Open Access Article
This Open Access Article is licensed under a
Creative Commons Attribution 3.0 Unported Licence

Eigenmode steering in spatiotemporal gain–loss acoustic metamaterials

Wai Chun Wong, Gregory J. Chaplain and Jensen Li*
Centre for Metamaterial Research and Innovation, Department of Physics and Astronomy, University of Exeter, UK. E-mail: j.li13@exeter.ac.uk

Received 9th November 2025 , Accepted 5th March 2026

First published on 7th March 2026


Abstract

We present a spatiotemporal gain–loss framework for eigenmode steering in coupled acoustic resonators. A cross-coupled gain–loss coefficient links the gain of one resonator to the intensity of its partner, creating nonlinear feedback that conserves total energy while driving the system toward the eigenmode associated with the eigenvalue having the largest imaginary part—a deterministic eigenmode steering. Spatial gain–loss profiles shape the eigenvalue spectrum and attractor landscape, while temporal modulation governs the transition dynamics. When symmetry prevents direct access to a target eigenmode, controlled spatiotemporal perturbations enable otherwise symmetry-forbidden transitions and accelerate convergence. Within this framework, parity–time ([scr P, script letter P][scr J, script letter J]) symmetry appears as a special case, allowing tunable switching between steering and Rabi-like oscillations near the exceptional point. Full-wave simulations of coupled Helmholtz resonators confirm precise and programmable acoustic energy routing, establishing spatiotemporal gain–loss engineering as a route to reconfigurable wave control and analog information processing.



New concepts

We introduce a materials framework where spatiotemporal gain–loss coupling serves as a design principle for directing modal evolution. In this approach, cross-coupled feedback between resonators establishes a controllable landscape of eigenmodes, within which temporal modulation acts as the driver for transitions. This enables active navigation of modal dynamics, including controlled switching, accelerated convergence, and access to transitions that are normally restricted by symmetry. Unlike traditional non-Hermitian or parity-time ([scr P, script letter P][scr J, script letter J])-symmetric systems that operate under static configurations, the present concept treats time as an intrinsic design dimension for shaping both modal pathways and stability. The resulting framework connects wave dynamics, feedback control, and material programmability, offering a foundation for reconfigurable metamaterials and adaptive information processing.

1 Introduction

Time-varying media are systems whose physical parameters are deliberately modulated in time to control how waves evolve, enabling transitions between different physical states or modes. When the Hamiltonian varies slowly within the adiabatic regime, the system remains in the instantaneous eigenstate of the Hamiltonian,1 allowing stable, well-controlled mode evolution. When the modulation rate increases, however, the evolution departs from the adiabatic path, giving rise to nonadiabatic transitions such as Landau–Zener tunneling2 in two-level systems, where the transition probability depends sensitively on the temporal sweep rate through an avoided crossing. Metamaterials have traditionally relied on static structures, key advances span optical metasurfaces for wavefront control,3–6 bulk optical metamaterials enabling negative refraction and cloaking,7–9 and resonant EM functionalities such as transparency and absorption,10,11 alongside related progress in acoustic,12–14 active/Willis-type,15,16 and elastic platforms.17,18 Building on these developments, temporally modulated systems now recently allow temporal modulations comparable to the wave oscillation period, opening access to new dynamic regimes of wave manipulation. Such systems have revealed rich phenomena including nonreciprocal propagation,19 enhanced nonlinearities,20–22 broadband frequency conversion,23 and temporal analogues of spatial interference such as diffraction in time.24 They also provide new routes for parametric amplification and time-dependent control of energy exchange.25–28

In parallel, non-Hermitian physics—particularly parity–time ([scr P, script letter P][scr J, script letter J]) symmetry—has revealed how spatially balanced gain and loss can reshape modal spectra and direct energy flow. [scr P, script letter P][scr J, script letter J]-symmetric systems have demonstrated selective amplification and mode conversion,29–35 showing that the spatial gain–loss distribution governs competition between modes. However, most realizations remain static in time, limiting their ability to control when and how transitions between eigenmodes occur. Embedding [scr P, script letter P][scr J, script letter J] symmetry into a time-varying framework offers a new degree of freedom: spatial gain–loss contrast defines the stability and rate of amplification, while temporal modulation dictates the trajectory of modal evolution.

