2-Oxoindolin-thiazoline hybrids as scaffold-based therapeutics for T2DM-associated cognitive impairment: design, synthesis, in vitro and in silico studies
Abstract
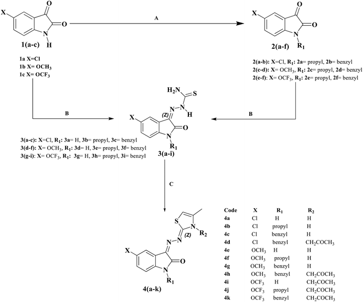
Alzheimer's disease (AD) and type 2 diabetes mellitus (T2DM) are closely linked neurodegenerative and metabolic disorders, sharing overlapping pathological mechanisms. In this study, structure-based drug design combined with molecular hybridization strategies was employed to develop dual-acting compounds targeting both conditions. A series of twenty hybrid molecules, comprising 2-oxoindolin-3-thiosemicarbazones (3a–i) and thiazolines (4a–k) were successfully synthesized and characterized using spectroscopic techniques and elemental analysis. Biological evaluations demonstrated that compounds 3d and 3h exhibit potent inhibitory activity against α-glucosidase (α-Glu) and α-amylase (α-Amy), surpassing the efficacy of acarbose. These findings highlight their promising antidiabetic potential and support further investigation into their therapeutic relevance for AD and T2DM comorbidity (3d (α-glucosidase Ki = 41.41 ± 2.53 nM; α-amylase IC50 = 1.25 ± 0.02 nM), 3h (α-glucosidase Ki = 44.19 ± 2.41 nM; α-amylase IC50 = 2.87 ± 0.16 nM and acrabose (α-glucosidase Ki = 101.20 ± 7.53, α-amylase IC50 9.73 ± 0.20). Furthermore, compounds 3i and 4i exhibited significantly higher inhibitory activity against acetylcholinesterase (AChE) and butyrylcholinesterase (BChE) compared to the reference drug tacrine. Notably, compound 4i demonstrated exceptional multi-enzyme inhibition, with kinetic parameters indicating strong binding affinity: 3i (AChE Ki = 59.71 ± 2.24 nM; BChE Ki = 8.43 ± 0.97 nM), 4i (AChE Ki = 53.31 ± 1.74 nM; BChE Ki = 10.72 ± 2.19 nM), and tacrine (AChE Ki = 132.35 ± 5.90 nM; BChE Ki = 137.42 ± 4.01 nM). Molecular docking and dynamics simulations corroborated these findings by revealing stable and favorable interactions within the active sites of both enzymes. Additionally, in silico ADME profiling indicated desirable pharmacokinetic properties, further supporting the therapeutic potential of these compounds as dual-action agents for the management of Alzheimer's disease and type 2 diabetes mellitus.

Please wait while we load your content...