DOI:
10.1039/D5SM01084E
(Paper)
Soft Matter, 2026,
22, 1732-1738
On the lifetime of a coffee drop
Received
29th October 2025
, Accepted 2nd January 2026
First published on 5th January 2026
Abstract
As we know, a coffee drop leaves after evaporation a circular stain whose diameter is generally that of the drop. This effect has been studied in depth for about 25 years, but it has been rarely emphasized that the stain dramatically amplifies the contact angle hysteresis. Accordingly, the liquid can remain pinned from the beginning to the end of the evaporation, which explains the size of the stain. Here we discuss a consequence of this strong pinning. It is found to make the kinetics of evaporation faster than that of water, by about 30%, since a very flat drop evaporates quicker than a bulging one. This implies that any system blocking the contact line will accelerate evaporation, which we show by etching the substrate with a groove. We finally question the generality of the effect by considering various examples of evaporating complex liquids.
Introduction
Water drops in a kitchen or in a bathroom are often visible, and we are not surprised by their disappearance after, say, one hour – they just evaporated, a common phenomenon favored by the conjunction of their small volume and large surface area with air. The modesty of this observation starkly contrasts with the sophisticated physics at work during evaporation. It was found that a capillary flow then sets from the center to the periphery of the drop, which sucks liquid toward this region to compensate the loss due to evaporation.1,2 This flow has a famous consequence, namely the formation of a circular stain at the contact line if particles are present inside the liquid – as they are in coffee, which indeed leaves a ring instead of a uniform deposit at the place where the liquid was present.1 More generally, volatile mixtures often generate a complex pattern after they have disappeared, which was described for soapy water,3 blood,4 salt or sugar solutions5–7 and even tequila8 or whiskey.9 Wilson and d’Ambrosio categorized the resulting patterns into several types: single ring, multiple or concentric rings, uniform film, central (or inner) deposit, branched (or spoke-like) structures, demonstrating the rich nature of the deposition process.10
We can wonder whether the formation of patterns influences the kinetics of evaporation, a question we discuss here within the canonical situation of coffee drops. Many answers are possible a priori. Particles being passively transported by the capillary flow,1 we could first think that only this flow matters for understanding the drying time so that the presence of grains does not impact it. However, it could be also argued that particles are often hygroscopic and thus slow down evaporation.11 Conversely, they also contribute to pin the drops and modify their geometry,12 which might rather lead to a shortening of the drop lifetime. It seems thus useful to look at facts, beyond these qualitative arguments.
Methodology
The experiment is simple. We form millimetric drops of water or coffee (radius R) using a calibrated micropipette (VWR pipette) that delivers a volume Ω of 9.0 µL with an uncertainty of ±0.2 µL determined by weighing series of these drops. We deposit them on a centimetric glass plate cleaned with ethanol and we follow their evolution with a video-camera (Basler) that takes one picture per second from above. We also shoot side photos at a rate of typically 24 photos per minute. In order to shorten the evaporation time τ, the substrate can be heated at a temperature T, keeping air around at the room temperature To ≈ 23 °C and with a relative humidity RH ≈ 30%. The Marangoni flows associated with heating were shown to have a small impact on the evaporation rate,13 and our results are indeed consistent when varying T – just the time τ varies, but not the hierarchy between the time measured for different systems. Water is distilled to avoid the presence of contaminants and the coffee solution is made by dissolving a soluble commercial powder in water (Nescafé selection). Thus, we can conveniently vary its concentration c, first chosen at a value c = 4 g L−1. Looking at the deposit after evaporation shows that coffee particles are roughly spherical with a size of 1 to 4 µm.
