (hc ≲ 1 µm, see Fig. 6(a)), supporting the hypothesis of an inertia-to-viscous transition occurring at hc. The discrepancy remains below one order of magnitude, which is satisfactory for a scaling estimate.

3.4 Thinning dynamics

The time evolution of the various film thicknesses shown in Fig. 4(b) allows for comparison across experiments. We assume that the mean film thickness scales with hR, as supported by the observed proportionality relation, except in the central zone, whose area is typically small compared to the TFE-populated region.

As illustrated by the example in Fig. 4(b), internal flow described by eqn (2), in a blue dashed line, is too slow to account for the experimentally observed thinning dynamics, indicating that marginal regeneration is the dominant thinning mechanism in this case. This conclusion remains valid even at the highest effective gravities, as detailed in the Discussion and supported by the analysis that follows.

Assuming thinning driven by marginal regeneration, the expression for the linear flux q, as given in eqn (1)—previously validated under standard gravity8,26,39—suggests a correlation between the rate of thinning dhR/dt and the film thickness hR. Approximating the film volume as πR2hR and the liquid loss rate as 2πRq, we expect the following:8,26,39

 
image file: d5sm01129a-t11.tif(8)

In Fig. 7(a), we plot |dhR/dt| as a function of hR for a fixed rotation speed and various liquid viscosities. For all cases, we observe a power-law dependence with an exponent close to 5/2, and thinning is slower for higher viscosities, as shown in eqn (8). When plotting η|dhR/dt| as a function of hR (see the inset of Fig. 7(a)), all data collapse onto a single curve, confirming the validity of eqn (8).


image file: d5sm01129a-f7.tif
Fig. 7 (a) |dhR/dt| as a function of hR at constant ω and varying η, in opacity. Inset: η|dhR/dt| as a function of hR for the same data. (b) |dhR/dt| as a function of hR at constant η and various ω values, in colors. Inset: |dhR/dt|/ω3/2 as a function of hR for the same data. (c) K as a function of the prediction for all data, with same color-coding as (a) and (b).

In Fig. 7(b), we explore the influence of rotation speed by plotting |dhR/dt| versus hR at fixed viscosity. Each dataset again follows a power law with an exponent close to 5/2. Deviations appear when hR > hc, as shown by the triangles in Fig. 7(b) where the proportionality between hR and hb no longer holds; these data are excluded from the analysis that follows. As expected, higher rotation speeds lead to faster thinning. A power-law fit yields |dhR/dt| ∝ ω1.31±0.33. Although ω does not appear explicitly in eqn (8), it influences the meniscus radius rm, which we assume to scale with the effective capillary length, image file: d5sm01129a-t12.tif. Substituting this relation in eqn (8) gives the thinning law:

 
image file: d5sm01129a-t13.tif(9)
Noting Kω3/2ρ3/4γ1/4/(ηR1/4), the proportionality constant between |dhR/dt| and hR5/2, the predicted dependence Kω3/2 agrees well with the empirical exponent 1.31 ± 0.33. When ω−3/2|dhR/dt| is plotted against hR for the data in Fig. 7(b), all curves collapse onto a single master curve (see the inset), confirming the predicted ω scaling.

Overall, the expression for K is validated over 3 orders of magnitude in Fig. 7(c), where the effects of both viscosity and rotation speed were independently tested. These results confirm thinning driven by marginal regeneration and that eqn (1) remains valid even under high-gravity conditions. By integrating eqn (9) over time, we obtain a formula analogous to eqn (2) for internal flow, but describing thinning driven by marginal regeneration:

 
image file: d5sm01129a-t14.tif(10)
where hi is the initial thickness at time ti. Testing this expression on the data from Fig. 4(b) using the corresponding value of K from Fig. 7(c) shows good agreement. Furthermore, eqn (10) exhibits the asymptotic scaling hRt−2/3, consistent with previous studies under standard gravity.8,14

3.5 Discussion

In this work, we investigated the influence of effective gravity—ranging from 0.2 to 100 times standard gravity—on the thinning dynamics of soap films, while also varying the viscosity of the surfactant solution.

