A multi-distance shared calibration curve for quantitative analysis of manganese in high-manganese steel based on a portable remote LIBS instrument
Abstract
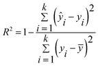
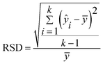
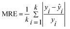
Remote laser-induced breakdown spectroscopy (LIBS) has attracted significant research attention in the field of metallurgy due to its ability to enable rapid and remote elemental analysis. However, maintaining the stability of remote analysis and achieving reliable results across varying distances remain challenging. Here, an innovative portable LIBS instrument has been developed, with a modular design to reduce complexity and increase usability. The portable remote LIBS was employed to simultaneously detect multiple elements in steel samples at different standoff distances. A multi-distance shared calibration curve was developed to provide a simple and accurate quantitative method for different standoff distances. This method allows quantitative analysis at different standoff distances with only one calibration curve. The coefficient of determination of the multi-distance shared calibration curve is 0.9641 within the standoff distance range of 2000 mm to 2400 mm, with the lowest mean relative error being 0.67% for Mn quantification at the 2000 mm distance. In field environments, the relative standard deviation of Mn element spectral line intensity decreased from 9.89% to 7.48% and that of Cr element spectral line intensity dropped from 10.34% to 8.25%. This method has shown potential usefulness as analytical quality control for remote LIBS instruments. It may be further optimized for use in production processes requiring speed and stability analysis.

Please wait while we load your content...