In Fig. 1a, we compare the evaporation of water and coffee drops having the same initial volume Ω = 9 µL and placed on a horizontal glass brought at T = 50 °C. In each case, the initial profile is drawn with a solid line, and dashes show how drops vanish minute after minute. For water (blue profiles, left figure), we first observe pinning of the contact line, as the contact angle decreases from its advancing to its receding value. Later, the drop shrinks with a given shape until it fully disappears, which happens at a time τ ≈ 8.4 minutes. A coffee drop behaves differently (black profiles, right figure): pinning is much stronger since it takes place nearly until the end of the drying, and evaporation appears to be much faster, with τ ≈ 5.8 minutes. Our aim here is to understand this effect and to discuss its generality.
 |
| | Fig. 1 Evaporation kinetics of water and coffee drops. (a) Drops with initial volume Ω = 9 µL and radius R ≈ 2 mm placed on glass brought at 50 °C and evaporating in air at a temperature To = 23 ± 1 °C and relative humidity RH = 30 ± 5%. Contours are drawn every minute. Unlike water, coffee remains pinned at its contact line and it disappears in τ ≈ 5.8 minutes instead of 8.4 minutes for water. (b) Perimeter 2πR and contact angle θ of the drops as a function of time t. On the one hand, the perimeter plateaus for coffee (black data) and it decreases for water (blue data), where dashes show a function scaling as . On the other hand, θ linearly decreases for coffee and it remains quite constant for water, apart from an initial erosion and a fall in the last minute. | |
These first observations can be completed by the more detailed measurements shown in Fig. 1b. We first plot the drop perimeter 2πR as a function of time t, with blue and black symbols for water and coffee, respectively. In the first case, we successively observe a short plateau and a regular decrease of the perimeter. This variation becomes critical in the vicinity of τ, as emphasized by the dashes that show a function varying as √(τ–t). In the second case, the plateau regime is much longer, since it persists nearly until the time τ, whose approach is characterized by a fall of the perimeter in a few seconds only. In Fig. 1b, we recover these modes when plotting the evolution of the contact angle of the drops – another variable easily extractable from the profiles. The angle for water first decreases from 80° to 65°, that is, from its initial value θo to its receding one θr, and then remains quite constant (slow decrease) during the main part of the drop life, apart from a quick fall close to t = τ. In contrast, the angle of coffee constantly goes down with a roughly linear behavior, without plateauing at θr = 65°. This decrease takes place until the end of evaporation, which implies that the receding angle of coffee is essentially 0 – as if the plate had become fully hydrophilic. The formation of the coffee stain is the cause of this huge amplification of the contact angle hysteresis (by 65°): coffee particles migrate and concentrate to the drop periphery where they build a porous medium wet by water and thus strongly pinning it.12 We are tempted to interpret the faster disappearance of coffee as a consequence of this effect: then, the surface area of the liquid/air interface weakly decreases as the drop vanishes (see Fig. S1 in the SI), which boosts evaporation. Hence, water and coffee disappear at roughly constant angle and constant radius, respectively, the two well-known asymptotic modes of drop evaporation.14
Model
This first argument suggests a simple model for distinguishing the two situations. For describing the dynamics of evaporation, we classically assume that it is diffusion-limited, with a saturated vapor concentration csat at the liquid–air interface and a far-field vapor concentration c∞.14 This approach was first proposed by Picknett and Bexon, who used a solution in toroidal coordinates derived by Lebedev to satisfy the boundary condition at the contact line.14,15 Subsequent developments by Deegan et al.,16 Hu and Larson,17 and Popov18 led to an analytical expression for the evaporative flux Q. It can be written Q ≈ πRDΔcf(θ), where Δc = csat − c∞ is an increasing function of the substrate temperature T, D the molecular diffusivity of vapor molecules in the atmosphere, and f(θ) a non-trivial function of the contact angle θ.18 This function can be expanded at small θ, which yields f(θ) ≈ 4/π + θ/2. Hence, the evaporative flux can be written to the leading order Q ≈ 4RDΔc, a quantity linear in the drop radius and independent of θ, showing that (and how) large radii, such as observed with coffee, enhance evaporation.