Here we introduce a spatiotemporal gain–loss framework that achieves eigenmode steering in coupled acoustic Helmholtz resonators. The total acoustic energy remains conserved through a cross-coupled gainloss coefficient that links the gain of one resonator to the intensity of its partner, producing nonlinear feedback that drives the system toward fixed-point solutions corresponding to the eigenmodes of an effective non-Hermitian Hamiltonian. The eigenmode associated with the eigenvalue having the largest imaginary part naturally emerges as the attractor, realizing a deterministic form of eigenmode steering. By tailoring the spatial distribution of gain and loss, the eigenvalue spectrum and attractor landscape can be engineered, while temporal modulation governs transitions between eigenmodes. We further show that introducing controlled spatiotemporal perturbations enables transitions that would otherwise be symmetry-forbidden, providing an additional lever for accelerating convergence and controlling modal pathways. Through a [scr P, script letter P][scr J, script letter J]-symmetric implementation, we demonstrate controlled switching between mode steering and Rabi-like oscillations, and programmable cyclic energy routing across multiple resonators. This establishes spatiotemporal gain–loss engineering as a general framework for reconfigurable acoustic manipulation, time-varying metamaterials, and analog information processing.

2 Results and discussions

2.1 Dimer model for eigenmode steering

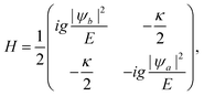
Resonant systems support discrete eigenmodes whose amplitudes evolve under the combined effects of coupling and dissipation. To expose the basic mechanism of eigenmode steering, we begin with the simplest case—a dimer of two coupled resonators—in which the gain–loss distribution is programmed to guide the system toward a target eigenmode. We cast the coupled-resonator dynamics in Hamiltonian form to unify coupling, gain, and loss and to make explicit the state-dependent structure of the dynamics. The Hamiltonian is nonlinear because its gain–loss terms imaginary parts of the diagonal elements in eqn (2), depends on the instantaneous modal intensities. Physically, realizing these intensity-dependent gain/loss rates requires a closed-loop mechanism that both senses the resonator state and actuates gain or damping accordingly. In our acoustic implementation, this is achieved by extracting the complex envelopes ψa,b from measured pressures, and programs the corresponding active-wall gain/loss, as detailed below.

The dynamics are described by the coupled-mode equation

 
image file: d5mh02136g-t1.tif(1)
with the nonlinear Hamiltonian
 
image file: d5mh02136g-t2.tif(2)
where ψa and ψb are the complex envelopes of modes a and b, κ is the coupling coefficient, and g is the cross-coupled gainloss coefficient. This coefficient implements a nonlinear inter-site feedback: the gain (loss) experienced by one resonator depends on the intensity of its coupled partner. For g > 0, mode a experiences gain ∝ |ψb|2, while mode b experiences loss ∝ |ψa|2. Although these terms render the system non-Hermitian, their cross-coupled form ensures that the total energy.
E = |ψa|2 + |ψb|2
remains a constant of motion (see SI for derivation and extension to non-identical resonators). This nonlinearity provides a natural saturation mechanism that prevents unbounded growth or decay, enabling sustainable eigenmode steering. The normalization by E in eqn (2) also guarantees scale invariance.

Such a nonlinear dimer can be implemented acoustically using two coupled Helmholtz resonators operating near a carrier frequency, e.g. chosen as ω/2π ≈ 800 Hz. A uniform rescaling of the Helmholtz resonators (cavity and neck) shifts the resonance (and thus the carrier) frequency, providing a direct way to move the operating band. If the coupling bridge is also scaled accordingly, the coupling and gain rates rescale in the same way, so the mode-steering dynamics remain the same up to an overall change of timescale. Since the pressure fields oscillate predominantly at this frequency, each resonator is represented by a slowly varying complex envelope ψa,b extracted from the analytic pressure signal

ψa,be−iωt = pa,b + i[script letter H][pa,b],
where pa,b are the measured pressures and [script letter H][pa,b] their Hilbert transforms, approximated under the narrowband condition as image file: d5mh02136g-t4.tif. This envelope description connects the data to eqn (1) and justifies removing common diagonal terms in H, since the model now governs slowly varying envelopes rather than rapidly oscillating carriers.

