DOI:
10.1039/D5LC00954E
(Paper)
Lab Chip, 2026,
26, 1930-1942
Systematic characterization and mechanistic insights into ultrasonically actuated sharp-tip capillary droplet generation
Received
10th October 2025
, Accepted 2nd February 2026
First published on 3rd February 2026
Abstract
Ultrasonically actuated sharp-tip capillary droplet generation offers a chip-free approach to produce microdroplets for applications such as micro-/nanoparticle synthesis and biochemical analysis, eliminating the need for complex microfluidic fabrication and bulky pumping systems. This method exploits the synergy between acoustically driven centrifugal pumping and acoustic streaming for on-demand droplet formation. Despite its promise, a thorough understanding of how key parameters influence droplet dynamics has remained elusive, hindering further optimization and broader adoption. Here, we present the first systematic characterization of droplet generation dynamics in an ultrasonically actuated sharp-tip capillary system. We investigate the effects of excitation voltage, amplitude modulation (AM) waveform, capillary tip diameter, and liquid viscosity (both dispersed and continuous phases) on droplet size, monodispersity, and generation stability. A simplified theoretical model is developed to elucidate the three-stage droplet formation mechanism: centrifugal pumping, acoustic streaming-induced neck elongation, and Laplace pressure-driven pinch-off upon vibration cessation. Crucially, leveraging the precise control enabled by AM modulation, we demonstrate the novel programmable generation of multi-volume droplet sequences within a single stream. We further demonstrate the platform's versatility through the synthesis of highly monodisperse calcium alginate (CV ∼3.38%) and poly(ethylene glycol) diacrylate (PEGDA) hydrogel microspheres (CV ∼2.94%). This study offers fundamental mechanistic insights and practical guidelines for optimizing vibrating sharp-tip capillary droplet generators, facilitating their potential use in point-of-care diagnostics, combinatorial screening, and advanced material synthesis.
Introduction
Droplets with volumes ranging from nanoliters to picoliters offer key advantages for advanced biochemical and materials synthesis applications, including massive parallelization, ultra-low reagent consumption, isolated microenvironments, rapid mixing and heat transfer, and single-entity resolution.1 Consequently, they have been widely adopted as microreactors2,3 and platforms for micro-/nanoparticles4,5 and in ultra-high-throughput screening,6,7 digital bioassays,8–10 and single-cell analysis.11,12 These droplets, typically existing as a dispersed phase suspended in a continuous phase, are conventionally referred to as emulsions. Emulsions are typically formed by imparting energy—via oscillation, stirring, shaking, ultrasonication, or homogenization—to mixtures of immiscible fluids.13 In particular, high-intensity ultrasound applied via probe- or horn-type sonication devices is commonly employed in industrial emulsification processes, including food processing,14 cosmetic manufacturing,15 and pharmaceutical production,16 where cavitation-induced droplet breakup efficiently generates fine emulsions. However, conventional bulk ultrasonication generally produces polydisperse droplets with broad size distributions. Such variability can compromise emulsion stability and reduce the reproducibility of subsequent functional performance.
Microfluidic technology has emerged as a powerful alternative for generating highly monodisperse droplets.17 Nevertheless, conventional microfluidic droplet generators usually require sophisticated and expensive cleanroom-based fabrication processes along with specialized equipment, which are not readily accessible in many laboratories. Furthermore, chip-based droplet generation systems typically depend on precise pressure control systems for fluid manipulation, significantly increasing overall cost and complexity, thereby limiting their applicability in point-of-care, field-deployable, or resource-constrained settings.
Furthermore, acoustic actuation has also been widely integrated into droplet microfluidics to enable electrically addressable control over droplet formation. For example, surface acoustic wave (SAW) and bulk acoustic wave (BAW) devices have been demonstrated to trigger and tune droplet production regimes in microchannels by leveraging localized acoustic radiation pressure and/or acoustic streaming effects.18,19 These chip-integrated acoustic approaches provide powerful on-chip control but commonly rely on lithographically patterned transducers, resonant structures, and careful device packaging/alignment, which can increase fabrication and integration complexity.
Several chip-free droplet generation techniques have recently been developed as promising alternatives, including on-demand piezoelectric printing,20,21 centrifugal emulsification,22,23 cross-interface emulsification,24–26 and spinning or beveled capillary-based methods.27–29 While these alternatives simplify instrumentation and reduce cost, they often remain dependent on bulky peripherals such as syringe pumps, centrifuges, or electromagnetic vibrators for fluid actuation, impeding their suitability for truly portable applications.
More recently, He et al. introduced a novel droplet generation technique based on a vibrating sharp-tip capillary.30,31 This method employs a piezoelectric transducer (PZT) to actuate a capillary with a tapered tip, which simultaneously induces centrifugal pumping of the dispersed phase inside the capillary and generates a strong double-vortex acoustic streaming pattern in the continuous phase around the tip. The synergy between these two mechanisms enables highly efficient droplet generation. This approach operates with only a portable signal generator, eliminating the need for bulky syringe pumps or centrifuges. It is user-friendly, suitable for non-specialists, and offers broad tunability over droplet size. Although this method has been successfully demonstrated in applications such as multi-volume digital PCR,30 cell-laden alginate microcapsule formation,30 and digital bacterial enumeration,31 its wider adoption has been hindered by an incomplete understanding of the droplet formation dynamics and a lack of comprehensive characterization of the key governing parameters.
Therefore, to enhance the usability and performance of this droplet generation platform, a systematic and mechanistic investigation of droplet generation in an ultrasonically actuated sharp-tip capillary system is essential. Unlike previous studies that primarily focused on the size range, empirical correlations, and application demonstrations,30,31 this work aims to transform ultrasonically actuated sharp-tip capillary droplet generation from a phenomenologically described tool to a systematically characterized and predictively modeled platform. Here, we develop a theoretical model that links actuation parameters to droplet volume, validate it with numerical simulations using a flow-focusing analogy, and comprehensively characterize the effects of key parameters—including excitation voltage, amplitude modulation (AM) waveform, capillary tip diameter, and both dispersed and continuous phase viscosities—on droplet generation dynamics. Crucially, we elucidate the regime boundaries for stable droplet formation and demonstrate programmable multi-volume droplet sequences, advancing this platform from a promising phenomenon to a designable and predictable droplet generation tool for lab-on-a-chip applications.
Results and discussion
Working principle of the ultrasonically actuated sharp-tip capillary droplet generator
Fig. 1a shows the droplet generator based on an ultrasonically actuated sharp-tip capillary, which comprises a hollow borosilicate capillary with a tapered end (tip), bonded to a PZT which is connected to a portable function generator. To generate droplets, an aqueous solution (serves as the dispersed phase) is suctioned into the sharp-tip capillary by a syringe; the syringe is then disconnected and the upper end remains connected to an atmospheric silicone-tube reservoir, while the capillary tip is immersed into oil (serves as the continuous phase). Next, the function generator is powered on to apply periodic electrical signals with specified waveforms and frequencies to the PZT, actuating it to generate acoustic waves. The acoustic waves induce high-frequency vibrations of the coupled capillary, causing its sharp tip to oscillate. The oscillation generates a centrifugal force and causes a spontaneous outward pumping of the dispersed phase inside the capillary. Concurrently, the vibration of the capillary tip induces strong double vortex streaming in the surrounding continuous phase, which elongates and constricts the ejected fluid neck. Upon cessation of capillary vibration, pinch-off of the aqueous thread occurs immediately, generating a droplet, which is driven by Laplace pressure (Fig. 1b and Video S1). If the electrical signal output by the function generator is modulated using a square-wave amplitude modulation (AM), the electrical signal creates intermittent capillary vibration; that is, the capillary vibration cycles between active and inactive states. This cycling onset/cessation of vibration results in periodic droplet generation (Video S2). It should be emphasized that the PZT is driven by a single, high-frequency sinusoidal carrier wave that is amplitude-modulated (AM) by a square envelope. In other words, the “square-wave” mentioned here refers specifically to the on/off modulation envelope, which controls the duration and timing of the ultrasonic bursts, not to the driving waveform itself. Moreover, the high-frequency carrier is set to the resonant frequency of the PZT–capillary assembly. Consequently, the mechanical response of the capillary is dominated by the carrier frequency, not by the low-frequency harmonics of the square envelope.