Microlitric drops adopt the shape of spherical caps,19 whose volume Ω reduces to πR3θ/4 at small θ. Denoting ρ as the liquid density, the variation of the drop mass can be expressed as 3ρR2θrdR/dt, if the angle remains constant (at its receding value θr), or as ρRo3dθ/dt, if the radius keeps its initial value Ro, as respectively observed for water and coffee. Equating these variations with the flux Q provides us with two kinds of evolution, namely R = (Ro2 − (32DΔc/3πρθr)t)1/2 in the first case and θ = θo − 16DΔct/πρRo2 in the second one. These results can also be obtained by taking the limit at small angle of the more general expression for the evolution of evaporating liquids proposed by Stauber et al. who considered drops with arbitrary contact angles.20
The two kinetics for R(t) and θ(t) are drawn with dots in Fig. 1b where they convincingly fit the data – except at small time for water, where the line is pinned for about 1 minute as the contact angle decreases from its advancing to its receding value. We can deduce from the model the lifetime τ of the drop, obtained for R = 0 in the first case and for θ = 0 in the second one. A unique scaling law is found for τ, namely τ ∼ ρθRo2/DΔc, where θ is either the receding angle θr (at fixed angle) or the initial angle θo (at fixe R). Yet, the numerical coefficients are different, and found to be 3π/32 for water and π/16 for coffee.10,20 Assuming that the two angles θo and θr are quite similar (θo ∼ θr), we find that the lifetime τc a coffee drop will be always smaller than τw, that of a water drop with same initial radius, with τc = 2/3 τw. This factor is close to the one deduced from Fig. 1, τc ≈ 0.69τw, but this result must be confirmed in a firmer way – which we first do by varying the initial volume Ω between 1 and 10 µL (Fig. 2a).
 |
| | Fig. 2 Varying the drops configuration. (a) Evaporation time τ of water (blue data) or coffee drops (c = 4 g L−1, black data) as a function of their volume Ω. The substrate is brought to T = 50 °C, and the temperature and relative humidity of air are To = 22.7 ± 0.5 °C and RH = 32 ± 2%, respectively. The increase of τ with Ω is well captured by a scaling law with power 2/3 (dashes), whatever the nature of the liquid. However, evaporation is always faster with coffee, by a factor τc/τw ≈ 0.73. (b) With the same colour code, successive profiles every 5 minutes for water and coffee drops with R ≈ 2 mm evaporating on glass either smooth (top) or etched with a circular groove with radius 2 mm (bottom). Experiments are performed with T = 24.0 ± 0.5 °C, To = 24 ± 2 °C and RH = 30 ± 1%. The two coffee drops and water with the groove evaporate similarly, much faster than water on smooth glass. (c) Evaporation time τ of coffee and water drops (black and blue data, respectively) deposited on glass with a groove with radius Ro = 2 mm (Ω = 9 µL, T = To = 25.2 ± 0.7 °C, and RH = 41 ± 4%). The two series of data superimpose, and τ rapidly decreases with Ro (the dashed black line shows a behavior in 1/R). (d) Evaporation time τ of droplets (R ≈ 1 mm) placed on a non-volatile film of silicone oil (thickness 40 µm, viscosity 100 mPa s), as a function of the coffee concentration c (T = To = 21.7 ± 0.8 °C, and RH = 43 ± 1%). Silicone oil prevents the pinning of the contact line and thus the formation of a coffee ring. The evaporation time of coffee does not depend anymore on c, and that of water is comparable – even if smaller by 9%, which we interpret as a consequence of the cloaking of water by a very thin film of oil, a phenomenon that does not take place with coffee for c > 0.5 g L−1. | |
As seen in this log–log plot, the evaporation time non-linearly increases with the drop volume, as stressed by the dashes showing a slope 2/3. This agrees with our expectations, where τ varies as Ro2, thus as Ω2/3. In addition, coffee always evaporates faster than water. The ratio of their respective lifetimes can be deduced for the fits in Fig. 2a and found to be τc/τw ≈ 0.73, close to the expected value of 2/3,10,20 which confirms the generality of our first observation in Fig. 1. Absolute values deduced from the formulae can also be commented: considering a drop with radius R = 2 mm, a diffusion coefficient D ≈ 2.5 10−5 m2 s−1, Δc = 10−2 kg m−3 (evaluated by combining the Clausius–Clapeyron relation with the law of ideal gas), and an intermediate value of 1/4 for the numerical coefficient in the law, we calculate τ ≈ 7 minutes, in fair agreement with Fig. 1.
