Development and performance evaluation of a cashew (Anacardium occidentale L.) juice extraction machine
Received
27th August 2025
, Accepted 20th February 2026
First published on 23rd March 2026
Abstract
Despite the nutritional value of cashew apples (Anacardium occidentale L.), commercial utilization remains focused primarily on the nut, leading to the wastage of large quantities of unprocessed apples. To address this challenge, a cashew juice extraction machine was developed, its performance was optimized with respect to machine parameters, and the quality of the juice was assessed using response surface methodology. The machine comprises a hopper, belt and pulley arrangement, reduction gear, top cover, frame, and extraction chamber. The major material used was stainless steel. During the extraction process, the screw conveyor presses the cashew apples against the concave sieve, extracting juice through abrasion. The performance of the machine was evaluated and optimized using response surface methodology. Data analysis was performed using analysis of variance. The optimum juice extraction efficiency and juice yield were 85.05% and 72.42%, respectively, at a screw speed of 80 rpm and a feed input of 1.5 kg for very ripe cashew apples. For ripe cashew apples, the maximum extraction loss (20%) was observed at a screw speed of 60 rpm and a feed input of 2 kg, while the minimum loss (3.33%) occurred for very ripe samples at a screw speed of 80 rpm and a feed input of 1.5 kg. The optimized operating conditions were a screw speed of 88.53 rpm and a feed input of 1.726 kg for very ripe cashew apples, and 91.05 rpm and 1.724 kg, respectively, for ripe samples. The physicochemical analysis of the extracted juice showed that ripe cashew apple juice contained 198 mg/100 g of vitamin C, had a pH of 3.37, total sugar content of 21.67%, titrable acidity (TTA) of 0.38%, tannin content of 0.17%, moisture content of 72.83%, and total soluble solids (TSS) of 10 °Brix. The sensory evaluation of cashew ripe juice was highest at 7.40 ± 1.35. In conclusion, the most nutritious juice was obtained from very ripe cashew apples. This machine proved to enhance cashew apple juice production and therefore reduce waste, especially during its bountiful harvest.
Sustainability spotlight
This study promotes sustainability by developing and evaluating a cashew juice extraction machine that enhances resource efficiency, reduces postharvest losses, and supports value addition in cashew processing. By enabling smallholder farmers and processors to maximize juice recovery from cashew apples, often discarded as waste, this study contributes to food security, income generation, and sustainable agricultural practices. It aligns with the UN Sustainable Development Goals (SDGs), 2 (Zero Hunger), 8 (Decent Work and Economic Growth), and 12 (Responsible Consumption and Production) by fostering the efficient utilization of agricultural produce and minimizing environmental waste.
|
1 Introduction
Cashew (Anacardium occidentale L.) produces a composite fruit consisting of the cashew nut, true botanical fruit, and cashew apple, which is a fleshy pseudofruit that accounts for nearly 90% of the total fruit mass.1 The cashew apple is nutritionally rich, containing high levels of reducing sugars, vitamins, minerals, carotenoids, phenolic compounds and antioxidants. Its ascorbic acid content (≈240 mg/100 g) is about six times higher than that of citrus fruits, making it a valuable source of vitamin C.2 Despite this nutritional importance, cashew apples have limited commercial value in many producing countries, including Nigeria, where only 6–10% is consumed or processed.3 Consequently, millions of tons of cashew apples are left to waste annually even though they could serve as raw materials for juices and other value-added products.4
The cashew apple is highly perishable and can only be stored for about four days under ambient conditions. Large postharvest losses occur during the peak season due to inadequate storage and limited processing capacity.5 In addition, its inherent astringency and tannin content require proper processing to obtain acceptable juice products.6 Various processing options such as jam, candy, beverages, syrup, and fermented drinks have been explored,7 but juice extraction remains one of the most practical pathways for reducing waste and increasing economic returns.