Inter-resonator coupling κ arises from the connecting bridge (hollow tube), where a longer bridge leads to weaker coupling, while the cross-coupled gain–loss action is introduced through time-varying wall conductance Γa,b at the upper cavity boundaries, following Γa,b ∝ ∓g|ψb,a|2 (Fig. 1(a)). Such an active wall boundary is able to generate a non-zero wall velocity from a previously zero value corresponding to a rigid (hard) boundary, i.e., a finite Γ through v = Γp at the cavity wall. Positive and negative Γ correspond to acoustic loss (orange) and gain (green), implemented numerically via impedance boundary conditions or experimentally via feedback loops linking microphones and speakers on the cavity walls.36,37 Two-dimensional finite-element simulations (COMSOL Multiphysics) determine κ = 2π × 163 Hz and g = ±2π × 218 Hz; For clarity, the parameters used here are selected for simulation convenience and faster convergence, and a demonstration of mode steering under more realistic experimental conditions is provided in the SI. Detailed geometric parameters and their design principle are also provided in there.


image file: d5mh02136g-f1.tif
Fig. 1 (a) Schematic of the nonlinear acoustic dimer composed of two coupled Helmholtz resonators, where the cross-coupled gainloss coefficient modulates wall conductance via Γa,b ∝ ∓g|ψb,a|2 and v = Γp at cavity wall. (b), (c) Simulated squared pressures image file: d5mh02136g-t3.tif and total energy E, and (d), (e) squared envelope amplitudes |ψi|2, for (b), (d) g = 2π × 218 Hz and (c), (e) g = −2π × 218 Hz. Positive g concentrates energy in resonator a, while negative g favors resonator b, consistent with the attractor eigenmodes predicted by the effective Hamiltonian. Dashed horizontal lines denote steady-state fixed points. (f), (g) Projection metric Im[〈ψ|Heff|ψ〉] for the simulated field (solid) and the attractor/repulsor eigenvectors of Heff (dashed), confirming convergence to the corresponding eigenmode after the transient.

In principle, mode steering can be realized at higher frequencies higher than audible ones in this work by entire geometry, including the connecting bridge. In practice, however, increased viscous and resonant losses, together with fabrication limits such as surface roughness and tolerance in narrow coupling channels, constrain performance. In this case, we will need these additional losses compensated by additional feedback gain and the mode-steering behavior remains achievable.

Fig. 1(b)–(e) present the simulated squared pressures pa,b2 and corresponding complex evelope amplitudes |ψa,b|2 for g = ±2π × 218 Hz. Within approximately 5 ms after energy injection through the neck of resonator a, the system evolves toward distinct attractor states: for g > 0 energy concentrates in resonator a, whereas for g < 0 it localizes in resonator b. The total energy E = |ψa|2 + |ψb|2, shown in black, remains constant after the transient, confirming that the cross-coupled gain–loss feedback provides a saturation mechanism that sustains stable eigenmode steering without the exponential divergence typical of conventional gain systems.

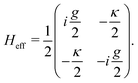
The sustained convergence in Fig. 1 shows that the system evolves toward a unique modal state—eigenmode steering. Interestingly, one may note a conceptual parallel with wavefunction collapse in quantum mechanics, where nonlinear and irreversible dynamics guide a system toward an eigenstate of a measurement operator. Unlike the probabilistic nature of quantum collapse, the present system exhibits deterministic convergence through nonlinear eigenmode steering. We emphasize that this analogy is only meant to highlight a qualitative similarity, as both involve dynamics that can be engineered to select a preferred eigenmode through non-Hermitian mechanisms. On the other hand, the deterministic dynamics does resemble a post-selected trajectory associated with a probabilistic quantum wavefunction collapse. To describe this process, we introduce a linear effective Hamiltonian capturing the dominant modal dynamics:

 
image file: d5mh02136g-t5.tif(3)
The nonlinear Hamiltonian in eqn (2) decomposes as H = HeffiGI2, where G = g(|ψa|2 − |ψb|2)/(4E) is a common nonlinear gain–loss term and I2 is the 2 × 2 identity. Thus Heff fixes the modal structure and eigenvalue spectrum, while GI2 regulates the overall amplitude to conserve total energy. As detailed in SI S4, instantaneous eigenfrequency analysis reveals that nonlinear feedback dynamically suppresses net amplification, leading to a stable steady state.

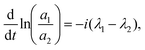
Working in the eigenbasis of Heff, writing (ψa, ψb) = a1ψ1 + a2ψ2 with eigenvalues image file: d5mh02136g-t6.tif, we obtain

 
image file: d5mh02136g-t7.tif(4)
so that a1/a2ei(λ1λ2)t. The magnitude ratio grows or decays exponentially with rate Im[λ1λ2], driving the system toward the eigenmode with the larger imaginary part of eigenvalue (the attractor), while the other acts as a repulsor. For the present parameters, the attractor eigenmodes are ψ+ = {0.91, 0.41i} for g = 2π × 218 Hz and ψ = {0.41i, 0.91} for g = −2π × 218 Hz. After the transient (∼5 ms), the simulated steady-state intensities {|ψa|2, |ψb|2} = {0.83, 0.17} and {0.17, 0.83} (dashed lines in Fig. 1(d and e)) agree with these predictions. The projection metric Im[〈ψ|Heff|ψ〉] in Fig. 1(f and g) further verifies steering onto the attractor branch—the upper band for g > 0 and the lower band for g < 0 —confirming deterministic eigenmode steering.