Discussion
A few complements can be added. Firstly, a water drop initially evaporates with a pinned contact line, due to its hysteresis, so that its lifetime can be decomposed in two steps, successively corresponding to fixed radius and fixed contact angle – which slightly shorten the lifetime, compared to a situation without hysteresis. The brevity of this regime (as seen in Fig. 1) justifies why we could neglect it to the first order. Secondly, the contact angle of water decreases significantly near the end of the process, and so does the radius of the coffee drop. In the first case, impurities present at the solid surface concentrate as the volume decreases, so that a “coffee-like regime” eventually takes place; in the second one, a flat coffee drop can dewet, and thus retracts. These processes are short at the scale of evaporation and thus could be ignored in our description. Thirdly, coffee contains surfactants,21 as seen from its foaming when we beat it, which decreases its surface tension and thus favors spreading and evaporation. Using pendant drops (Krüss equipment), we measured the surface tension of our coffee solution at c = 4 g L−1 and found 55 mN m−1 (uncertainty of 1 mN m−1) instead of 72 mN m−1 for pure water. This decrease in surface tension slightly impacts spreading, as seen in Fig. 1 and Fig. S2. Since the time τ is sensitive to the product R2θ, that is, Ω/R, it is weakly affected by a slight lowering of surface tension. Fourthly, our formula τc = 2/3τw must be corrected if the initial angle θo of the coffee drop is different from the receding angle θr of pure water. These angles are close in Fig. 1, in particular because the smaller surface tension of coffee lowers contact angle, compared to water, so as to make its value close to θr. In the case where these two values differ, coffee should evaporate in a time τc = (2θo/3θr)τw, a formula that implies some dispersity in measurements of the ratio τc/τw. Finally, we can extend these findings beyond the approximation of small contact angles by considering evaporation on more repellent materials.22,23 At larger angles, that is, at smaller contact, we expect an increase of the evaporation time, which is indeed observed in Fig. S3 when compared to Fig. 1. Yet, coffee in this limit still evaporates quicker than water, on both hydrophobic and super-hydrophobic substrates. All these observations are specific to drops, since we show in Fig. S4 that water and coffee in centimetric beakers (with flat interfaces) evaporate at a similar rate.
Hence, we interpret the fast evaporation of coffee drops (compared to water) as a consequence of the pinning of the contact line, a phenomenon limited with pure water and dramatically amplified for coffee. This interpretation can be tested by forcing the contact line of water to pin without adding particles in the liquid. To that end, we etch with a diamond glass, to obtain a circular groove with a radius of 2 mm, a depth of 15 µm, and a width of 100 µm (Fig. S5). Then we place a volume Ω = 9 µL inside the disk delimited by the groove, so as to get a drop pinned by the etched circle and forced to have a radius equal to that of the circle: the groove provides flexibility to the contact angle, which can now vary from its initial value down to ∼0°.24,25 As a consequence, all drops then have the same initial radius and angle.
The corresponding results are displayed in Fig. 2b. We first compare the profiles of the drops (reported every 5 minutes) on smooth glass at 24 °C. Since the substrate is cooler than in Fig. 1, the lifetime of the drops rises to 50 minutes for water and 35 minutes for coffee, with the same hierarchy between the two liquids and a ratio of 0.70 for their respective lifetimes, close to that in Fig. 1 and 2a. Then, we look at the influence of the groove. On the one hand, coffee evaporates the same way as on plain glass, without change in the pinning of the line; on the other hand, the groove accelerates a lot the disappearance of water, which now takes place in 35 minutes instead of 50. This time is comparable to that of coffee, showing that the nature of the liquid per se does not really matter in the experiment, but just the fact that it is pinned. From a more applied point of view, this implies that evaporation (say, after a rain) can be accelerated by patterning solid materials with grooves. We can vary their drawing (Fig. S6), or, simpler, their diameter if they are kept circular, and thus control the evaporation time τ. Indeed, injecting the initial volume Ω ≈ πRo3θo/4 in the formula for τ at fixed radius Ro, we get τ ≈ ρΩ/4DΔcRo, a hyperbolic decrease with the groove radius. This dependency can be checked experimentally in the range of radii where drops with Ω = 9 µL remain pinned in the groove (Ro > 2 mm), yet not subject to gravity (Ro < 4 mm). As seen in Fig. 2c, the lifetime of drops is independent of the nature of the liquid and it decreases as 1/Ro (as drawn with dashes), which confirms our scenario and, beyond, offers a way to control how fast drops evaporate.