At early stages, in the absence of marginal regeneration, centrifugal acceleration likely induces an initial stretching of the film rather than thinning through internal flow, although existing interfacial elasticity models fail to reproduce the observed profiles. This stretching occurs only in the central region and at low effective gravity, in regime 1, before erosion by marginal regeneration begins. In regime 2, TFEs populate the entire film as soon as imaging begins, suggesting that either the initial erosion of the central zone is too fast to be captured or that the film is sufficiently flat for TFEs to migrate directly toward the center. Interestingly, films remain very stable, particularly in the absence of glycerol. Assuming an average film thickness of a few micrometers, the surface tension difference between the center and the frame edge can be estimated from eqn (3) as Δγ = ρhR2ω2/4 ∼ 7 mN m−1, smaller than but comparable to the surface tension of the surfactant solution. This difference may explain why the system approaches the limit of film stability reported in previous studies.56

The presence or absence of a central zone remains one of the open questions of this study. The transition between regimes 1 and 2 occurs at effective gravities of approximately 3–5 times standard gravity, with only a weak dependence on viscosity. Investigating the transient stage during which the film is brought into solid-body rotation is therefore crucial for understanding the early-stage dynamics and, in particular, the fate of the central zone, as well as how marginal regeneration operates during this period—potentially coupled with interface elasticity and, to a lesser extent, internal flow. Future work could address this issue by controlling the duration of this transient stage—about 1 s in the present study—for instance, by progressively ramping up the rotation speed.

After the transient stage, once the system has reached solid-body rotation, thinning is unambiguously associated with marginal regeneration. Indeed, comparing the thinning rate due to marginal regeneration, given by eqn (9), with that due to internal flow, |dhR/dt| ≈ ρω2hR3/η, obtained from eqn (2), shows that marginal regeneration dominates as long as image file: d5sm01129a-t15.tif. The length scale on the right-hand side corresponds to the effective capillary length that already sets the meniscus radius rm. In our parameter range, it typically exceeds 200 µm and is therefore much larger than the values of hR once the system is in solid-body rotation.

Across all regimes and viscosities, thinning is consistently associated with the nucleation of TFEs in the vicinity of the meniscus. These elements are thinner than the surrounding film, resulting in a net mass loss as they migrate inward. On average, we find a proportionality factor of 0.87 ± 0.01 between the TFE thickness and the local film thickness, independent of the effective gravity, viscosity, or thinning regime. This value is consistent with previous measurements under standard gravity27,28 and slightly higher than the theoretical maximum of approximately 0.7 predicted by current models of marginal regeneration.24,25,39 The dynamics of these thin film elements depend on the effective gravity. In regime 1, at low effective gravity, the film exhibits a strong thickness gradient, and TFEs stop at the boundary where their thickness equals the local film thickness. The central region is progressively eroded, producing a gradual reduction of the thickness gradient with a factor of 0.87 from the film center to the edge. In regime 2, where TFEs populate the film from the start, the same proportionality factor of 0.87 is observed directly between the center and the boundary. In both regimes, these observations are modulated by inertial effects when hR is initially sufficiently thick.

Although effective gravity modifies the overall thinning patterns—leading to two distinct regimes and an inertia-to-viscous transition—it does not alter the fundamental expression for the linear liquid flux exchanged between the film and the meniscus. However, gravity affects the meniscus size and consequently the magnitude of the flux. Increasing rotation speed or effective gravity reduces the meniscus radius, thereby enhancing the flux and accelerating film drainage. The scaling follows an exponent of 3/2 with rotation speed (or equivalently 3/4 with effective gravity), consistent with theoretical predictions. Geometric effects associated with the frame shape may alter this scaling exponent.26 A crossover could occur if the meniscus radius rm becomes comparable to the film thickness h—a situation expected only at very high rotation speeds (ω ≈ 3600 rad s−1 or [g with combining tilde] ≈ 200), well beyond the current experimental stability limits.

