Design, synthesis, and biological evaluation of sulfonamide-functionalized pyridine carbothioamides as potent tubulin-targeting anticancer agents
Abstract
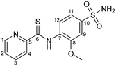
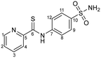
Pyridine carbothioamides (PCAs) are recognized for their gastric mucosal protective effects and low in vivo toxicity, making them attractive scaffolds for anticancer drug development. In this study, a series of N-phenyl 4-substituted and 2,4-disubstituted PCAs (1–8) incorporating a sulfonamide pharmacophore were synthesized, fully characterized, and evaluated as tubulin polymerization inhibitors. The compounds were tested against four cancer cell lines (A549, MCF-7, PC-3, HepG2) with colchicine and doxorubicin as reference drugs. Among them, compounds 3 and 5 exhibited potent cytotoxicity, being 2–6-fold more active than colchicine and up to 2.5-fold stronger than doxorubicin in PC-3 cells. Importantly, both showed ∼4-fold lower toxicity toward normal HLMEC cells and displayed higher selectivity towards tested cancer cells than doxorubicin. Tubulin polymerization assays confirmed their activity, with IC50 values of 1.1 μM (3) and 1.4 μM (5), outperforming colchicine (10.6 μM) and CA-4 (2.96 μM). Molecular docking revealed strong binding at the colchicine site, supported by favorable inhibition constants and free binding energies. In silico ADME predictions indicated that the most lipophilic compounds 3 and 5 demonstrated favorable drug-likeness, as expected from computational studies, along with excellent gastrointestinal absorption, favorable bioavailability, and low hemolytic activity. Collectively, these findings highlight compounds 3 and 5 as promising lead candidates for the development of orally active anticancer and antimitotic agents.

Please wait while we load your content...