From a complementary perspective, the nonlinear dynamics can be viewed as arising from the linear non-Hermitian evolution with Hamiltonian in eqn (3) together with a normalization constraint that enforces energy conservation. Detailed derivation is included in SI S5. In this sense, the nonlinear term acts as a designed feedback that preserves the norm, making the effective Hamiltonian description not merely a perturbative approximation but an exact representation of the dynamics even during large excursions and transient evolution. This viewpoint explains why the stability and attractor structure inferred from the eigenvalue spectrum remain valid beyond the small perturbation regime unlike general nonlinear systems.

2.2 Attractor dynamics vs. Rabi-type oscillation

Having established eigenmode steering via spatial gain–loss distribution, we now introduce temporal control by modulating the gain–loss coefficient in time. As shown in Fig. 2(b), g(t) alternates periodically between +g0 and −g0 (with g0 = 2π × 218 Hz), connected by 5 ms linear ramps. This creates a sequence of temporal boundaries that steer the system in real time between the two attractor eigenmodes of Heff. The simulated intensities |ψa,b|2 in Fig. 2(c) capture this evolution: following each reversal of g(t), the system transitions from ψ+ to ψ (or vice versa), completing a full cycle of time-dependent eigenmode steering. When the modulation depth is reduced to g0 = 2π × 91 Hz, the system no longer converges after each switch but instead exhibits sustained Rabi-like oscillations between the two modes. The measured oscillation frequency (∼2π × 71 Hz) agrees well with the beating frequency predicted by the linearized model (image file: d5mh02136g-t8.tif), confirming that the dynamics originate from the [scr P, script letter P][scr J, script letter J]-symmetric phase.
image file: d5mh02136g-f2.tif
Fig. 2 (a) Imaginary parts Im[λ1,2] of Heff showing [scr P, script letter P][scr J, script letter J]-symmetric and [scr P, script letter P][scr J, script letter J]-broken phases separated by the exceptional point |g0| = κ = 2π × 163 Hz. (b) Temporal modulation of g between ±g0 for time-dependent eigenmode steering. (c) Simulated |ψi|2 for g0 = 2π × 218 Hz (solid, broken phase) and g0 = 2π × 91 Hz (dashed, symmetric phase). In the broken phase, the system converges to fixed-point eigenmodes (as in Fig. 1); in the symmetric phase it exhibits sustained oscillations.

This behavior originates from the [scr P, script letter P][scr J, script letter J] symmetry of Heff, which satisfies [scr P, script letter P][scr J, script letter J] Heff = Heff [scr P, script letter P][scr J, script letter J] with

image file: d5mh02136g-t9.tif
The symmetry divides parameter space into two regimes separated by an exceptional point (EP) at |g0| = κ = 2π × 163 Hz. As shown in Fig. 2(a), the eigenvalues are complex conjugates in the [scr P, script letter P][scr J, script letter J]-broken phase (|g0| > κ) and purely real in the [scr P, script letter P][scr J, script letter J]-symmetric phase (|g0| < κ). Eqn (4) shows that the modal amplitude ratio is driven by the eigenvalue separation:
image file: d5mh02136g-t10.tif
When Im[λ1λ2] > 0 (broken phase), |a1/a2| grows exponentially, yielding deterministic steering to the dominant eigenmode. The imaginary gap image file: d5mh02136g-t11.tif sets the characteristic convergence time τc ∼ 1/Im[λ1λ2], providing a universal indicator of modal stability and converging rate. Where this convergence is evaluated as 2.2 ms in Fig. 1 which agrees to the decay time around 5 ms. When Im[λ1λ2] = 0 (symmetric phase), both modes remain balanced, producing sustained Rabi-like oscillations. We note that the temporal modulation period is chosen to be 60 ms to ensure complete mode steering; in principle, it can be reduced toward the characteristic convergence timescale τc ≈ 2.2 ms, provided the steering process remains complete. For example, a lower κ resulting from a longer connecting bridge reduces the steering threshold and decreases the convergence time, leading to faster mode steering and faster temporal modulation as long as the separation remains much smaller than the acoustic wavelength. Additionally, increasing the gain can also accelerate convergence, provided the physical implementation allows sufficiently large gain.