Future work should focus on a quantitative characterization of the TFE detachment from the meniscus, TFE diameter ℓTFE in the film and the detailed, intermittent dynamics of their motion. Such insights would further clarify the mechanisms governing film erosion and the transition between the observed drainage regimes under extreme effective gravity.

Author contributions

A. M., C. B., C. R. and F. C. conceived the study. A. M., C. C. and F. C. designed the experiments. A. M. and K. G. performed the experiments and analysed the data. A. M., C. B. and C. R. developed the models and wrote the manuscript. C. R. supervised the project and acquired funding.

Conflicts of interest

There are no conflicts to declare.

Data availability

Data for this article, including all figures, are available at Zenodo at https://doi.org/10.5281/zenodo.17583548.

Supplementary information (SI) is available. It contains two movies showing experiments in Regime 1 and 2 with their descriptions. See DOI: https://doi.org/10.1039/d5sm01129a.

Acknowledgements

This work was supported by the National Research Agency (ANR-20-CE30-0019). The authors are grateful to Isabelle Cantat and Emmanuelle Rio and Alexandre Vigna-Brummer for fruitful discussions.

References

  1. T. Séon and G. Liger-Belair, Eur. Phys. J.-Spec. Top., 2017, 226, 117–156 CrossRef.
  2. L. Deike, Annu. Rev. Fluid Mech., 2022, 54, 191–224 CrossRef.
  3. A. H. Woodcock, C. F. Kientzler, A. B. Arons and D. C. Blanchard, Nature, 1953, 172, 1144–1145 CrossRef.
  4. F. MacIntyre, J. Geophys. Res., 1972, 77, 5211–5228 CrossRef CAS.
  5. J. Wu, Science, 1981, 212, 324–326 CrossRef CAS PubMed.
  6. I. Leifer, G. de Leeuw and L. H. Cohen, Geophys. Res. Lett., 2000, 27, 4077–4080 CrossRef.
  7. J. C. Bird, R. de Ruiter, L. Courbin and H. A. Stone, Nature, 2010, 465, 759–762 CrossRef CAS PubMed.
  8. H. Lhuissier and E. Villermaux, J. Fluid Mech., 2012, 696, 5–44 CrossRef CAS.
  9. J. M. Frostad, D. Tammaro, L. Santollani, S. B. D. Araujo and G. G. Fuller, Soft Matter, 2016, 12, 9266–9279 RSC.
  10. M. S. Bhamla and G. G. Fuller, Phys. Rev. Fluids, 2016, 1, 050506 CrossRef.
  11. M. S. Bhamla, C. Chai, M. A. Álvarez Valenzuela, J. Tajuelo and G. G. Fuller, PLoS One, 2017, 12, e0175753 CrossRef PubMed.
  12. G. Lin, J. M. Frostad and G. G. Fuller, Phys. Rev. Fluids, 2018, 3, 114001 CrossRef.
  13. B. Liu, R. Manica, X. Zhang, A. Bussonnière, Z. Xu, G. Xie and Q. Liu, Langmuir, 2018, 34, 11667–11675 CrossRef CAS PubMed.
  14. J. Miguet, M. Pasquet, F. Rouyer, Y. Fang and E. Rio, Phys. Rev. Fluids, 2021, 6, L101601 CrossRef.
  15. G. Gochev, D. Platikanov and R. Miller, Adv. Colloid Interface Sci., 2016, 233, 115–125 CrossRef CAS PubMed.