 |
| | Fig. 1 Operating principle of the ultrasonically actuated sharp-tip capillary droplet generator. (a) Schematic illustration of the experimental setup, comprising a piezoelectric transducer (PZT)-bonded tapered capillary (with its upper end connected to an atmospheric silicone-tube reservoir during operation) connected to a portable function generator. (b) Time-lapse microscopic images depicting droplet pinch-off following the cessation of capillary vibration. Scale bar: 200 μm. (c) Theoretical model of the three-stage droplet formation mechanism: (i) stage I—centrifugal pumping and acoustic streaming-induced neck elongation under continuous vibration; (ii) stage II—rapid dissipation of actuation forces upon vibration cessation; (iii) stage III—Laplace pressure-driven neck thinning and pinch-off. | |
To theoretically elucidate the droplet generation phenomenon, we developed a simplified analytical model to predict the key factors governing the process. As illustrated in Fig. 1c, the droplet generation cycle is divided into three distinct stages previously observed in vibrating sharp-tip capillary systems;30 here we focus on systematically resolving the dominant forces and their parametric dependencies in each stage, enabling predictive control rather than phenomenological description. In stage I, under sustained ultrasonic actuation, the centrifugal force (Fc) dominates the initial pumping of the dispersed phase by overcoming the resisting water/oil interfacial tension force (Fi). The ejected phase forms a quasi-spherical tip to minimize surface energy. Prior to thread breakup and droplet detachment, the neck of the released aqueous stream elongates due to the combined action of Fc and the viscous drag force (Fv) induced by acoustic streaming within the surrounding continuous phase (oil).32 Consequently, the dynamics of the extending aqueous thread are governed by the balance of Fc, Fv, and Fi. Gravitational and buoyancy forces are negligible at the microscale compared to these primary forces and are omitted from the model. Because the upstream silicone tube is open to the atmosphere during operation, the inlet pressure is taken as atmospheric; the hydrostatic head and the rear-meniscus Laplace pressure are both much smaller than the acoustically generated pressure at the capillary tip, so they are omitted from the model. The force balance during ejection is therefore expressed as:
The interfacial tension force acting on the cylindrical neck restraining the forming droplet is given by:
where
σ is the interfacial tension coefficient and
Rn is the minimum radius of liquid neck.
The primary driving force, Fc, arises from the oscillation of the capillary tip. As the tip vibrates laterally, the fluid inside near the tip experiences a time-averaged centrifugal acceleration, leading to a net outward flow (Qout). Derived from the Euler–Bernoulli beam theory governing the vibrating capillary (see section S1, SI, for full derivation),33 the centrifugal force acting on the fluid at the tip is:
| |  | (3) |
where
n is the vibration mode number,
m is the mass of the emitted aqueous thread,
A is the vibration amplitude of the capillary tip,
ω is the angular frequency of vibration, and
L is the effective length of the capillary.
Eqn (3) indicates that the excitation voltage
V (where
A ∝
V) and the angular frequency
ω directly determine the magnitude of
Fc.
The acoustic streaming-induced viscous drag force, Fv, results from the double vortex streaming in the continuous phase and is modeled as Stokes drag:34
where
ηc is the dynamic viscosity of the continuous phase,
Us is the acoustic streaming velocity near the tip, and
Rb is the radius of the emitted aqueous bulb. The streaming velocity scales with the vibration parameters as reported for sharp-edge acoustic streaming:
32,35| |  | (5) |
where
β is a dimensionless prefactor that accounts for the sharp-tip geometry and confinement, and
ν =
ηc/
ρc is the kinematic viscosity of the continuous phase (
ρc is density). Combining (4) and (5) yields:
| |  | (6) |
eqn (6) demonstrates that
Fv is governed by the excitation voltage
V (
A ∝
V), the angular frequency
ω, and the continuous phase properties (
ρc).
In stage II, upon cessation of the ultrasonic vibration (triggered by AM modulation), Fc and Fv rapidly dissipate. This abrupt termination halts the outward flow of the dispersed phase. The dynamic equilibrium described by eqn (1) is disrupted, leaving interfacial (capillary) forces dominant (stage III). The neck region now experiences a significant Laplace pressure gradient (ΔPL):
| |  | (7) |
where
R1 and
R2 are the azimuthal and axial radii of curvature of the neck interface (with
R1 ≪
R2,
Rn ≈
R1). This negative pressure gradient drives fluid flow towards the capillary tip. Concurrently, the inertia of the forming droplet mass propels it away from the tip. This competition stretches and thins the neck. When the neck's aspect ratio (length/diameter) exceeds a critical threshold,
36 the Rayleigh–Plateau instability triggers spontaneous pinch-off, releasing a droplet.
The final droplet volume is primarily governed by the volume of dispersed phase pumped during the active vibration period (tactive) controlled by the AM modulation:
| |  | (8) |
where
Qout is the net volumetric outflow rate from the capillary tip, driven by the pressure difference between the capillary tip (
pc) and the neck (
pn):
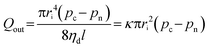
| |  | (9) |
where
ri is the inner radius of the capillary tip,
ηd is the dispersed phase viscosity,
l is the flow length between the capillary tip and the neck, and
κ =
ri2/(8
ηdl) is a flow conductance coefficient. The centrifugal pressure
pc and Laplace pressure
pn are given by:
| |  | (10) |
| |  | (11) |
Substituting
eqn (3),
(10), and
(11) into
(9) yields
| |  | (12) |
According to
eqn (12),
Qout scales quadratically with the vibration amplitude
A, and thus with the excitation voltage
Vpp (
A ∝
Vpp). This scaling was experimentally validated by measuring the volume of dispersed phase ejected under continuous actuation (without AM modulation). As shown in Fig. S1, the measured
Qout exhibits a clear quadratic dependence on
Vpp, confirming that the ultrasonic vibration-driven centrifugal pumping follows the predicted scaling.
Then substituting eqn (12) into (8) and assuming high frequency (ω ≫ 1) and ri ≈ Rn for the nascent neck near the capillary tip, obtains the droplet volume:
| |  | (13) |
Eqn (13) indicates that the droplet volume (
Vdrop) can be precisely controlled by tuning the acoustic wave parameters—amplitude
A and angular frequency
ω—along with the active modulation time
tactive. It also depends on the capillary tip radius
r, the interfacial tension
σ, the dispersed phase viscosity
ηd, and the vibration mode
n. It should be noted, however, that while
eqn (13) provides a fundamental theoretical framework identifying the key factors influencing droplet generation in the ultrasonically actuated sharp-tip capillary system, the model is derived from simplified assumptions and does not fully capture the complex, coupled physics involved in the actual droplet generation process. Consequently,
eqn (13) cannot accurately predict the quantitative relationship between the generated droplet volume and the governing parameters.