Unlike conventional [scr P, script letter P][scr J, script letter J]-symmetric platforms where total energy diverges or decays, the present cross-coupled, energy-conserving framework yields sustainable, bounded dynamics in both regimes and enables smooth cascading across successive stages of time-dependent eigenmode steering. Moreover, the eigenvalue spectrum of Heff directly identifies attractor and repulsor modes without a separate Jacobian analysis, offering a global, predictive view of stability.

As a side note, realistic implementations of the dimer introduce finite signal-processing latency arising from analytic-signal extraction and possible bandpass filtering. Simulations including these delays show that, although transient overshoot may increase, the qualitative features of mode steering remain unchanged, confirming the robustness of the dynamics (see SI).

Moreover, although the two-mode model predicts dynamical stability, practical implementations may introduce additional instability channels, including excitation of higher-order modes, unintended broadband feedback, feedback jitter (i.e., uncertainty in loop timing), and fluctuations in the feedback gain. These effects can be mitigated through bandpass filtering, which suppresses higher-order modes and unintended broadband feedback, and through digital feedback control, which stabilizes the loop timing and regulates gain fluctuations, thereby ensuring operation within the stability regime consistent with the model.

2.3 Trimer model: cyclic eigenmode steering and energy routing

We now extend from two to three coupled resonators to demonstrate how spatiotemporal control routes energy across multiple targets. This trimer is the minimal network supporting sequential redistribution and symmetry-mediated transitions. Its dynamics obey
 
image file: d5mh02136g-t12.tif(5)
where H contains Hermitian coupling and nonlinear non-Hermitian feedback. For clarity, we consider three identical resonators with identical bridges. We decompose H = H3 + HNL, where
 
image file: d5mh02136g-t13.tif(6)
is the symmetric Hermitian coupling with the common diagonal absorbed into the carrier, consistent with the envelope description. The nonlinear non-Hermitian term, implementing cross-coupled gain–loss feedback, is diagonal:
 
image file: d5mh02136g-t14.tif(7)
where E = |ψa|2 + |ψb|2 + |ψc|2 and gij = gigj are cross-site gain–loss contrasts derived from the site-based cross-coupled gainloss coefficients gi assigned to i ∈ {a, b, c}. Only differences gij carry physical meaning; this construction ensures total energy conservation (see SI).

Following the dimer, we introduce an effective Hamiltonian for modal dynamics:

 
image file: d5mh02136g-t15.tif(8)

The full Hamiltonian takes H = HeffiG3I3, with

image file: d5mh02136g-t16.tif
and I3 the identity. Here, Heff sets the modal structure, while G3 regulates amplitude to conserve energy. As in the dimer, for any two eigenmodes ψi, ψj,
image file: d5mh02136g-t17.tif
so the eigenmode associated with the eigenvalue having the largest imaginary part dominates (given nonzero initial projection). Thus the direction of energy routing and the steady-state distribution are programmed by the spatiotemporal schedule of ga, gb, and gc.

Fig. 3 demonstrates programmable cyclic eigenmode steering and energy routing. As shown in Fig. 3(a), the site coefficients {ga, gb, gc} are modulated in 60-ms intervals to realize the sequence abca. During each interval, one cavity is activated with gain (gi = g0 > 0), while the others remain neutral (gj = gk= 0). The arrows and accompanying formulas in Fig. 3(a) follow directly from the nonlinear feedback term in eqn (7), where the local contribution for each cavity takes the form image file: d5mh02136g-t18.tif with gij = gigj. A positive imaginary value (green arrow) represents gain fed by neighbouring intensities, while a negative value (orange arrow) denotes the corresponding loss channel. For example, when (ga, gb, gc) = (g0, 0, 0), cavity a acquires gain ∝ |ψb|2 + |ψc|2, whereas b and c experience equal losses ∝ |ψa|2. As the active gain site switches sequentially to b and then to c, the dominant eigenmode of Heff shifts accordingly, guiding energy around a closed loop through a time-dependent attractor landscape. The simulated intensities in Fig. 3(b) confirm precise cyclic routing using the same parameters as the dimer (g0 = 2π × 218 Hz, κ = 2π × 163 Hz). For instance, (ga, gb, gc) = (g0, 0, 0) yields the dominating eigenmode ψ1 = {−1.47–2.03i,1,1} (eigenvector of eqn (8) having eigenvalue of the largest imaginary part) with maximal amplitude in cavity a. The observed cyclic switching of modal dominance demonstrates deterministic routing via programmed spatiotemporal gain–loss modulation.


image file: d5mh02136g-f3.tif
Fig. 3 (a) Schematic of energy routing in the nonlinear acoustic trimer of eqn (5). Cyclic spatiotemporal modulation applies a relative gain g0 sequentially for 60 ms: (ga, gb, gc) = (g0, 0, 0) → (0, g0, 0) → (0, 0, g0) → ⋯, steering modal dominance abc → ⋯. (b) Simulated |ψa,b,c|2 showing periodic convergence to distinct fixed points during each step. Representative pressure-field distributions are shown in inset for each interval.