However, existing fruit juice extractors that are designed mainly for citrus, mango, or pineapple are generally unsuitable for cashew apples, yielding low extraction efficiencies and poor-quality juice. Although a manual cashew apple juice extractor with relatively high efficiency was developed by ref. 8, its throughput was limited. A motorized extractor was later proposed by ref. 9, but its performance could not be evaluated due to the lack of fresh apples. These gaps highlight the need for a dedicated cashew juice extraction machine that is not only locally made but also capable of being systematically evaluated under varying operational conditions.
In view of this, the present study focuses on the development and specifically on the performance evaluation of a cashew juice extraction machine, with an emphasis on machine configuration, operational principles, and key performance parameters necessary for optimizing extraction efficiency and supporting cashew apple value addition.
2 Materials and methods
2.1 Design consideration
The cashew apple juice extractor was designed to process fresh cashew apples efficiently, considering their size, shape, and mechanical properties according to ref. 10 and 11. The design prioritized durability, hygiene, and ease of maintenance while ensuring that the components could be fabricated or replaced using locally available materials. Stainless steel (1.5 mm thick) was selected for all contact surfaces and structural elements due to its corrosion resistance, strength, and suitability for food-grade applications.
2.2 Key components
2.2.1 Hopper. A pyramidal hopper was used to store and feed the cashew apples gradually into the extraction chamber by gravity. The hopper has a capacity of approximately 5 kg, allowing for continuous operation without frequent refilling.
2.2.2 Screw conveyor/auger. The extraction chamber contains a screw conveyor with a decreasing pitch to maximize juice extraction efficiency. The auger is driven by an electric motor at 100 rpm. Its design ensures effective crushing, squeezing, and separation of juice from the fruit pulp.
2.2.3 Drive system. A 2 hp electric motor powers the auger via a belt and pulley system. A speed reduction ratio of 10
:
1 allows the motor to operate at an optimal speed while achieving the desired auger rotation. The pulley, belt, and shaft components were selected for rigidity, load handling, and operational reliability.
2.2.4 Frame and housing. The entire assembly is supported by a rigid stainless steel frame designed for stability, ease of cleaning, and safety during operation.
2.3 Machine capacity and power requirement
• Theoretical extraction capacity: 11.4 kg h−1.
• Volumetric capacity: 12.6 L h−1.
• Total power requirement: 0.846 kW, satisfied using a 2 hp electric motor.
These specifications were used to guide the performance evaluation of the machine, including the juice yield, extraction efficiency, and operational stability.
2.4 Operational overview
In operation, cashew apples are loaded into the hopper and conveyed by the auger through the extraction chamber, and the juice is separated and collected. The screw pitch design ensures progressive crushing and efficient juice extraction while minimizing damage to the equipment.
2.5 Description and principle of operation of the cashew apple juice extractor
The developed cashew apple juice extractor consists of a feed hopper, extraction chamber, screw conveyor, concave sieve, power transmission unit, and supporting frame. Orthographic and exploded views of the machine are depicted in Fig. 1, while a pictorial view is shown in Fig. 2.
 |
| | Fig. 1 (a) Orthographic drawing of the cashew apple juice extractor. (b) Exploded drawing of the cashew apple juice extraction machine. | |
 |
| | Fig. 2 Assembled motorized cashew apple juice extraction machine. | |
2.5.1 Description of components. The feed hopper stores and guides the cashew apples into the extraction chamber by gravity. It is fabricated from food-grade stainless steel to ensure hygiene and durability. The extraction chamber houses a screw conveyor and a concave sieve. The screw conveyor, driven at a reduced speed through the motor-pulley-belt system, has a decreasing pitch along its length to promote progressive crushing and compression of the fruits. The concave sieve beneath the auger filters the juice, ensuring a smooth extract with minimal pulp.The extraction chamber provides two outlets:
2.5.1.1 Juice outlet. It is located beneath the sieve, through which the filtered juice flows into the collection basin.
2.5.1.2 Residue outlet. It is positioned at the posterior end of the chamber for the discharge of the pressed fruit pomace.The power unit comprises a 2 hp single-phase electric motor connected to belts, pulleys, and a reduction gear, which delivers the required speed and torque for effective extraction. All components are mounted on a rigid steel frame that provides stability during operation.