In addition, the relationship between the droplet formation rate and the droplet size should be clarified. Within the stable one-drop-per-cycle regime, the droplet formation rate fdrop is synchronized with the modulation frequency fAM (fAM = 1/T, where T = tactive + toff), i.e., fdrop = fAM. Meanwhile, the droplet size is determined by the volume delivered during the ON time, as expressed by eqn (8): Vdrop = Qout·tactive. Consequently, if the duty cycle is kept constant, tactive = D/fAM (where D is the duty ratio), and thus Vdrop ∝ Qout/fAM, meaning that increasing the production rate (higher fAM) yields smaller droplets. In contrast, if tactive is held constant by adjusting the duty cycle while varying fAM, the droplet size remains essentially unchanged while the generation rate varies, enabling practical decoupling of throughput and droplet size control within the stable operating window. Such capability offers a versatile platform for programmable droplet sequencing.
Numerical simulation
To gain deeper insight into the dynamics of droplet formation via an ultrasonically actuated tapered capillary, we conducted numerical simulations using COMSOL Multiphysics. The simulations were designed to validate the proposed mechanism through a hierarchical (two-step) modeling workflow. In step 1, we employed a perturbation-based acoustofluidic model to compute the steady (time-averaged) acoustic-streaming field generated by oscillation of the tapered tip. The predicted vortex topology (Fig. 2a) and its spatial decay match the experimentally visualized flow pattern (Fig. 2b), supporting the existence of a streaming-driven co-flow near the tip. In step 2, we focused on the interfacial pinch-off process under amplitude-modulated (AM) actuation. Fully resolved direct numerical simulation of the ≈100 kHz ultrasound-driven interface—while simultaneously accounting for the moving boundary (vibrating tip) and acoustic-streaming effects—is computationally impractical. We therefore adopted a simplified co-flow capillary flow-focusing model (Fig. 2d) to numerically investigate pinch-off dynamics under conditions analogous to amplitude-modulated (AM) ultrasonic actuation. This substitution is motivated by the strong mechanistic similarity between acoustic streaming-induced droplet formation and the jet-widening mode in co-flow capillary flow focusing (Fig. 2c).37 Specifically, both configurations share (i) co-directional transport of the dispersed and continuous phases downstream of the outlet, (ii) viscous squeezing of the dispersed filament by the surrounding continuous phase (driven by acoustic streaming in the ultrasonic case, or by imposed pressure/flow in conventional focusing), and (iii) neck thinning followed by breakup via a Rayleigh–Plateau-type instability. Consistent with this mapping, the near-tip shear/squeezing field acting on both sides of the dispersed filament is highly similar in the two configurations (Fig. S2). The surrogate co-flow model therefore captures the dominant hydrodynamic consequence of acoustic streaming—namely viscous squeezing—while enabling systematic control of the forcing waveform.
 |
| | Fig. 2 Numerical simulation of acoustic streaming and droplet generation dynamics. (a) Simulated acoustic streaming velocity field (streamlines and magnitude) near the capillary tip. (b) Experimental micrograph of double vortex streaming induced by the vibrating tapered capillary tip. Scale bar: 200 μm. (c) Conceptual analogy between acoustically driven droplet generation and co-flow capillary focusing mechanisms. In both scenarios, the dispersed and continuous phases flow co-directionally downstream from the capillary outlet, which constricts the ejected dispersed phase thread and leads to droplet pinch-off via the Rayleigh–Plateau mechanism. (d) Computational domain used for simulation. (e) Time-lapse sequence of simulated droplet formation under amplitude modulation (AM) control (tactive = 50 ms). (f) Effect of drive period on droplet formation: extended active time leading to premature breakup via Rayleigh–Plateau instability (left) and insufficient active time preventing pinch-off (right). (g) Droplet size modulation via dispersed phase flow rate (i.e., excitation voltage amplitude, Q ∝ A2). (h) Droplet size modulation via active actuation time. | |
A key benefit of the surrogate framework is that it cleanly separates waveform timing effects from the details of the streaming-field computation. By applying intermittent disperse phase flow that mimics the experimental AM on–off sequence, we directly tested whether flow interruption is required for detachment. Under the mapped inlet conditions and AM timing (see Experimental section), the simulations reproduce a distinctive mechanistic signature: pinch-off occurs exclusively during the “off” intervals. This outcome identifies flow interruption as the trigger for droplet detachment, consistent with experimental imaging and with prior reports of AM-controlled droplet generation using vibrating sharp-tip capillaries. As illustrated in Fig. 2e (also see Video S3), with a driving period of 100 ms (tactive = 50 ms), five droplets were generated within 500 ms. The close agreement between simulated droplet sequences (Fig. 2e) and experimental observations (Fig. 3a) under comparable modulation conditions suggests that the co-flow model captures the essential neck dynamics governed by the interplay of viscous stress and capillary forces. This consistency provides indirect validation of the proposed acoustic streaming mechanism, wherein the streaming-induced viscous drag serves the same functional role as the co-flow in the simulation.
 |
| | Fig. 3 Parametric influences on droplet generation characteristics. (a) Effect of modulation frequency (tactive): (i) representative microimages of the resulting droplets generated by the ultrasonically actuated sharp-tip capillary droplet generator across actuation times from 0.25 ms to 250 ms. Scale bar: 200 μm. (ii) Corresponding droplet diameter versus active time. (b) Droplet size as a function of excitation voltage amplitude (Vpp). (c) Dependence of droplet volume on dispersed phase viscosity (ηd). (d) Effect of continuous phase viscosity (ηc) on generated droplet volume. (e) Effect of capillary tip inner diameter (d) on generated droplet volume. | |
It should be noted that the primary aim of this simulation is to investigate the pinch-off dynamics and droplet formation sequence under modulated actuation rather than to fully resolve the acoustic streaming field. The co-flow focusing model is well-suited for this purpose because it captures the essential viscous squeezing mechanism that leads to neck thinning and breakup, which is the key consequence of acoustic streaming in the actual system.
Furthermore, the simulations also show that the AM cycle duration is a decisive control parameter and defines an operating window for reliable droplet generation. Excessively long active phases led to extended filament extrusion, which became susceptible to Rayleigh–Plateau instability and broke up prematurely, before the programmed cessation of flow (Fig. 2f, left). Conversely, overly short active phases resulted in insufficiently extruded volume, rendering the Laplace pressure inadequate to trigger pinch-off upon flow stoppage (Fig. 2f, right). Thus, the AM cycle period must be carefully tuned within an optimal range to achieve controlled and reliable droplet generation. Within this window, droplet size can be precisely regulated by adjusting both the dispersed phase flow rate (Fig. 2g) and the duration of the active drive phase (Fig. 2h).
Factors influencing droplet generation
Building upon the theoretical framework and numerical insights presented above, we systematically investigated the key parameters affecting droplet generation in an ultrasonically actuated sharp-tip capillary droplet generator. These parameters include the AM modulation frequency (characterized by the active actuation time, tactive), excitation voltage amplitude (Vpp), viscosities of both the dispersed (ηd) and the continuous (ηc) phases, and capillary tip inner diameter (d). The results, summarized in Fig. 3, not only delineate the operable parameter spaces but also reveal critical interdependencies governing droplet size, monodispersity, and generation stability.
AM modulation frequency.