2.4 Overcoming symmetry-forbidden transitions via spatiotemporal perturbation

We now demonstrate assisted eigenmode steering for a transition that is symmetry-forbidden under ideal conditions. We switch the site schedule from a single-cavity preference (ga, gb, gc) = (g0, 0, 0) to a dual-cavity configuration (ga, gb, gc) = (0, g0, g0), aiming to redistribute energy from resonator a into equal amplitudes in resonators b and c (Fig. 4(a)(i, ii)). The target attractor eigenmode of the dual-cavity configuration is image file: d5mh02136g-t22.tif (largest imaginary part of eigenvalue), which suppresses cavity a while establishing equal and opposite phases in b and c.
image file: d5mh02136g-f4.tif
Fig. 4 (a) Spatiotemporal profile for redistributing total energy to cavities b and c. (i) Modulation schemes for ga, (ii) for gb, gc with symmetric modulation (gb = gc). (iii) Simulated |ψa,b,c|2. Energy concentrates in cavity a during the first 60 ms (matching Fig. 3(b)) but fails to redistribute to b and c during 60 < t < 120 ms, unable to reach the target eigenmode image file: d5mh02136g-t19.tif. (b) Successful redistribution using a spatiotemporal perturbation applied as a transient modification image file: d5mh02136g-t20.tif in (i). (ii) Simulated |ψa,b,c|2 show that this perturbation enables the previously symmetry-forbidden transition, with convergence to image file: d5mh02136g-t21.tif at t ≃ 100 ms. Pressure field patterns are sampled and shown for each interval.

Full-wave simulations in Fig. 4(a)(iii) show that this transition does not occur spontaneously. After the gain reconfiguration at t = 60 ms, the system becomes trapped in an intermediate state image file: d5mh02136g-t23.tif instead of collapsing to the antisymmetric target. Energy partially transfers from a (blue) to b and c (orange/green), but cavity a retains significant amplitude. This trapping arises from a parity mismatch: the initial eigenmode ψ1 has b and c in phase, whereas the target image file: d5mh02136g-t24.tif requires them out of phase. Because (0,g0,g0) is parity-symmetric, it cannot couple even- and odd-parity modes; the transition is therefore symmetry-forbidden in the ideal, noiseless system.

To enable and accelerate the transition, we introduce a controlled spatiotemporal perturbation—a transient modification to gb(t) (leaving ga(t) unperturbed), as in Fig. 4(b)(i). This momentarily breaks the bc symmetry at the switching points, lifting the parity constraint and directing convergence to the target eigenmode. Fig. 4(b)(ii) shows rapid convergence to image file: d5mh02136g-t25.tif within t ≈ 100 ms, achieving complete redistribution: resonator a is fully suppressed while b and c are equally amplified with opposite phase. A more rigorous formulation based on a symmetry selection rule is provided in SI S7, where we show that symmetry forbids transitions between attractors unless explicitly broken and derive the corresponding perturbative scaling.

Thus temporal modulation governs not only eigenmode selection but also the transition pathway; small, designed spatiotemporal perturbations can dramatically enhance convergence rates by removing symmetry bottlenecks. In this framework, the spatial profile defines the target eigenmodes, while temporal perturbations program the kinetics of steering toward them.

Finally, we note that the steering dynamics discussed above naturally extend beyond the minimal dimer and trimer settings and can be generalized to larger coupled-cavity networks. A constructive parameter-selection procedure is provided in the SI, where the off-diagonal couplings are treated as free design variables and the diagonal detuning/gain terms are determined accordingly to realize a prescribed eigenmode. More broadly, increasing the cavity number n increases the number of tunable couplings, providing additional degrees of freedom to engineer the eigenvalue separations and thereby tune the characteristic steering time.

