A gold(iii)-catalyzed Conia-ene reaction for the direct synthesis of substituted pyrroles from β-ketopropargyl amines
Abstract
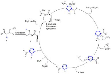
We disclose a gold-catalyzed conversion of unactivated β-ketopropargyl amines to polysubstituted pyrroles under mild, operationally simple conditions. A broad substituent survey reveals clear structure–reactivity trends. With application of the revealed protocol, leveraging the propargyl tolerance, combining AuCI3 with TBACN telescopes the sequence to a bicyclic indolizine ring.

Please wait while we load your content...