High-throughput thickness analysis of 2D materials enabled by intelligent image segmentation
Abstract
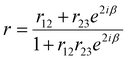
Thickness measurement of two-dimensional (2D) materials is essential due to their thickness-dependent physical and optical properties. However, current thickness characterization techniques, e.g., Atomic Force Microscopy (AFM), suffer from limitations such as slow scanning, tip–sample artifacts, and low throughput. To address this, an Artificial Intelligence-based pipeline was proposed for estimating the thickness of 2D materials from Optical Microscopy (OM) images, offering a significantly faster and more efficient alternative. OM captures colour contrast due to thin-film interference, explained by Fresnel's law. These colour cues, along with morphological features (area and perimeter), were extracted from the regions of interest (ROIs) segmented using Otsu's thresholding. Several regression models, including Random Forest Regressor (RFR) and a shallow Multi-Layer Perceptron (MLP), were trained on augmented paired OM-AFM data. Both models performed well on representative 2D materials, e.g., In2Se3, under threshold-based segmentation, but only the MLP maintained strong accuracy with automated ROI detection using Cellpose, achieving excellent predictive performance (R2 = 0.947, MSE = 34.580 nm2, MAE = 4.696 nm, RMSE = 5.881 nm). Statistical analysis validated the model's generalizability across segmentation methods. Shapley Additive Explanations (SHAP) identified red and green intensities as key predictors, aligning with thin-film interference theory. Overall, this AI-based model provides a non-destructive, efficient alternative to AFM, allowing precise and continuous thickness estimation from small datasets with high robustness and generalizability.
- This article is part of the themed collection: Celebrating the 120th anniversary of the National University of Singapore

Please wait while we load your content...