We can also design an experiment where pinning is suppressed. To that end, we spread on glass a wetting film of non-volatile silicone oil (thickness of 40 µm), on which we deposit drops of water or coffee with Ω = 3 µL. Due to the presence of oil, the spreading of all droplets is similar and pining is indeed blocked, so that the evaporating coffee produces a central, unique stain. More importantly, the evaporation time becomes independent of the coffee concentration, at a value close to that of water, without the ∼30% effect reported elsewhere in the paper (Fig. 2d). We note however a slight difference, since water evaporates 9% slower than coffee, an effect we attribute to its cloaking by an ultra-thin layer of oil26 – a phenomenon not observed with coffee at concentrations above 0.5 g L−1.
Coming back to solid substrates, we now discuss the influence of the concentration c of coffee and present in Fig. 3 how the time τ depends on c on glass heated at 50 °C. In the same graph, we also report the perimeter L of the coffee stain and the surface tension γ of the solution, as a function of c varied between 0 and 15 g L−1.
 |
| | Fig. 3 How the content of coffee impacts the kinetic of evaporation. Evaporation time τ of coffee drops with a volume Ω = 9 µL as a function of the coffee concentration c. Drops are placed on glass heated at T = 50 °C, while the temperature and relative humidity of the atmosphere are To = 21.6 ± 1.6 °C and RH = 32 ± 8%. The three regimes shown by colored lines correlate with the variations of the perimeter L of the stain left after evaporation, measured as a function of c. The surface tension γ of the solution is also plotted, allowing us to interpret the different regimes: (1) pinning is delayed at low c (blue lines), as shown by smaller stains, which increases τ. (2) pinning is efficient at intermediate c (red lines), but surface tension decreases, so that drops slightly spread: hence, L increases and τ decreases. (3) At high c (black lines), all quantities saturate and the evaporation time becomes independent of c. | |
We identify three regimes for τ, all correlated to the variation of the stain perimeter
. At low concentrations (c < 0.1 g L−1), the liquid is nearly water and contact line initially recedes. However, evaporation concentrates coffee in the solution, so that a stain can eventually form and block the contact line. The higher the concentration c, the sooner the formation of the stain, and thus the smaller the lifetime: τ in this regime quickly falls by about 2 minutes, and L increases by 12 millimeters. Surface tension has a negligible role since it hardly vary (by only 2 mN m−1) at such low concentration. The high sensitivity of τ and L in c implies that the drop lifetime or stain size can be used to determine the concentration of “contaminants” initially present in water. At intermediate concentration (0.1 g L−1 < c < 3 g L−1), both τ and L weakly, yet systematically, depend on c. Surface tension then decreases from 70 to 55 mN m−1, a variation that (slightly) spreads coffee, resulting in a (slightly) higher initial radius (see also Fig. S2). Since the stain at such concentrations quickly forms, the contact line remains pinned from the beginning and only the small increase of initial radius due to the spreading contributes to decrease the time τ, from 6.5 to 5.5 minutes (Fig. S2). At high concentration (c > 3 g L−1), the surface tension plateaus (as it does above the critical micellar concentration in a solution of surfactants), and neither τ nor L vary anymore: the initial spreading is fixed and the coffee stain pins the line, so that τ is constant, at a value deduced from its initial radius L/2π. If we consider, instead of coffee, a colloidal solution of nanoparticles of silica, whose surface tension does not depend on their concentration c, we observe in Fig. S7 that the lifetime of drops first decreases with c, before plateauing once c is large enough to build a stain able to pin the drop from the beginning to the end of evaporation.