2.5.2 Principle of operation. Before the operation, all components were assembled, aligned, and tightened. The machine was activated by switching on the electric motor. Cashew apples of known weight were introduced into the feed hopper, from where they moved into the extraction chamber. As the screw conveyor rotated, the fruits were crushed and compressed between the auger flights, top cover, and concave sieve. This compressive action released the juice, which passed through the sieve and was collected beneath the chamber. The de-juiced residue was simultaneously expelled through the residue outlet. The combined action of controlled screw compression, filtration through the concave sieve, and continuous discharge of juice and pomace enables steady, efficient extraction of cashew apple juice.
2.6 Performance evaluation of the machine
Parameters such as juice yield, extraction efficiency, and extraction losses, as expressed in eqn (1)–(3), respectively, as stated by ref. 12 and 13, were used to determine the optimum juice extraction performance of the machine, and the factors considered were speed, feed input, and degree of ripeness. Hence, freshly harvested ripe and very ripe cashew apples were procured from Bodija market in Ibadan, Oyo State, Nigeria (7.4344 °N, 3.9131 °E). The cashew apple samples were washed, cleaned, sorted, weighed into portions (1, 1.5, and 2.0 kg) and then fed into the extractor. All necessary data were recorded. Design expert software version 13.0.5.0 was used for the evaluation using Response Surface Methodology.| |
 | (1) |
| |
 | (2) |
| |
 | (3) |
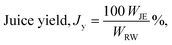
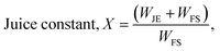
where WJE is the weight of juice extracted (kg), WRW is the weight of residual waste (kg), and WFS is the weight of the feed sample (kg).
The throughput capacity was determined using eqn (4) according to ref. 14:
| |
 | (4) |
where
QF is the quantity of cashew apple fed into the machine (kg) and
T is the time required (min).
2.7 Quality evaluation of juice extracted
The extracted cashew apple juice was evaluated for both physico-chemical and sensory properties. After extraction, juice samples were collected in clean plastic bottles and refrigerated at 4 °C until analysis.
2.7.1 Physico-chemical analysis. The physico-chemical properties of juice extracted from ripe and very ripe cashew apples were determined to evaluate the influence of fruit maturity on juice quality and extractor performance. Juice samples were collected immediately after extraction, stored in airtight food-grade plastic bottles, and refrigerated at 4 °C prior to analysis. All determinations were performed in triplicate following standard AOAC (2019) procedures according to ref. 15 and 16.The following parameters were measured using standard procedures:
2.7.1.1 pH. The pH of each juice sample was measured using a calibrated digital pH meter.
2.7.1.2 Titratable acidity (TA). TTA was determined by titration with a standardized NaOH solution and expressed as a percentage of citric acid.
2.7.1.3 Total soluble solids (TSS). TSS was measured using a digital hand-held refractometer and is reported in °Brix.
2.7.1.4 Vitamin C (ascorbic acid) content. Vitamin C content was determined by 2, 6-dichlorophenol-indophenol titration and expressed as mg/100 mL of juice.
2.7.1.5 Total sugar content. Total sugar was determined using the Lane and Eynon method and expressed as a percentage (%).
2.7.1.6 Tannin content. Tannin content was determined using the Folin-Denis colorimetric method and expressed as a percentage (%).
2.7.1.7 Moisture content. Moisture content was evaluated using the oven-drying method at 105 °C until constant weight was achieved.
2.7.2 Sensory evaluation. A semi-trained panel of 20 assessors evaluated the juice using a 9-point hedonic scale. Samples were coded and served chilled (10–12 °C) according to ref. 17–19. Panelists assessed.• Appearance/colour
• Aroma
• Taste (sweetness and astringency)
• Overall acceptability.
The panelists rinsed their mouths with water between samples to minimize bias. Ethical considerations and informed consent were followed.
2.7.3 Statistical analysis. All data were analyzed using Analysis of Variance (ANOVA), and significant differences between the means of ripe and very ripe juice samples were separated using Tukey's HSD test at a 5% significance level. Statistical analysis was conducted using SPSS version 23.0.