The AM modulation frequency, implemented via the active actuation time (tactive), serves as the primary control parameter for droplet size and throughput by synchronizing droplet growth with the actuation cycle (Video S4). Fig. 3a-i displays representative micrographs of droplets generated across a wide range of tactive from 0.25 ms to 250 ms, at an excitation voltage of 8 V and a tip diameter of 20 μm. The corresponding quantitative analysis in Fig. 3a-ii reveals a remarkable, near-perfect linear correlation between droplet volume and tactive across nearly four orders of magnitude in volume (approximately 6 pL to 29 nL), successfully validating the picoliter-to-nanoliter generation capability claimed in the Introduction. This range fully meets the volume span typically required for applications such as digital assays, single-cell analysis, and microparticle synthesis. Moreover, the achievable droplet size range can be further extended by adjusting other parameters (e.g., excitation voltage Vpp, capillary tip inner diameter d, dispersed phase viscosity ηd). This precise linearity (R2 ≈ 0.99) within the operational window of 0.25 ms to 250 ms confirms the dominance of the sustained active vibration time in controlling the size of generated droplets described by eqn (13). Critically, irrespective of droplet size, droplets generated within this linear regime exhibited exceptional monodispersity, with coefficients of variation (CVs) consistently below 2% (Fig. S3), underscoring the stability and reliability of this control mechanism. Beyond this stable linear window, two distinct dysfunctional regimes were identified: (i) ultra-short actuation (tactive < 0.25 ms): a paradoxical decrease in volume with increasing tactive was observed within this range. This counterintuitive behavior is attributed to the inherent response lag between the piezoelectric driver excitation and the establishment of stable fluid flow, preventing complete volumetric displacement synchronization at the very onset of actuation (Video S5). (ii) Over-extended actuation (tactive > 250 ms): the linear control breaks down as excessively long actuation leads to the formation of elongated liquid jets. These jets become susceptible to Rayleigh–Plateau instability, resulting in uncontrolled, premature breakup prior to the programmed pinch-off triggered by vibration cessation as well as unwanted satellite droplet formation (Video S6).
Excitation voltage amplitude.
The influence of excitation voltage amplitude (Vpp) was examined within the linear AM regime (tactive = 0.25–250 ms). Vpp dictates the vibration amplitude (A ∝ Vpp), directly impacting both the net volumetric outflow rate (Q) from the capillary tip (via Fc) and the acoustic streaming velocity (Us) in the continuous phase (via Fv). Under specific actuation times and tip diameters, a critical voltage window enabled stable, monodisperse droplet generation across most frequencies. For instance, at actuation times of 5, 10, and 25 ms and a tip diameter of 20 μm, the critical voltage window is Vpp = 7–9 V. Within the stable jetting regime (Vpp = 7–9 V), the droplet volume exhibits a nearly linear dependence on Vpp at a constant tactive (as illustrated in Fig. 3b). This observed linearity appears to contrast with the quadratic scaling (Vdrop ∝ Vpp2) predicted by the simplified theoretical model (eqn (13)). In reality, the linear trend seen in Fig. 3b represents a “local approximation” caused by restricting measurements to the stable window, rather than a contradiction to the underlying nonlinear scaling implied by the simplified theory. In other words, this apparent linearity should be interpreted as a local, linear subrange of an overall nonlinear voltage–volume relationship. Similar phenomena have been reported in prior studies on acoustically/vibrationally driven capillary systems,30 where the overall voltage–volume relationship is nonlinear but an approximately linear response emerges within an intermediate stable region. Importantly, this linear subrange is deliberately utilized to achieve stable and highly monodisperse droplet formation: at lower voltages (Vpp <7 V) the actuation is insufficient to sustain pumping and droplet ejection (leading to a pronounced generation delay or even failure) (Video S7), whereas at higher voltages (Vpp >9 V) excessive interfacial shear drives jetting and droplet fragmentation, resulting in poor monodispersity (Video S8). It should be noted that the critical voltage window for stable jetting (e.g., 7–9Vpp under the conditions of Fig. 3b) is presented as a representative example. This window is not a fixed limitation but can be expanded or shifted by adjusting other parameters such as capillary tip geometry, driving frequency, or fluid properties. In a dedicated application device, the voltage would typically be set to a single, pre-optimized value within a stable window, a requirement easily met by portable electronics. More critically, the primary control parameter for droplet size—the active actuation time (tactive)—operates reliably across a span of three orders of magnitude (0.25–250 ms), enabling a wide dynamic range of droplet volumes (from several picoliters to tens of nanoliters) through simple digital timing control, which is highly advantageous for programmable point-of-care systems.
Dispersed phase viscosity.
The effect of dispersed phase viscosity (ηd) was studied using glycerol–water mixtures (20%, 30%, 40%, and 50% (v/v) glycerol; ηd ≈ 1.7, 2.6, 4.0, 6.8 mPa s).38 The viscosity of the dispersed phase (ηd) directly influences the flow resistance within the capillary. As predicted by the flow conductance term (κ = r2/(8ηdl)) in eqn (9), an increase in ηd leads to a reduction in the volumetric flow rate (Q). This inverse relationship is clearly demonstrated in Fig. 3c, where, for fixed Vpp and tactive, the generated droplet volume decreases monotonically with increasing ηd. For instance, at tactive = 25 ms, the droplet volume decreased by ∼83%, from 5.14 nL to 0.89 nL, as ηd increased from 1.7 mPa s to 6.8 mPa s. Furthermore, ηd plays a critical role in the pinch-off dynamics. Moderate increases in ηd can enhance jet stability by dampening perturbations, thereby extending the upper limit of tactive within the linear droplet generation regime compared to low-viscosity operations (Video S9). However, excessively high ηd (>4.0 mPa s) impedes Laplace pressure-driven pinch-off during vibration cessation, particularly at high modulation frequencies. This manifests as a hysteresis effect where droplet volume reversal occurs beyond a critical ηd threshold, as evidenced by the shift in the minimum volume point toward longer actuation times in Fig. S4.
Continuous phase viscosity.
The influence of continuous phase viscosity (ηc) on droplet generation was systematically evaluated using oil mixtures of isopropyl palmitate and paraffin oil (0%, 20%, 40%, 60%, 80%, and 100% (v/v) paraffin oil; ηc ≈ 8.6, 10.8, 14.5, 19.2, 24.6, and 32.4 mPa s),39 each supplemented with 5% (v/v) EM 90 surfactant to stabilize the emulsion interface. Contrary to the pronounced effects observed with other parameters, the viscosity of the continuous phase (ηc) exhibited a weak influence on the final droplet volume across a wide range (8.6–32.4 mPa s) under fixed operational conditions, as shown in Fig. 3d. This remarkable insensitivity is a key operational advantage, indicating a robust decoupling of droplet volume from the choice of carrier fluid. This behavior can be attributed to both opposing viscosity-dependent effects. On one hand, higher ηc dampens the capillary-tip vibration amplitude, reducing the centrifugal pumping force Fc and thus the volumetric outflow rate Qout. On the other hand, higher ηc lowers the acoustic-streaming velocity Us (Us ∝ 1/ηc), which slows down the neck-thinning process, allowing the “channel” (i.e., aqueous neck) to remain in a relatively low-resistance state slightly longer within a fixed tactive, thereby yielding a marginally larger integrated outflow volume. A scaling analysis indicates that these both opposing effects are of comparable magnitude in our experimental regime, but the neck-thinning delay slightly dominates (see section S2, SI,), resulting in the observed weak positive dependence of droplet volume on ηc. As shown in Fig. 3d, the droplet volumes remained nearly invariant across the range of ηc tested. Linear regression of droplet volume versus ηc yielded slopes as low as 0.028, 0.009, and 0.003 for tactive = 5, 10, and 25 ms, respectively, at Vpp = 8 V, indicating an extremely weak dependence and further confirming the mutual compensation of the underlying forces. This insensitivity to continuous phase viscosity enhances the operational flexibility of the system, allowing the selection of the continuous phase based on application needs (e.g., biocompatibility, chemical resistance) without recalibrating the droplet size control.
Capillary tip diameter.
