Bubble growth in a confined heated polymer: the example of safety glass
Abstract
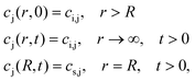
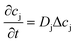
Laminated safety glass (LSG) is a composite assembly of glass and polyvinyl butyral (PVB), a viscoelastic polymer. LSG can be found in building facades and in all major forms of transportation. Yet, the assembly suffers from unwanted bubbles which are anathema to one of the most important features of glass: optical transparency. Here, we present an in-depth study of the reasons behind these bubbles, either during high-temperature quality control tests or normal glass operating conditions. We provide a physical model for bubble growth that deals with two gases, thermal effects on gas solubility and diffusivity, and a time–temperature dependent rheology. The model can be extended to n-component bubbles and various materials. By combining experiments and theory, we show that two gases are at play: air trapped in interfacial bubbles during lamination and water initially dissolved in the polymer bulk. Both gases work in tandem to induce bubble growth in finished assemblies of LSG provided that: (i) the original bubble nucleus is large enough and (ii) the polymer relaxes (softens) sufficiently enough, especially at elevated temperatures. The latter constraints are relaxed in a condition we termed anomalous air oversaturation that may even trigger a catastrophic, yet beautiful instability reminiscent of snowflakes or window frost.

Please wait while we load your content...