3 Results and discussion
3.1 Effect of operating parameters on extraction efficiency
The effects of extraction speed, feed input, and degree of ripeness on extraction efficiency, juice yield, extraction loss, and throughput capacity were statistically analysed to evaluate the performance of the machine (Table 1). Extraction efficiency generally increased as the extraction speed increased from 60 to 80 rpm, indicating that a higher rotational speed enhanced the compressive force exerted by the screw shaft on the cashew apple, thereby improving juice release. However, when the speed increased further to 100 rpm, the extraction efficiency slightly decreased compared with the value obtained at 80 rpm. This reduction may be attributed to the shorter retention time of the crushed cashew apple within the extraction chamber, which limited adequate juice separation.
Table 1 Experimental design table and the corresponding results for the responses
| Runs |
Factor 1 |
Factor 2 |
Factor 4 |
Response 1 |
Response 2 |
Response 3 |
Response 4 |
| A: Speed (rpm) |
B: Feed input (kg) |
C: Degree of ripeness |
Extraction efficiency (%) |
Juice yield (%) |
Extraction loss (%) |
Throughput capacity (kg h−1) |
| 1 |
60 |
1.5 |
Very ripe |
73.06 |
60.15 |
11.33 |
45.00 |
| 2 |
80 |
1.5 |
Very ripe |
83.33 |
71.43 |
6.67 |
51.43 |
| 3 |
80 |
2 |
Ripe |
79.86 |
65.71 |
12.50 |
52.17 |
| 4 |
60 |
1 |
Ripe |
57.14 |
44.44 |
10.00 |
29.27 |
| 5 |
80 |
2 |
Ripe |
79.86 |
65.71 |
12.50 |
52.17 |
| 6 |
100 |
1.5 |
Ripe |
77.63 |
65.38 |
13.33 |
60.00 |
| 7 |
80 |
1 |
Ripe |
73.33 |
64.71 |
15.00 |
40.00 |
| 8 |
100 |
1.5 |
Ripe |
78.95 |
66.67 |
10.00 |
60.81 |
| 9 |
80 |
1 |
Very ripe |
75.00 |
66.66 |
10.00 |
38.71 |
| 10 |
80 |
1.5 |
Very ripe |
84.34 |
73.43 |
4.67 |
51.14 |
| 11 |
80 |
2 |
Very ripe |
81.25 |
68.42 |
5.00 |
57.69 |
| 12 |
80 |
1 |
Ripe |
72.60 |
63.86 |
17.00 |
44.44 |
| 13 |
60 |
1 |
Very ripe |
69.23 |
48.39 |
7.00 |
33.33 |
| 14 |
100 |
2 |
Very ripe |
79.73 |
66.29 |
11.00 |
70.59 |
| 15 |
80 |
1.5 |
Very ripe |
87.50 |
72.41 |
3.33 |
50.00 |
| 16 |
60 |
1.5 |
Ripe |
68.49 |
57.69 |
13.33 |
40.91 |
| 17 |
60 |
2 |
Very ripe |
78.36 |
63.64 |
17.50 |
48.00 |
| 18 |
100 |
1 |
Very ripe |
76.92 |
58.82 |
15.00 |
50.00 |
| 19 |
60 |
2 |
Ripe |
62.50 |
56.25 |
20.00 |
38.59 |
The minimum extraction efficiency (57.14%) was observed at 60 rpm with 1 kg feed input for ripe apples, while the maximum efficiency (87.50%) occurred at 80 rpm with 1.5 kg feed input for very ripe apples. This indicates that moderate speed provides sufficient compression and residence time for effective juice extraction.
The ANOVA results (Table 2) show that the developed quadratic model was statistically significant (p < 0.0001), indicating that the model adequately describes the relationship between the factors and extraction efficiency. Among the factors studied, extraction speed (A), feed input (B), and degree of ripeness (C) had significant effects on extraction efficiency (p < 0.05). Additionally, the interaction between extraction speed and degree of ripeness (AC) was significant, suggesting that the influence of speed on efficiency varies depended on the ripeness of the cashew apple. However, the interaction terms AB (speed × feed input) and BC (feed input × degree of ripeness) were statistically significant.