Capillaries with different inner tip diameters (d = 15, 20, 25 μm) were tested. The tip diameter critically influences several factors: (i) vibration amplitude: larger diameters generally exhibit slightly lower vibration amplitudes for the same applied voltage (Vpp) due to increased structural rigidity. (ii) Flow resistance: governs the flow conductance coefficient (κ ∝ r2 = (d/2)2), directly impacting Q (eqn (9)). Larger d significantly increases Q. (iii) Initial neck geometry: larger d produces a wider initial neck (Rn ≈ r = d/2) during ejection. The net effect is that larger tip diameters produce significantly larger droplets for identical tactive and Vpp conditions, as confirmed in Fig. 3e. The increased Q dominates the size scaling. However, the wider initial neck width (Rn) presents a significant challenge: achieving pinch-off requires a larger Laplace pressure difference (ΔPL ≈ σ/Rn, eqn (7)). This increased requirement limits the ability to generate small droplets at high frequencies using larger tips, as the Laplace pressure may be insufficient to overcome the neck's resistance to thinning within the short timescale available during vibration cessation. Smaller tips offer superior control for generating smaller droplets due to their inherently higher Laplace pressure gradients.
Programmable generation of multi-volume droplets
Precise and independent control over both droplet volume and generation timing—enabled by the amplitude modulation (AM) strategy—provides a powerful foundation for engineering sophisticated droplet sequences with tailored compositions. While previous work showed real-time droplet size modulation by varying AM frequency,30 the present study extends this capability by establishing a linear scaling law between droplet volume and active actuation time (Fig. 3a), thereby enabling predictable and programmable generation of multi-volume droplet sequences with precise volume ratios, a feature not previously demonstrated. In contrast to the polydisperse droplets produced by conventional emulsification methods—which typically exhibit broad, stochastic size distributions—our system generates programmable sequences of droplets with multiple, predefined volumes. Within each subpopulation defined by a specific actuation pulse width, droplets are highly monodisperse. The overall stream, however, contains two or more distinct, user-defined volumes arranged in a predetermined order. This capability to create structured, non-uniform yet precisely controlled droplet trains opens up novel application paradigms that are inaccessible to either strictly monodisperse generators or conventional, randomly polydisperse emulsification approaches.
As illustrated in the conceptual schematic in Fig. 4a, instead of applying a standard pulse train with a fixed duty cycle, we designed a custom waveform featuring an asymmetric duty cycle within each period. This waveform combines two discrete pulses of different widths (e.g., actuation times t1 and t2) per cycle (Fig. 4a-i and ii). Since the resultant droplet volume exhibits a linear relationship with the active actuation time within the stable operational regime (0.25–250 ms, as established in “Factors influencing droplet generation” subsection), this waveform directly produces a sequence of alternating droplet sizes corresponding to t1 and t2. By employing this strategy with t1 and t2 set to 125 ms and 250 ms, respectively, at a fixed voltage of 8 V, the system yielded highly monodisperse droplets with alternating diameters of ∼155 μm and ∼196 μm (Fig. 4b and Video S10). The volume ratio of the two droplet populations (V2/V1) was consistently measured to be approximately 2, which aligns perfectly with the ratio of their actuation times (t1/t2 = 2). The high monodispersity within each droplet group (CV <1.8%, Fig. 4c) confirms the reproducibility and temporal precision of the formation process.
 |
| | Fig. 4 Programmable generation of multi-volume droplet sequences. (a) Schematic of the amplitude modulation strategy: (i) designed AM modulated waveform featuring two discrete pulses (widths t1 and t2) per cycle for dual-volume droplet generation; (ii) alternating droplet generation sequence corresponding to the modulated waveform; (iii) image of the waveform displayed on the signal generator screen; (iv) final output stream of synchronously produced dual-volume droplets. Scale bar: 200 μm. (b) Representative microimage of programmatically generated multi-volume droplets (two monodisperse populations generated in an alternating order). Droplets with diameters of 155 μm and 196 μm (volume ratio ≈1 : 2) are alternately generated in equal quantities. Scale bar: 200 μm. (c) Size distribution histograms confirming high monodispersity (CV <1.8%) for both droplet populations. | |
Furthermore, the system supports even more complex sequencing. For example, by modifying the waveform to include three pulses (t1 = 60 ms, t2 = 120 ms, and t3 = 240 ms) within a period, a three-volume droplet sequence with a programmed size ratio of 1
:
2
:
4 was reliably produced (Video S11). This capacity to incorporate multiple pulses per period demonstrates a hierarchical level of control over the droplet train architecture, enabling not only volume multiplexing but also customizable sequential order.
In fact, the programmable generation of multi-volume droplets leverages the decoupled control of droplet size (via Qout and tactive) and droplet generation timing (via fAM) mentioned above, which allows sequential production of different volume droplets in a deterministic manner without altering the overall throughput or requiring multiple fluidic inputs. Such programmable multi-volume droplet sequences offer new opportunities for compact, multiplexed droplet workflows, in which droplet size serves as an intrinsic and readily decoded physical index within a single stream. Because droplet volume directly determines key microreactor parameters (e.g., absolute reagent amount, surface-to-volume ratio, diffusion length scales, and Poisson loading statistics), programmed multi-volume trains enable single-run parameter sweeps for dose–response studies, dynamic-range extension in digital assays, and volume-dependent kinetic/phenotypic analysis under identical experimental conditions.40–43 Beyond bioassays, this capability provides a versatile templating route toward size- and property-encoded particle libraries, including microgels, microparticles, and microcapsules, facilitating rapid screening of size-dependent functions such as mass transport, mechanical properties, and release kinetics.44 Deterministic size control also lays the groundwork for “fluid-logic” operations, where droplet size dictates splitting, merging, or routing at channel junctions.45 Finally, although droplet size alone does not constitute chemical or biological encoding, it provides a robust, addressable backbone that can be coupled with downstream operations (e.g., size-/time-gated reagent injection, staged incubation, or sample switching) to map droplet subpopulations to specific assay conditions or targets—thereby enabling multiplexed workflows without the need for complex multi-inlet architectures, valves, or parallel generators.46 Together, these features highlight how programmable multi-volume droplet generation supports advanced, integrated droplet microfluidics with minimal device complexity.
In addition, our chip-free droplet generator naturally supports a modular “off-chip generation → on-chip processing” workflow. The pre-formed droplets can be readily transferred into downstream microfluidic devices for incubation, imaging, reagent addition (e.g., picoinjection), fusion, sorting, counting, and detection. This split architecture is particularly advantageous—or effectively required—when (i) droplet formation is incompatible with chip materials or surface chemistry (e.g., aggressive solvents/surfactants, biomolecule adsorption, or fouling-prone samples such as protein-rich fluids, sticky cells, and heterogeneous clinical matrices),47 (ii) droplets must interface with specialized biological platforms (e.g., organ-on-a-chip or tissue-engineering devices optimized for culture/perfusion and readout rather than stable droplet formation),48 and/or (iii) robustness and maintainability are prioritized, since droplet generation is often the most failure-prone module (startup sensitivity, wetting drift, clogging, and surface variability).49 Early off-chip compartmentalization can also improve contamination control and biosafety via disposable front-end components while allowing downstream chips to remain optimized for optics, valves, electrodes, or soft materials that may be incompatible with the actuation modalities and materials preferred for stable droplet formation.