Complements
We complement these findings by considering various complex solutions or mixtures. Since surface tension has a small yet measurable effect (intermediate regime in Fig. 3), we first consider two solutions with the same surface tension as coffee, but without particles – a water/ethanol mixture and a solution of surfactants. In all cases, drops are placed on smooth glass at a temperature of 50 °C. Water with 5% in mass of ethanol has a surface tension γ of 55 mN m−1
27 equal to that of coffee, and Fig. 4a shows how such a drop evaporates (red contours). Differences with pure water are quite marginal: despite the fact that the drop spreads slightly further and reaches a radius comparable to that of coffee in Fig. 1a, evaporation takes place in 7.5 minutes, that is, slightly faster than for water, due to the conjunction of a larger initial radius with the high volatility of alcohol:28 the drop with a lower content of alcohol29 then recedes at constant angle, so that evaporation belongs to the family of “long times”.
 |
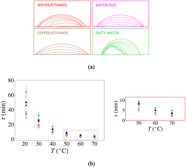
| | Fig. 4 Evaporation of various complex drops. (a) Contours (every minute) of drops deposited on smooth glass heated at 50 °C, with To = 22.8 ± 1.0 °C and RH = 27 ± 9%. (1) Water with 5% of ethanol (red) or (2) SDS solution at 0.7 mM (pink) have the same initial surface tension γ = 55 mN m−1. While γ increases in the first case (evaporation of ethanol), it decreases in the second one (due to the concentration of SDS), which leads to different evolutions and evaporation times τ. (3) Mixture of coffee (c = 4 g L−1) and ethanol (5%) in brown, where flattening and pinning lead to a shorter τ. (4) A salty solution (1 M initially) makes the drop more bulged and the time longer, an effect we attribute to the motion of contact line and to the hygroscopy of salt. (b) With the same color code (including blue for pure water and black for coffee), evaporation time τ of drops (Ω = 9 µL) on smooth glass, as a function of the glass temperature T, with empty symbols for the cases with pinning. τ decreases as T increases, but the hierarchy of the evaporation times between the six liquids is similar whatever T. We enlarge the data at large T for better visualizing them. | |
In order to maintain a low surface tension throughout evaporation, we use sodium dodecyl sulfate (SDS) instead of ethanol, adjusting the concentration to achieve an initial surface tension γ = 55 mN m−1 – corresponding to 0.7 mmol L−1, about 10% of the critical micellar concentration.30 The successive contours during evaporation are reported in pink in Fig. 4a. As evaporation occurs, the capillary flow transports SDS toward the contact line, where it accumulates and precipitates, forming a hydrophilic region that pins the contact line. This system thus mimics a coffee drop from both the geometrical and pinning viewpoints, so that we recover, unsurprisingly, the evaporation time τ ≈ 5.5 minutes observed for coffee.
We consider two final cases. In the first one, we add 5% of alcohol to coffee (think of caffè corretto in Italy or Irish coffee in Ireland). As seen in Fig. 4a (brown contours), the drop is flatter than for coffee alone but it remains pinned, which results in a “quick” evaporation (τ ≈ 4.5 minutes) – in agreement with our previous arguments. Conversely, we can try to maximize the evaporation time by promoting more bulging situations, such as found when adding salt (NaCl) to pure water at a concentration of 1 mol L−1, with a corresponding surface tension γ = 74 mN m−1. As deduced from side views (green contours in Fig. 4a), evaporation is significantly longer (τ ≈ 10.5 minutes), with a receding drop and salt crystallization at high salt concentration that further hinders evaporation.
We showed these variations to illustrate the variability of the evaporation time of drops, depending on their composition, and we let the quantitative interpretation of Fig. 4a for further investigations. We mainly stress here the robustness of the hierarchy of time that stems from Fig. 1a and 4a, and also highlight that all the drops with a contact line pinned (empty symbols) evaporate faster than the others, as shown in Fig. 4b where we vary the substrate temperature T for all solutions considered in this study. As T increases from the 23 °C of the room temperature to 70 °C, τ decreases by a factor 10. This acceleration is due to the rise in vapor pressure at the droplet interface, which increases the pressure gradient between the drop and the surrounding air, thereby enhancing evaporation. However, the hierarchy of times τ among the six liquids remains unchanged across all temperatures. This indicates that the substrate temperature does not significantly affect the previously discussed mechanisms,13 as also confirmed in Fig. S8, where the ring size is shown to be temperature-independent.