Table 2 ANOVA for the quadratic model (Response 1: extraction efficiency)
| Source |
Sum of squares |
df |
Mean square |
F-Value |
P-Value |
|
| Model |
968.21 |
8 |
121.03 |
19.84 |
<0.0001 |
Significant |
| A: Speed |
219.87 |
1 |
219.87 |
36.05 |
0.0001 |
|
| B: Feed input |
73.01 |
1 |
73.01 |
11.97 |
0.0061 |
|
| C: Degree of ripeness |
167.30 |
1 |
167.30 |
27.43 |
0.0004 |
|
| AB |
5.17 |
1 |
5.17 |
0.8474 |
0.3790 |
|
| AC |
36.16 |
1 |
36.16 |
5.93 |
0.0352 |
|
| BC |
1.34 |
1 |
1.34 |
0.2195 |
0.6495 |
|
| A2 |
222.11 |
1 |
222.11 |
36.42 |
0.0001 |
|
| B2 |
39.03 |
1 |
39.03 |
6.40 |
0.0299 |
|
| Residual |
60.99 |
10 |
6.10 |
|
|
|
| Lack of fit |
50.37 |
5 |
10.07 |
4.75 |
0.0563 |
Not significant |
| Pure error |
10.61 |
5 |
2.12 |
|
|
|
| Cor. total |
1029.20 |
18 |
|
|
|
|
| Fit statistics |
| Std. Dev. |
2.47 |
R2 |
0.9407 |
| Mean |
76.01 |
Adjusted R2 |
0.8933 |
| C. V. % |
3.25 |
Predicted R2 |
0.6866 |
| |
|
Adeq precision |
15.7889 |
The model also showed significant quadratic effects of speed (A2) and feed input (B2), indicating the presence of curvature in the response surface and suggesting the existence of an optimum operating condition. Fig. 3 illustrates that increasing both feed input and extraction speed resulted in higher extraction efficiency up to an optimum point, after which efficiency declined. Similar observations were reported by ref. 20 for a motorized juice extractor, by ref. 21 for a portable motorized pineapple juice extractor and by ref. 22 for a portable motorized pineapple juice extractor, where moderate operating speeds provided optimal juice recovery.
 |
| | Fig. 3 (a) Response surface of the extraction efficiency for ripe cashew apples. (b) Response surface of the extraction efficiency for very ripe cashew apples. | |
Furthermore, very ripe cashew apples exhibited higher extraction efficiency than ripe apples, which can be attributed to their higher moisture content and softer tissue structure, facilitating easier juice release during mechanical pressing.
The model showed good predictive capability with a coefficient of determination (R2) of 0.9407, indicating that approximately 94.07% of the variability in extraction efficiency was explained by the model. The adjusted R2 (0.8933) was also in close agreement with the R2 value, confirming the adequacy of the model. In addition, the lack-of-fit test was not significant (p = 0.0563), indicating that the model adequately fits the experimental data. The adequate precision value of 15.79 further suggests a strong signal-to-noise ratio, confirming that the model can be used to navigate the design space.
3.2 Effect of operating parameters on juice yield
The effect of operating parameters on juice yield was evaluated using Analysis of Variance (ANOVA), and the results are presented in Table 3. Operational speed, feed input, and degree of ripeness significantly affected juice yield (p < 0.05), as well as the interactions between operational speed and feed input, and between the feed input and degree of ripeness. Fig. 4 shows that juice yield increased as the speed and feed input increased. The highest juice yield was observed at feed input (1.5 kg), followed by 3 kg due to a high rate of extraction loss. At 60 rpm, the juice yield decreased due to a low extraction rate as a result of insufficient pressure from the screw shaft on the cashew apples. However, an increased speed (80–100 rpm) led to an increase in juice yield. The highest juice yield (73.43%) for very ripe cashew apples was at 80 rpm with a feed input of 1.5 kg. The lowest juice yield (44.44%) for ripe cashew apples was at 60 rpm with a feed input of 1 kg. This is in line with the findings from ref. 12 and 22.