Synthesis of monodisperse hydrogel microspheres
To further validate the material synthesis capability and practical utility of our droplet generation platform and to illustrate its compatibility with common hydrogel fabrication protocols, we demonstrate the production of monodisperse hydrogel microspheres (Fig. 5a), which are cornerstone materials for drug delivery, cell encapsulation, and tissue engineering. While hydrogel microcapsule formation using vibrating sharp-tip capillaries has been reported previously,30 the present work emphasizes the critical role of droplet monodispersity and parametric control in achieving uniform solid microspheres. The high monodispersity of the initial droplets, as established in previous sections, is a critical prerequisite for achieving uniform chemical and physical properties in the final solid microparticles.
 |
| | Fig. 5 Mass production of monodisperse hydrogel microspheres using the ultrasonically actuated sharp-tip capillary droplet generator. (a) Schematic of the synthesis process for hydrogel microspheres using ionic crosslinking (SA) and UV-initiated polymerization (PEGDA). (b and c) Size distribution histograms and optical/fluorescence micrographs (insets) of the resulting (b) SA and (c) PEGDA microspheres, demonstrating high monodispersity with coefficients of variation (CVs) below 3.4%. Scale bar: 200 μm. | |
We first synthesized calcium alginate microspheres, a widely used ionic-crosslinking hydrogel. A solution consisting of 1 wt% sodium alginate and 1 wt% EDTA calcium disodium served as the dispersed phase, which was injected into a continuous phase of paraffin oil containing 2 wt% Span 80 and 0.05 wt% glacial acetic acid. Droplets generated by our AM-modulation method were collected in a 1.5 mL microtube. The instantaneous interfacial crosslinking reaction, triggered upon droplet formation, was allowed to proceed to completion over 30 minutes. The cured microspheres were centrifuged and then washed extensively with ethanol and water to remove residual oil. Subsequent characterization using optical microscopy (Fig. 5b, inset) confirmed the successful formation of solid microspheres that retained the excellent monodispersity of the precursor droplets. Statistical analysis of the diameter distribution for a population of microspheres derived from droplets generated at a fixed actuation time yielded a coefficient of variation (CV) of less than 3% (Fig. 5b), underscoring the precision of the process.
In a second demonstration, we produced poly(ethylene glycol) diacrylate (PEGDA) hydrogel microspheres via UV-initiated radical polymerization. The dispersed phase consisted of a prepolymer solution of 20% (v/v) PEGDA (Mn = 700) with 2% (v/v) photoinitiator (Darocur 1173). Droplets were generated and collected in a Petri dish. The collected droplets were immediately exposed to UV light (365 nm, 10 mW cm−2) for 10 minutes to ensure complete polymerization. The resulting PEGDA microspheres were analyzed using fluorescence microscopy (Fig. 5c), which provided high-contrast images for accurate size measurement due to the inherent autofluorescence of the crosslinked polymer network. The fluorescence images revealed perfectly spherical and uniform particles with no detectable merging or deformation, indicating that the polymerization process did not compromise the monodispersity achieved during the droplet generation step. In addition, the system also demonstrated excellent inter-run reproducibility, a critical attribute for consistent material synthesis. As demonstrated in Fig. S5, repeated PEGDA droplet generation across independent runs—with intermediate stopping/restarting of actuation, repositioning of the same capillary tip into a fresh Petri dish, and replenishment of the continuous phase—yielded PEGDA microspheres with coefficients of variation below 1.5% in diameter (overall CV = 1.0% at 2.5Vpp and 1.3% at 5.0Vpp), confirming robust and repeatable performance across experimental sessions.
The successful synthesis of these two distinct types of hydrogel microspheres—one via ionic crosslinking and the other via photopolymerization—highlights the versatility and material compatibility of our platform. The key to this success lies in the stability and uniformity of the droplet generation process, which ensures that each droplet acts as an identical, isolated microreactor. The absence of satellite droplets or coalescence events during generation is crucial, as these defects would be permanently immortalized in the solid state, leading to polydisperse populations and batch inconsistency. The ability to reliably produce such monodisperse hydrogel particles opens avenues for highly standardized applications, including size-based cell sorting, controlled drug release kinetic studies, and the fabrication of photonic crystals from self-assembled colloidal crystals.
Conclusions
In this work, building upon the foundational work of He et al.,30 we have addressed critical knowledge gaps by establishing a theoretical framework for the droplet formation mechanism and comprehensively characterizing key operational parameters. Our findings demonstrate that droplet generation occurs through a three-stage process: centrifugal pumping driven by capillary vibration, acoustic streaming-induced neck elongation, and Laplace-driven pinch-off upon vibration cessation. This mechanistic understanding, validated by numerical simulations, reveals that droplet volume is governed by the interplay of acoustic parameters, fluid properties, and geometric factors. In contrast to the prior study, which primarily focused on the size range, empirical correlations, and application demonstrations, our work provides deeper mechanistic insights and quantitative parametric correlations. Leveraging this parametric control, we pioneered programmable multi-volume droplet generation using asymmetric AM waveforms. By programming pulse widths and pulse-count ratios within a single period, we achieved alternating monodisperse droplets with precisely tunable size distributions—a capability unmatched by conventional droplet generators. This innovation was further extended to material synthesis, where monodisperse calcium alginate and PEGDA hydrogel microspheres were successfully fabricated, underscoring the platform's versatility for biomedical and materials applications. As a chip-free, syringe-pump-independent system requiring only a portable function generator, this platform eliminates the need for cleanrooms, precision pressure controllers, and bulky peripherals. The mechanistic insights and parametric optimization established herein resolve prior limitations of insufficient dynamic understanding and incomplete characterization. By enabling programmable droplet sequences and high-fidelity material synthesis with laboratory benchtop or portable instrumentation, this work unlocks transformative potential for point-of-care diagnostics, field-deployable sensors, and on-demand synthesis platforms in resource-limited settings. Future work will focus on integrating real-time monitoring and automating droplet programming for combinatorial bioassays and precision nanomedicine synthesis.
Experimental
Materials and reagents
All chemicals and reagents were used as received without further purification. The surfactants employed included ABIL EM 90 (Evonik Degussa, Essen, Germany) and sorbitan monooleate (Span 80, Macklin, Shanghai, China). Isopropyl palmitate (Aladdin, Shanghai, China) and paraffin oil (Macklin, Shanghai, China) served as the continuous phase. Glycerol (Ghtech, Guangdong, China) was used to prepare glycerol–water mixtures for viscosity studies. Anhydrous ethanol and glacial acetic acid (Keshi, Chengdu, China) were used for cleaning and preparation purposes. For hydrogel synthesis, sodium alginate (Macklin, Shanghai, China), EDTA calcium disodium (Mreda, Beijing, China), poly(ethylene glycol) diacrylate (PEGDA, average Mn = 700, Macklin, Shanghai, China), and the photoinitiator 2-hydroxy-2-methylpropiophenone (Macklin, Shanghai, China) were obtained. Ultrapure water (resistivity >18 MΩ cm) was used throughout the experiments for preparing aqueous solutions.
Preparation of sharp-tip capillaries
Hollow borosilicate glass capillaries (inner diameter: 500 μm, outer diameter: 700 μm; Instrument Factory of West China Medical University, Chengdu, China) were manually tapered to produce sharp-tip geometries for controlled droplet generation. The tapering process involved uniformly heating the midpoint of a straight capillary segment using a nickel–chromium coil until molten, followed by rapid bidirectional stretching to form a conical tip. The pulled capillary was bisected at the thermally narrowed region using a capillary cutter (Stoelting Co., USA). The inner diameter of each tip was checked and measured via an inverted microscopy (Axio Vert A1, Carl Zeiss, Germany; resolution: ±1 μm). To ensure stable droplet ejection and prevent dispersed-phase wetting, capillaries underwent sequential surface functionalization: ultrasonic cleaning in isopropanol (15 min) and deionized water (15 min), hydrophilic activation by immersion in piranha solution (3
:
1 (v/v) concentrated H2SO4
:
30% H2O2) for 20 min, and thorough rinsing. Selective tip silanization was achieved by pre-filling the capillary lumen with molten caramel (∼1 mm column) to protect the inner surface, immersing the tip in 1% (v/v) 1H,1H,2H,2H-perfluorooctyltriethoxysilane (Macklin) in hexane for 2 h at 25 °C, and removing caramel via boiling deionized water (10 min) followed by ethanol flushing.