Conclusion
Coffee at the scale of drops was found to evaporate about 30% faster than water – a side effect of the famous coffee stain whose presence blocks the line and thus favors a large surface of exchange between the liquid and its vapor. We discussed a minimal model for understanding this effect and its general character: in a first approximation, the ratio between the lifetimes of evaporating coffee and water drops is 2/3 – a formula of disconcerting simplicity whose limits were stressed in the paper. Since pinning of the contact line was found to be at the origin of this phenomenon, we quantified how grooves trigger the same effect – providing a simple way to significantly accelerate the evaporation of volatile droplets.
Conflicts of interest
There are no conflicts to declare.
Data availability
All data needed to evaluate the conclusions in the paper are present in the paper and/or the supplementary information (SI). Supplementary information is available. See DOI: https://doi.org/10.1039/d5sm01084e.
Additional data related to this paper may be requested from the authors.
Acknowledgements
We thank Virgile Thiévenaz and Nathan Vani for their help in the experiments, Irmgard Bischofberger, Ambre Bouillant, Philippe Bourrianne, Auriane Huyghues Despointes and Timothée Mouterde for fruitful discussions, and Jean Colombani and Benjamin Sobac for useful comments.
References
- R. D. Deegan, O. Bakajin, T. F. Dupont, G. Huber, S. R. Nagel and T. A. Witten, Capillary flow as the cause of ring stains from dried liquid drops, Nature, 1997, 389, 827–829 CrossRef CAS
.
- H. Gelderblom, C. Diddens and A. Marin, Evaporation-driven liquid flow in sessile droplets, Soft Matter, 2022, 18, 8535–8553 Search PubMed
.
- V. N. Truskett and K. J. Stebe, Influence of surfactants on an evaporating drop: Fluorescence images and particle deposition patterns, Langmuir, 2003, 19, 8271–8279 CrossRef CAS
.
- D. Brutin, B. Sobac, B. Loquet and J. Sampol, Pattern formation in drying drops of blood, J. Fluid Mech., 2011, 667, 85–95 CrossRef CAS
.
- N. Shahidzadeh, M. F. L. Schut, J. Desarnaud, M. Prat and D. Bonn, Salt stains from evaporating droplets, Sci. Rep., 2015, 5, 10335 Search PubMed
.
- A. Mailleur, C. Pirat, C. Rivière, I. Vodolazskaya and J. Colombani, Experimental and numerical study of the evaporation of a pure water drop on a salt surface, Eur. Phys. J.-Spec. Top., 2024, 233, 1551–1559 CrossRef CAS
.
- S. F. Shimobayashi, M. Tsudome and T. Kurimora, Suppression of the coffee-ring effect by sugar-assisted depinning of contact line, Sci. Rep., 2018, 8, 17769 CrossRef CAS
.
- J. Gonzalez-Gutierrez, R. Perez-Isidoro and J. C. Ruiz-Suarez, A technique based on droplet evaporation to recognize alcoholic drinks, Rev. Sci. Instrum., 2017, 88, 074101 CrossRef
.
- A. Carrithers, M. J. Brown, M. Z. Rashed, S. Islam, O. D. Velev and S. J. Williams, Multiscale self-assembly of distinctive weblike structures from evaporated drops of dilute American whiskeys, ACS Nano, 2020, 14, 5417–5425 CrossRef CAS
.
- S. K. Wilson and H. M. D’Ambrosio, Evaporation of sessile droplets, Annu. Rev. Fluid Mech., 2023, 55, 481–509 CrossRef
.
- M. Rezaei and R. R. Netz, Water evaporation from solute-containing aerosol droplets: effects of internal concentration and diffusivity profiles and onset of crust formation, Phys. Fluids, 2021, 33, 091901 Search PubMed
.