Table 3 ANOVA for the quadratic model (Response 2: juice yield)
| Source |
Sum of squares |
df |
Mean square |
F-Value |
P-Value |
|
| Model |
989.09 |
8 |
123.64 |
32.47 |
<0.0001 |
Significant |
| A: Speed |
164.40 |
1 |
164.40 |
43.18 |
<0.0001 |
|
| B: Feed input |
127.66 |
1 |
127.66 |
33.53 |
0.0002 |
|
| C: Degree of ripeness |
20.30 |
1 |
20.30 |
5.33 |
0.0436 |
|
| AB |
35.45 |
1 |
35.45 |
9.31 |
0.0122 |
|
| AC |
6.36 |
1 |
6.36 |
1.67 |
0.2254 |
|
| BC |
19.13 |
1 |
19.13 |
5.02 |
0.0489 |
|
| A2 |
338.31 |
1 |
338.31 |
88.85 |
<0.0001 |
|
| B2 |
102.26 |
1 |
102.26 |
26.86 |
0.0004 |
|
| Residual |
38.08 |
10 |
3.81 |
|
|
|
| Lack of fit |
30.79 |
5 |
6.16 |
4.23 |
0.0698 |
Not significant |
| Pure error |
7.28 |
5 |
1.46 |
|
|
|
| Cor. total |
1027.17 |
18 |
|
|
|
|
| Fit statistics |
| Std. Dev. |
1.95 |
R2 |
0.9629 |
| Mean |
63.13 |
Adjusted R2 |
0.9333 |
| C. V. % |
3.09 |
Predicted R2 |
0.7283 |
| |
|
Adeq precision |
18.9414 |
 |
| | Fig. 4 (a) Response surface of the juice yield for ripe cashew apples. (b) Response surface of the juice yield for very ripe cashew apples. | |
3.3 Effect of operating parameters on extraction loss
The results of the analysis of variance (ANOVA) for the evaluation of the impact of operating speed, feed input, and degree of ripeness on the extraction loss of the cashew apple juice extractor are presented in Table 4. This indicates that the degree of ripeness had a significant effect on the extraction loss of the machine. The interaction between speed and the degree of ripeness also had no significant impact on extraction loss. However, the effects of speed, feed input, and their corresponding interactions with the degree of ripeness are not significant at P < 0.05. Fig. 5 depicts that the highest extraction loss (20%) was observed at 60 rpm and a feed input (2 kg) of ripe cashew apples. These results agree with those of the Kendu pulper23 and Palmyrah fruit pulp extractor.24 The lower juice yield resulted from insufficient screw shaft speed, leading to ineffective crushing of the cashew apples. Additionally, the lowest extraction loss (3.3%) was noted at 80 rpm, with a feed input of 1.5 kg for very ripe cashew apples. These values compared favourably with the findings of ref. 8 for a motorized juice extractor.
Table 4 ANOVA for the quadratic model (Response 3: extraction loss)
| Source |
Sum of squares |
df |
Mean square |
F-Value |
P-Value |
|
| Model |
340.00 |
8 |
42.50 |
5.72 |
0.0064 |
Significant |
| A: Speed |
0.2295 |
1 |
0.2295 |
0.0309 |
0.8640 |
|
| B: Feed input |
0.0371 |
1 |
0.0371 |
0.0050 |
0.9451 |
|
| C: Degree of ripeness |
101.41 |
1 |
101.41 |
13.65 |
0.0041 |
|
| AB |
103.55 |
1 |
103.55 |
13.94 |
0.0039 |
|
| AC |
0.1088 |
1 |
0.1088 |
0.0146 |
0.9061 |
|
| BC |
11.89 |
1 |
11.89 |
1.60 |
0.2345 |
|
| A2 |
62.95 |
1 |
62.95 |
8.47 |
0.0155 |
|
| B2 |
42.64 |
1 |
42.64 |
5.74 |
0.0376 |
|
| Residual |
74.29 |
10 |
7.43 |
|
|
|
| Lack of fit |
61.10 |
5 |
12.22 |
4.63 |
0.0590 |
Not significant |
| Pure error |
13.19 |
5 |
2.64 |
|
|
|
| Cor. total |
414.29 |
18 |
|
|
|
|
| Fit statistics |
| Std. Dev. |
2.73 |
R2 |
0.8207 |
| Mean |
11.06 |
Adjusted R2 |
0.6772 |
| C. V. % |
24.64 |
Predicted R2 |
0.0139 |
| |
|
Adeq precision |
8.0844 |
 |