Setup of the ultrasonically driven droplet generator
The droplet generation platform was constructed by bonding the silanized sharp-tip capillary to a PZT (diameter: 27 mm, Sweeter, China) using epoxy adhesive (EA E-30CL, Loctite), ensuring the capillary tip extended 15 mm beyond the PZT edge for optimal vibrational energy transfer. The upper end of the capillary was connected to a silicone tube (inner diameter: 500 μm, length: ∼30 cm) that served as a small-volume reservoir and could be interfaced with a 1 mL syringe for initial loading of the dispersed phase. During droplet generation, the syringe was disconnected, leaving the tubing open to the atmosphere. The capillary tip was immersed ∼2 mm below the continuous phase surface. The continuous phase, comprising selected oil with selected surfactant, was filled into a Petri dish. Furthermore, to prevent any passive drainage during the “off” phase of amplitude modulation, the open end of the silicone tubing was positioned below the level of the capillary tip. This ensured a slightly negative or neutral hydrostatic head when the vibration ceased, suppressing unintended outflow and ensuring that pinch-off was governed solely by interfacial and inertial forces as described in stage III of the mechanism. To produce the mechanical vibration for droplet generation, the transducer was driven by a battery-powered low-cost signal generator (∼$58, FY6300, FeelTech). The working frequency and vibrating amplitude of the capillary tip can be tuned by the function waveform generator. To obtain the optimal configuration, we analysed the vibrational characteristics of the capillary tip via finite element simulation (COMSOL Multiphysics®) to identify resonant modes and tip displacement profiles (see section S3 and Fig. S6, SI). Experimental validation was also performed through systematic parameter screening to optimize capillary overhang length, adhesive bonding, and driving frequency for maximal droplet generation stability and monodispersity.
Characterization of the generated droplets
Droplet formation dynamics and size distribution were quantitatively characterized using a metallographic microscope (NMM-800TRF, Novel Optics, China) equipped with a digital camera (HDCE-X5, Neurotechnology,). Droplet diameters were measured using ImageJ software (v1.53, NIH). A minimum of 200 droplets per condition were analyzed to determine mean diameter and coefficient of variation (CV = standard deviation/mean × 100%).
Monodisperse microsphere synthesis
Monodisperse hydrogel microspheres were synthesized using two distinct crosslinking mechanisms to validate the droplet generator's material fabrication capabilities. For calcium alginate microspheres, the dispersed phase comprised 1 wt% sodium alginate and 1 wt% EDTA calcium disodium dissolved in ultrapure water to enable delayed ionic crosslinking, while the continuous phase consisted of paraffin oil with 2 wt% Span 80 and 0.05 wt% glacial acetic acid to facilitate post-ejection gelation. Droplets generated under amplitude-modulated actuation were collected in a reservoir containing identical continuous phase, where interfacial proton diffusion from acetic acid initiated localized calcium ion release from EDTA complexes, achieving full crosslinking within 30 minutes at room temperature before washing sequentially with anhydrous ethanol and deionized water. For photocurable poly(ethylene glycol) diacrylate (PEGDA) microspheres, the dispersed phase contained 20% (v/v) PEGDA (Mn = 700) and 2% (v/v) photoinitiator 2-hydroxy-2-methylpropiophenone in ultrapure water; generated droplets were collected in a Petri dish and immediately exposed to 365 nm UV light (10 mW cm−2) for 10 minutes to induce radical polymerization.
Computational model
Numerical simulations were performed using COMSOL Multiphysics® (v6.2, COMSOL Inc., Sweden) to elucidate the droplet formation mechanics described in “Working principle of the ultrasonically actuated sharp-tip capillary droplet generator” subsection and validate theoretical predictions. A multi-physics approach was implemented across two distinct modules: first, acoustic streaming patterns in the continuous phase were resolved via a 2D model combining “thermoviscous acoustics” (high-frequency oscillation) and “laminar flow” (streaming velocity) modules, incorporating fluid properties matching experimental oils (ηc = 20 mPa s) to quantify vortex formation and viscous drag forces. Finally, due to computational constraints in resolving ultrasound-driven interfacial dynamics, a simplified “two-phase flow” (phase field) model emulated the amplitude-modulated droplet generation process using a co-flow geometry with widened downstream channels to mimic acoustic streaming-induced flow focusing. In this surrogate model, the dispersed and continuous phase inlets were assigned flow rates corresponding to the theoretical net outflow (Qout) and streaming velocity scale (Us), and the on–off timing is set identical to the AM sequence used in experiments. We emphasize that this surrogate does not resolve the ultrasound-period oscillatory pressure/velocity field at the interface; instead, it models the equivalent quasi-steady co-flow consequence of streaming. Therefore, it is used in conjunction with the perturbation-based streaming simulation (which directly validates the existence and topology of acoustic streaming) to provide a comprehensive mechanistic validation within practical computational limits.
Author contributions
Qi Zhang: investigation and writing – original draft. Li Ran: validation and visualization. Gang Li: conceptualization, writing – review & editing, supervision, and funding acquisition.
Conflicts of interest
There are no conflicts to declare.
Data availability
All data reported in this work are available from the corresponding author upon reasonable request.
The supplementary information (SI) associated with this article includes: derivation of the equivalent centrifugal force model for the vibrating capillary tip (Section S1); scaling analysis of the effects of continuous-phase viscosity on droplet generation (Section S2); finite-element analysis of the PZT–capillary assembly for resonance characterization (Section S3); Fig. S1–S6 (supporting experimental and simulation results); legends for Video S1–S11 (illustrating droplet generation dynamics, operating regimes, and reproducibility). See DOI: https://doi.org/10.1039/d5lc00954e.
Acknowledgements
This work was supported by grants from the National Natural Science Foundation of China (No. 61974012 and 61771078), the Chongqing Technical Innovation and Application Demonstration Program (No. cstc2018jscx-mszdX0073), and the “Smart Digital Medical Testing” Innovation Challenge Project (No. WDIM2025JBGS-SZJY015).
Notes and references
- S. Mashaghi, A. Abbaspourrad, D. A. Weitz and A. M. Van Oijen, TrAC, Trends Anal. Chem., 2016, 82, 118–125 CrossRef CAS
.
- L.-J. Pan, J.-W. Tu, H.-T. Ma, Y.-J. Yang, Z.-Q. Tian, D.-W. Pang and Z.-L. Zhang, Lab Chip, 2018, 18, 41–56 RSC
.
- J. C. Vollenbroek, A.-E. Nieuwelink, J. G. Bomer, R. M. Tiggelaar, A. van den Berg, B. M. Weckhuysen and M. Odijk, Microsyst. Nanoeng., 2023, 9, 39 CrossRef CAS PubMed
.
- L. Frenz, A. El Harrak, M. Pauly, S. Bégin-Colin, A. D. Griffiths and J. C. Baret, Angew. Chem., Int. Ed. Engl., 2008, 47, 6817–6820 CrossRef CAS PubMed
.
- J. H. Kim, T. Y. Jeon, T. M. Choi, T. S. Shim, S. H. Kim and S. M. Yang, Langmuir, 2014, 30, 1473–1488 CrossRef CAS PubMed
.
- R. Tu, Y. Zhang, E. Hua, L. Bai, H. Huang, K. Yun and M. Wang, Commun. Biol., 2021, 4, 647 CrossRef CAS
.
- J. J. Agresti, E. Antipov, A. R. Abate, K. Ahn, A. C. Rowat, J. C. Baret, M. Marquez, A. M. Klibanov, A. D. Griffiths and D. A. Weitz, Proc. Natl. Acad. Sci. U. S. A., 2010, 107, 4004–4009 CrossRef CAS
.