  16. A. Sheludko, Adv. Colloid Interface Sci., 1967, 1, 391–464 CrossRef CAS.
  17. A. A. Sonin, A. Bonfillon and D. Langevin, Phys. Rev. Lett., 1993, 71, 2342–2345 CrossRef CAS PubMed.
  18. J.-L. Joye, G. J. Hirasaki and C. A. Miller, Langmuir, 1994, 10, 3174–3179 CrossRef CAS.
  19. O. D. Velev, G. N. Constantinides, D. G. Avraam, A. C. Payatakes and R. P. Borwankar, J. Colloid Interface Sci., 1995, 175, 68–76 CrossRef CAS.
  20. L. G. Cascão Pereira, C. Johansson, H. W. Blanch and C. J. Radke, Colloids Surf., A, 2001, 186, 103–111 CrossRef.
  21. V. V. Yaminsky, S. Ohnishi, E. A. Vogler and R. G. Horn, Langmuir, 2010, 26, 8075–8080 CrossRef CAS PubMed.
  22. E. Chatzigiannakis, N. Jaensson and J. Vermant, Curr. Opin. Colloid Interface Sci., 2021, 53, 101441 CrossRef CAS.
  23. S. Andrieux, P. Muller, M. Kaushal, N. S. M. Vera, R. Bollache, C. Honorez, A. Cagna and W. Drenckhan, Lab Chip, 2021, 21, 412–420 RSC.
  24. K. J. Mysels, S. Frankel and K. Shinoda, Soap films: studies of their thinning and a bibliography, Pergamon press, 1959 Search PubMed.
  25. A. Gros, A. Bussonnière, S. Nath and I. Cantat, Phys. Rev. Fluids, 2021, 6, 024004 CrossRef.
  26. A. Vigna-Brummer, A. Monier, I. Cantat, C. Brouzet and C. Raufaste, Phys. Rev. Lett., 2025, 135, 094001 CrossRef CAS PubMed.
  27. V. A. Nierstrasz and G. Frens, J. Colloid Interface Sci., 1998, 207, 209–217 CrossRef CAS PubMed.
  28. Z. Yi, S. Tang, P. Li and W. Lv, Phys. Fluids, 2025, 37, 061701 CrossRef CAS.
  29. N. Adami and H. Caps, Phys. Rev. E: Stat., Nonlinear, Soft Matter Phys., 2015, 91, 013007 CrossRef CAS PubMed.
  30. Y. Couder, J. Chomaz and M. Rabaud, Phys. D, 1989, 37, 384–405 CrossRef.
  31. J. Plateau, Statique expérimentale et théorique des liquides soumis aux seules forces moléculaires, Gauthier-Villars, Paris, France, 1873 Search PubMed.
  32. J. Hudales and H. Stein, J. Colloid Interface Sci., 1990, 138, 354–364 CrossRef CAS.
  33. S. Berg, E. A. Adelizzi and S. M. Troian, Langmuir, 2005, 21, 3867–3876 CrossRef CAS PubMed.
  34. J. Seiwert, R. Kervil, S. Nou and I. Cantat, Phys. Rev. Lett., 2017, 118, 048001 CrossRef PubMed.
  35. A. Monier, F.-X. Gauci, C. Claudet, F. Celestini, C. Brouzet and C. Raufaste, Phys. Rev. Fluids, 2024, 9, 124001 CrossRef.
  36. T. Aurégan and L. Deike, J. Fluid Mech., 2025, 1012, A18 CrossRef.
  37. K. Khristov, S. D. Taylor, J. Czarnecki and J. Masliyah, Colloids Surf., A, 2000, 174, 183–196 CrossRef CAS.
  38. C. Trégouët and I. Cantat, Phys. Rev. Fluids, 2021, 6, 114005 CrossRef.
  39. I. Cantat, S. Pertant, C. Raufaste and E. Rio, Annu. Rev. Fluid Mech., 2026, 58, 111–138 CrossRef.