3 Conclusion

We have established a spatiotemporal gain–loss framework that enables eigenmode steering in coupled acoustic resonators. The dynamics are governed by a nonlinear Hamiltonian featuring a cross-coupled gainloss coefficient, which enforces total energy conservation while guiding the system toward fixed points corresponding to the eigenvectors of an effective non-Hermitian Hamiltonian. Within this framework, the eigenmode associated with the eigenvalue having the largest imaginary part naturally emerges as the attractor, realizing a deterministic form of eigenmode steering.

Time-dependent modulation of the gain–loss coefficient reveals two distinct regimes divided by the exceptional point: the [scr P, script letter P][scr J, script letter J]-broken phase, exhibiting stable eigenmode convergence, and the [scr P, script letter P][scr J, script letter J]-symmetric phase, characterized by sustained Rabi-like oscillations. Extending the concept to a trimer system demonstrates programmable and cyclic eigenmode steering across multiple resonators. Moreover, introducing controlled spatiotemporal perturbations enables transitions that are otherwise symmetry-forbidden, providing an additional temporal degree of control that accelerates convergence and lifts symmetry constraints.

Validated by full-wave simulations of coupled Helmholtz resonators, this framework unifies nonlinear feedback, [scr P, script letter P][scr J, script letter J] symmetry, and time-varying control into a single platform for sustainable and reconfigurable acoustic manipulation. It opens pathways toward adaptive noise control, programmable metamaterials, and analog information processing, and offers broader insight into how spatiotemporal gain–loss engineering can shape wave dynamics in non-Hermitian and energy-conserving systems.

Conflicts of interest

There are no conflicts to declare.

Data availability

Supplementary information (SI): includes the complete simulation setup and parameters required to reproduce the results. See DOI: https://doi.org/10.1039/d5mh02136g.

The simulation data supporting this study can be obtained from the corresponding author upon reasonable request.

Acknowledgements

The authors acknowledge financial support from the EPSRC via the META4D Programme Grant (No. EP/Y015673/1). The authors also thank Prof. Simon Horsley for insightful and fruitful discussions. For the purpose of open access, the author has applied a Creative Commons Attribution (CC BY) licence to any Author Accepted Manuscript version arising from this submission.