- L. Cohen, N. Cui, Y. Cai, P. M. Garden, X. Li, D. A. Weitz and D. R. Walt, ACS Nano, 2020, 14, 9491–9501 CrossRef CAS PubMed
.
- B. J. Hindson, K. D. Ness, D. A. Masquelier, P. Belgrader, N. J. Heredia, A. J. Makarewicz, I. J. Bright, M. Y. Lucero, A. L. Hiddessen and T. C. Legler, Anal. Chem., 2011, 83, 8604–8610 CrossRef CAS PubMed
.
- O. Scheler, N. Pacocha, P. Debski, A. Ruszczak, T. Kaminski and P. Garstecki, Lab Chip, 2017, 17, 1980–1987 RSC
.
- H. N. Joensson and H. Andersson Svahn, Angew. Chem., Int. Ed., 2012, 51, 12176–12192 CrossRef CAS
.
- R. Salomon, D. Kaczorowski, F. Valdes-Mora, R. E. Nordon, A. Neild, N. Farbehi, N. Bartonicek and D. Gallego-Ortega, Lab Chip, 2019, 19, 1706–1727 RSC
.
-
P. Becher, Emulsions: theory and practice, American Chemical Society Washington, DC, 2001 Search PubMed
.
- I. Majid, G. A. Nayik and V. Nanda, Cogent Food Agric., 2015, 1, 1071022 CrossRef
.
- B. Tal-Figiel, Chem. Eng. Res. Des., 2007, 85, 730–734 CrossRef CAS
.
- S. Freitas, G. Hielscher, H. P. Merkle and B. Gander, Ultrason. Sonochem., 2006, 13, 76–85 CrossRef CAS PubMed
.
- P. Zhu and L. Wang, Lab Chip, 2017, 17, 34–75 RSC
.
- J. C. Brenker, D. J. Collins, H. Van Phan, T. Alan and A. Neild, Lab Chip, 2016, 16, 1675–1683 RSC
.
-
E. Hemachandran, T. Laurell and A. Sen, in Conference on Fluid Mechanics and Fluid Power, Singapore, 2021, pp. 145–150 Search PubMed.
- K. Li, J.-k. Liu, W.-s. Chen and L. Zhang, Microsyst. Technol., 2018, 24, 879–889 CrossRef
.
- D. M. Harris, T. Liu and J. W. Bush, Exp. Fluids, 2015, 56, 83 Search PubMed
.
- Z. Chen, P. Liao, F. Zhang, M. Jiang, Y. Zhu and Y. Huang, Lab Chip, 2017, 17, 235–240 RSC
.
- X. Li, D. Zhang, W. Ruan, W. Liu, K. Yin, T. Tian, Y. Bi, Q. Ruan, Y. Zhao and Z. Zhu, Anal. Chem., 2019, 91, 13611–13619 Search PubMed
.
- P. Xu, X. Zheng, Y. Tao and W. Du, Anal. Chem., 2016, 88, 3171–3177 CrossRef CAS PubMed
.
- S. Liao, Y. Tao, W. Du and Y. Wang, Langmuir, 2018, 34, 11655–11666 CrossRef CAS PubMed
.
- F. Huang, Y. Niu, Z. Zhu, H. Huang, Y. Xue, T. Si, R. X. Xu and Y. Zhao, Soft Matter, 2019, 15, 4782–4786 RSC
.
- H.-T. Li, H.-F. Wang, Y. Wang, J.-Z. Pan and Q. Fang, Talanta, 2020, 217, 120997 CrossRef CAS
.
- Y. Zhang, Q. Zhao, D. Yuan, H. Liu, G. Yun, H. Lu, M. Li, J. Guo, W. Li and S.-Y. Tang, Lab Chip, 2020, 20, 4592–4599 RSC
.
- Z. Zhang, Y. Cheng, X. Li, L. Chen, R. Xu, X. Qi, Y. Shao, Z. Gao and M. Zhu, Anal. Chem., 2023, 95, 3028–3036 CrossRef CAS PubMed
.
- Z. He, J. Wang, B. J. Fike, X. Li, C. Li, B. L. Mendis and P. Li, Biosens. Bioelectron., 2021, 191, 113458 CrossRef CAS PubMed
.
- C. Ding, Y. Liu, Y. Guo, X. Guo, Q. Kang, X. Yan and Z. He, Sens. Actuators, B, 2023, 380, 133254 CrossRef CAS
.
- N. Nama, P.-H. Huang, T. J. Huang and F. Costanzo, Lab Chip, 2014, 14, 2824–2836 RSC
.
-
O. A. Bauchau and J. I. Craig, in Structural analysis, Springer, 2009, pp. 173–221 Search PubMed
.
-
H. Lamb, Hydrodynamics, Cambridge Mathematical Library, Cambridge University Press, Cambridge, 6th edn, 1993 Search PubMed
.
- C. Zhang, X. Guo, L. Royon and P. Brunet, Micromachines, 2020, 11, 607 CrossRef PubMed
.
- L. Rayleigh, Proc. R. Soc. London, 1879, 71–97 Search PubMed
.
- A. S. Utada, A. Fernandez-Nieves, H. A. Stone and D. A. Weitz, Phys. Rev. Lett., 2007, 99, 094502 CrossRef
.
- T. Wang, X. Mu, P. Kropelnicki, A. B. Randles and C. Lee, J. Micromech. Microeng., 2014, 24, 075002 CrossRef CAS
.
- Y. Gao and K. Li, Fuel, 2012, 95, 431–437 CrossRef CAS
.
- Z. Jin, M. Nie, R. Hu, T. Zhao, J. Xu, D. Chen, J. Yun, L. Z. Ma and W. Du, Small, 2018, 14, 1800658 CrossRef
.
- J. E. Kreutz, T. Munson, T. Huynh, F. Shen, W. Du and R. F. Ismagilov, Anal. Chem., 2011, 83, 8158–8168 CrossRef CAS PubMed
.
- Z. Li, A. Kiyama, H. Zeng and X. Zhang, J. Phys. Chem. C, 2021, 125, 15324–15334 CrossRef CAS
.
- O. J. Miller, A. E. Harrak, T. Mangeat, J.-C. Baret, L. Frenz, B. E. Debs, E. Mayot, M. L. Samuels, E. K. Rooney and P. Dieu, Proc. Natl. Acad. Sci. U. S. A., 2012, 109, 378–383 CrossRef CAS PubMed
.
- J. H. Kim, T. Y. Jeon, T. M. Choi, T. S. Shim, S.-H. Kim and S.-M. Yang, Langmuir, 2014, 30, 1473–1488 CrossRef CAS PubMed
.
- E. Asghari, A. Moosavi and S. K. Hannani, Sci. Rep., 2020, 10, 9293 CrossRef CAS
.
- S. L. Sjostrom, H. N. Joensson and H. A. Svahn, Lab Chip, 2013, 13, 1754–1761 RSC
.
- J. N. Lee, C. Park and G. M. Whitesides, Anal. Chem., 2003, 75, 6544–6554 CrossRef CAS PubMed
.
- J. M. de Hoyos-Vega, A. M. Gonzalez-Suarez, D. F. Cedillo-Alcantar, G. Stybayeva, A. Matveyenko, H. Malhi, J. L. Garcia-Cordero and A. Revzin, Biosens. Bioelectron., 2024, 248, 115896 CrossRef CAS PubMed
.
- S. Bashir, M. Bashir, X. Casadevall i Solvas, J. M. Rees and W. B. Zimmerman, Micromachines, 2015, 6, 1445–1458 CrossRef
.
|
| This journal is © The Royal Society of Chemistry 2026 |
Click here to see how this site uses Cookies. View our privacy policy here.