- B. Zhao, C. W. MacMinn, M. L. Szulczewski, J. A. Neufeld, H. E. Huppert and R. Juanes, Interface pinning of immiscible gravity-exchange flows in porous media, Phys. Rev. E, 2013, 87, 023015 Search PubMed
.
- F. Girard, M. Antoni and K. Sefiane, On the effect of Marangoni flow on evaporation rates of heated water drops, Langmuir, 2008, 24, 9207–9210 CrossRef CAS PubMed
.
- R. G. Picknett and R. Bexon, The evaporation of sessile or pendant drops in still air, J. Colloid Interface Sci., 1977, 61, 336–350 CrossRef CAS
.
-
N. N. Lebedev, Special functions and their applications, revised English ed, Prentice-Hall, Englewood Cliffs, NJ, 1965, ch. 7–8 Search PubMed
.
- R. D. Deegan, O. Bakajin, T. F. Dupont, G. Huber, S. R. Nagel and T. A. Witten, Contact-line deposits in an evaporating drop, Phys. Rev. E, 2000, 62, 756–765 Search PubMed
.
- H. Hu and R. G. Larson, Evaporation of a sessile droplet on a substrate, J. Phys. Chem. B, 2002, 106, 1334–1344 CrossRef CAS
.
- Y. O. Popov, Evaporative deposition patterns: Spatial dimensions of the deposit, Phys. Rev. E, 2005, 71, 036313 CrossRef PubMed
.
-
P. G. de Gennes, F. Brochard-Wyart and D. Quéré, Capillarity and wetting phenomena, Springer, New York, 2004 Search PubMed
.
- J. M. Stauber, S. K. Wilson, B. R. Duffy and K. Sefiane, Evaporation of droplets on strongly hydrophobic substrates, Langmuir, 2015, 31, 3653–3660 CrossRef CAS
.
- S. M. Deotale, S. Dutta, J. A. Moses and C. Anandharamakrishnan, Coffee oil as a natural surfactant, Food Chem., 2019, 295, 180–188 CrossRef CAS
.
- H. Gelderblom, Á. G. Marín, H. Nair, A. van Houselt, L. Lefferts, J. H. Snoeijer and D. Lohse, How water droplets evaporate on a superhydrophobic substrate, Phys. Rev. E, 2011, 83, 026306 CrossRef
.
- S. Dash and S. V. Garimella, Droplet evaporation on heated hydrophobic and superhydrophobic surfaces, Phys. Rev. E, 2014, 89, 042402 CrossRef
.
-
J. W. Gibbs, The collected works, Volume I: Thermodynamics, Longmans Green, New York, 1928 Search PubMed
.
- T. Ondarçuhu and A. Piednoir, Pinning of a contact line on nanometric steps during the dewetting of a terraced substrate, Nano Lett., 2005, 5, 1744–1750 Search PubMed
.
- J. D. Smith, R. Dhiman, S. Anand, E. Reza-Garduno, R. E. Cohen, G. H. McKinley and K. K. Varanasi, Droplet mobility on lubricant-impregnated surfaces, Soft Matter, 2013, 9, 1772–1780 RSC
.
- G. Vázquez, E. Alvarez and J. M. Navaza, Surface tension of alcohol + water from 20 to 50 °C, J. Chem. Eng. Data, 1995, 40, 611–614 CrossRef
.
- J. A. Pumphrey, J. I. Brand and W. A. Scheller, Vapour pressure measurements and predictions for alcohol–gasoline blends, Fuel, 2000, 79, 1405–1411 CrossRef CAS
.
- S. Lyu, H. Tan, Y. Wakata, X. Yang, C. K. Law, D. Lohse and C. Sun, On explosive boiling of a multicomponent Leidenfrost drop, Proc. Natl. Acad. Sci. U. S. A., 2021, 118, e2016107118 CrossRef CAS PubMed
.
- S. A. Markarian, L. R. Harutyunyan and R. S. Harutyunyan, The properties of mixtures of sodium dodecylsulfate and diethylsulfoxide in water, J. Solution Chem., 2005, 34, 361–368 Search PubMed
.
|
| This journal is © The Royal Society of Chemistry 2026 |
Click here to see how this site uses Cookies. View our privacy policy here.