  40. F. Elias, J.-C. Bacri, C. Flament, E. Janiaud, D. Talbot, W. Drenckhan, S. Hutzler and D. Weaire, Colloids Surf., A, 2005, 263, 65–75 CrossRef CAS.
  41. D. E. Moulton and J. A. Pelesko, Phys. Rev. E: Stat., Nonlinear, Soft Matter Phys., 2010, 81, 046320 CrossRef CAS PubMed.
  42. R. Back and J. R. Beckham, Phys. Rev. E: Stat., Nonlinear, Soft Matter Phys., 2012, 86, 046301 CrossRef PubMed.
  43. N. S. Lalli, L. Shen, D. Dini and A. Giusti, Phys. Fluids, 2023, 35, 057116 CrossRef CAS.
  44. R. Tsekov, D. S. Ivanova, R. Slavchov, B. Radoev, E. D. Manev, A. V. Nguyen and S. I. Karakashev, Langmuir, 2010, 26, 4703–4708 CrossRef CAS PubMed.
  45. O. Bonhomme, O. Liot, A.-L. Biance and L. Bocquet, Phys. Rev. Lett., 2013, 110, 054502 CrossRef PubMed.
  46. S. Sett, R. P. Sahu, S. Sinha-Ray and A. L. Yarin, Electrochim. Acta, 2016, 187, 693–703 CrossRef CAS.
  47. A. Hussein Sheik, H. C. H. Bandulasena, V. Starov and A. Trybala, Electrophoresis, 2017, 38, 2554–2560 CrossRef CAS PubMed.
  48. H. Khan, J. M. Seddon, R. V. Law, N. J. Brooks, E. Robles, J. T. Cabral and O. Ces, J. Colloid Interface Sci., 2019, 538, 75–82 CrossRef CAS PubMed.
  49. L. Champougny, J. Miguet, R. Henaff, F. Restagno, F. Boulogne and E. Rio, Langmuir, 2018, 34, 3221–3227 CrossRef CAS PubMed.
  50. J. Miguet, F. Rouyer and E. Rio, Molecules, 2021, 26, 1317 CrossRef CAS PubMed.
  51. F. Boulogne, F. Restagno and E. Rio, Phys. Rev. Lett., 2022, 129, 268001 CrossRef CAS PubMed.
  52. V. Ziapkoff, F. Boulogne, A. Salonen and E. Rio, Eur. Phys. J. E: Soft Matter Biol. Phys., 2026, 49, 4 CrossRef CAS PubMed.
  53. A. G. Emslie, F. T. Bonner and L. G. Peck, J. Appl. Phys., 1958, 29, 858–862 CrossRef CAS.
  54. L. Champougny, B. Scheid, F. Restagno, J. Vermant and E. Rio, Soft Matter, 2015, 11, 2758–2770 RSC.
  55. M. Pasquet, F. Restagno, I. Cantat and E. Rio, Phys. Rev. Fluids, 2023, 8, 034001 CrossRef.
  56. P.-G. de Gennes, Langmuir, 2001, 17, 2416–2419 CrossRef CAS.
  57. R. Poryles, T. Lenavetier, E. Schaub, A. Bussonnière, A. Saint-Jalmes and I. Cantat, Soft Matter, 2022, 18, 2046–2053 RSC.
  58. Y. Louyer, B. Dollet, I. Cantat and A. Gauthier, J. Fluid Mech., 2025, 1007, R8 CrossRef CAS.
  59. Z. A. Zell, A. Nowbahar, V. Mansard, L. G. Leal, S. S. Deshmukh, J. M. Mecca, C. J. Tucker and T. M. Squires, Proc. Natl. Acad. Sci. U. S. A., 2014, 111, 3677–3682 CrossRef CAS PubMed.
  60. T. Lenavetier, G. Audéoud, M. Berry, A. Gauthier, R. Poryles, C. Trégouët and I. Cantat, Phys. Rev. Lett., 2024, 132, 054001 CrossRef CAS PubMed.

This journal is © The Royal Society of Chemistry 2026
Click here to see how this site uses Cookies. View our privacy policy here.