References

  1. M. Born and V. Fock, Z. Med. Phys., 1928, 51, 165–180 CAS.
  2. C. Wittig, J. Phys. Chem. B, 2005, 109, 8428–8430 CrossRef CAS PubMed.
  3. N. Yu, P. Genevet, M. A. Kats, F. Aieta, J.-P. Tetienne, F. Capasso and Z. Gaburro, Science, 2011, 334, 333–337 CrossRef CAS PubMed.
  4. G. Zheng, H. Mühlenbernd, M. Kenney, G. Li, T. Zentgraf and S. Zhang, Nat. Nanotechnol., 2015, 10, 308–312 CrossRef CAS PubMed.
  5. S. Wang, P.-C. Wu, V.-C. Su, Y.-C. Lai, M.-K. Chen, H.-Y. Kuo, B.-H. Chen, Y.-H. Chen, T.-T. Huang, J.-H. Wang, R.-M. Lin, C.-H. Kuan, T. Li, Z. Wang, S. Zhu and D. P. Tsai, Nat. Nanotechnol., 2018, 13, 227–232 CrossRef CAS PubMed.
  6. J. Zhou, S. Liu, H. Qian, Y. Li, H. Luo, S. Wen, Z. Zhou, G. Guo, B. Shi and Z. Liu, Sci. Adv., 2020, 6, eabc4385 CrossRef CAS PubMed.
  7. C. M. Soukoulis, S. Linden and M. Wegener, Science, 2007, 315, 47–49 CrossRef CAS PubMed.
  8. J. B. Pendry, Phys. Rev. Lett., 2000, 85, 3966–3969 CrossRef CAS PubMed.
  9. X. Ni, Z. J. Wong, M. Mrejen, Y. Wang and X. Zhang, Science, 2015, 349, 1310–1314 CrossRef CAS PubMed.
  10. S. Zhang, D. A. Genov, Y. Wang, M. Liu and X. Zhang, Phys. Rev. Lett., 2008, 101, 047401 CrossRef PubMed.
  11. Q. Li, Z. Zhang, L. Qi, Q. Liao, Z. Kang and Y. Zhang, Adv. Sci., 2019, 6, 1801057 CrossRef PubMed.
  12. Y. Li, B. Liang, Z.-M. Gu, X.-Y. Zou and J.-C. Cheng, Sci. Rep., 2013, 3, 2546 CrossRef PubMed.
  13. J. Li and C. T. Chan, Phys. Rev. E:Stat., Nonlinear, Soft Matter Phys., 2004, 70, 055602(R) CrossRef PubMed.
  14. B.-I. Popa, Y. Zhai and H.-S. Kwon, Nat. Commun., 2018, 9, 5299 CrossRef CAS PubMed.
  15. L. Wu, X. Qiu and Y. Guo, Appl. Acoust., 2014, 81, 40–46 CrossRef.
  16. Y. Xie, W. Wang, H. Chen, A. Konneker, B.-I. Popa and S. A. Cummer, Nat. Commun., 2014, 5, 5553 CrossRef CAS PubMed.
  17. M. Yan, J. Lu, F. Li, W. Deng, X. Huang, J. Ma and Z. Liu, Nat. Mater., 2018, 17, 993–998 CrossRef CAS PubMed.
  18. R. Zhu, X. N. Liu, G. K. Hu, C. T. Sun and G. L. Huang, J. Sound Vib., 2014, 333, 2759–2773 CrossRef.
  19. X. Guo, Y. Ding, Y. Duan and X. Ni, Light: Sci. Appl., 2019, 8, 123 CrossRef CAS PubMed.
  20. S. Taravati, Phys. Rev. Appl., 2018, 9, 064012 CrossRef CAS.
  21. N. A. Estep, D. L. Sounas, J. Soric and A. Alù, Nat. Phys., 2014, 10, 923–927 Search PubMed.
  22. R. Tirole, S. Vezzoli, D. Saxena, S. Yang, T. V. Raziman, E. Galiffi, S. A. Maier, J. B. Pendry and R. Sapienza, Nat. Commun., 2024, 15, 7752 Search PubMed.
  23. H. Moussa, G. Xu, S. Yin, E. Galiffi, Y. Ra'di and A. Alù, Nat. Phys., 2023, 19, 863–869 Search PubMed.
  24. R. Tirole, S. Vezzoli, E. Galiffi, I. Robertson, D. Maurice, B. Tilmann, S. A. Maier, J. B. Pendry and R. Sapienza, Nat. Phys., 2023, 19, 999–1004 Search PubMed.
  25. E. Galiffi, P. A. Huidobro and J. B. Pendry, Phys. Rev. Lett., 2019, 123, 206101 CrossRef CAS PubMed.
  26. J. B. Pendry, E. Galiffi and P. A. Huidobro, J. Opt. Soc. Am. B, 2021, 38, 3360–3368 CrossRef.
  27. Q. Yang, H. Hu, X. Li and Y. Luo, Photonics Res., 2023, 11, B125–B134 CrossRef.
  28. T. T. Koutserimpas, A. Alù and R. Fleury, Phys. Rev. A, 2018, 97, 013839 CrossRef CAS.
  29. C. M. Bender and S. Böttcher, Phys. Rev. Lett., 1998, 80, 5243–5246 CrossRef CAS.
  30. R. El-Ganainy, K. G. Makris, M. Khajavikhan, Z. H. Musslimani, S. Rotter and D. N. Christodoulides, Nat. Phys., 2018, 14, 11–19 Search PubMed.
  31. L. Feng, Z. J. Wong, R.-M. Ma, Y. Wang and X. Zhang, Science, 2014, 346, 972–975 CrossRef CAS PubMed.
  32. H. Hodaei, M.-A. Miri, A. U. Hassan, W. E. Hayenga, M. Heinrich, D. N. Christodoulides and M. Khajavikhan, Laser Photonics Rev., 2016, 10, 494–499 CrossRef CAS.
  33. M. H. Teimourpour, M. Khajavikhan, D. N. Christodoulides and R. El-Ganainy, Sci. Rep., 2017, 7, 10756 Search PubMed.
  34. Q. Zhong, S. K. Özdemir, A. Eisfeld, A. Metelmann and R. El-Ganainy, Phys. Rev. Appl., 2020, 13, 014070 Search PubMed.
  35. X. Wen, H. K. Yip, C. Cho, J. Li and N. Park, Phys. Rev. Lett., 2023, 130, 176101 CrossRef CAS PubMed.
  36. C. Shen, X. Zhu, J. Li and S. A. Cummer, Phys. Rev. B, 2019, 100, 054302 Search PubMed.
  37. M. Rupin, G. Lerosey, J. de Rosny and F. Lemoult, New J. Phys., 2019, 21, 093012 Search PubMed.

This journal is © The Royal Society of Chemistry 2026
Click here to see how this site uses Cookies. View our privacy policy here.