| | Fig. 5 (a) Response surface of the extraction loss for ripe cashew apples. (b) Response surface of the extraction loss for very ripe cashew apples. | |
3.4 Effect of operating parameters on throughput capacity of the machine
The impact of the operating parameters on the throughput capacity of the juice extractor using ANOVA (P < 0.05) is presented in Table 5. The results show that there was a significant effect of speed, feed input, degree of ripeness, and the interaction between feed input and degree of ripeness on the throughput capacity of the machine. Fig. 6 shows that throughput capacity increased with an increase in speed (60–100 rpm) and feed input (1–2 kg) for both ripe and very ripe cashew apples. A higher throughput capacity was also observed in very ripe cashew apples compared to ripe cashew apples. This may be attributed to the fact that cashews are soft fruits with high juice content; however, very ripe cashew apples produce more juice than the ripe cashew apples due to variation in moisture content. This result is in line with the findings of ref. 14 on Spondias mombin fruits.
Table 5 ANOVA for the quadratic model (Response 4: throughput capacity)
| Source |
Sum of squares |
df |
Mean square |
F-Value |
P-Value |
|
| Model |
1853.07 |
8 |
231.63 |
99.07 |
<0.0001 |
Significant |
| A: Speed |
1008.30 |
1 |
1008.30 |
431.25 |
<0.0001 |
|
| B: Feed input |
607.80 |
1 |
607.80 |
259.96 |
<0.0001 |
|
| C: Degree of ripeness |
45.99 |
1 |
45.99 |
19.67 |
0.0013 |
|
| AB |
9.16 |
1 |
9.16 |
3.92 |
0.0759 |
|
| AC |
6.70 |
1 |
6.70 |
2.87 |
0.1213 |
|
| BC |
32.80 |
1 |
32.80 |
14.03 |
0.0038 |
|
| A2 |
10.58 |
1 |
10.58 |
4.53 |
0.0593 |
|
| B2 |
34.89 |
1 |
34.89 |
14.92 |
0.0031 |
|
| Residual |
23.38 |
10 |
2.34 |
|
|
|
| Lack of fit |
20.34 |
5 |
4.07 |
6.69 |
0.0286 |
Significant |
| Pure error |
3.04 |
5 |
0.6078 |
|
|
|
| Cor. total |
1876.45 |
18 |
|
|
|
|
| Fit statistics |
| Std. Dev. |
1.53 |
R2 |
0.9875 |
| Mean |
47.90 |
Adjusted R2 |
0.9776 |
| C. V. % |
3.19 |
Predicted R2 |
0.9403 |
| |
|
Adeq precision |
36.5817 |
 |
| | Fig. 6 (a) Response surface of the throughput capacity for ripe cashew apples. (b) Response surface of the throughput capacity for very ripe cashew apples. | |
3.5 Optimization of the developed cashew apple juice extraction machine
Optimization of the machine was done using the machine parameters (operational speed, feed input, and crop parameters, such as degree of ripeness) to evaluate the extraction efficiency, juice yield, extraction loss, and throughput capacity. The goals are set correctly for the machine parameters using Design Expert Software Version 13.0.5.0 to achieve optimization. The optimization analysis was conducted to yield two solutions (Table 6). The first solution was selected and recommended for the machine parameters of the extraction machine. In order to achieve the highest extraction efficiency (85.116%), juice yield (72.726%), throughput capacity (59.611), and minimal extraction loss (5.669%), the machine should be set to an extraction speed of 88.53 rpm and 1.72 kg of very ripe cashew apple should be poured into the machine. Furthermore, to achieve maximum extraction efficiency (81.075%), juice yield (69.613%), and throughput capacity (57.316), the machine should be set to an extraction speed of 91.058 rpm and 1.724 kg of ripe cashew apples should be used.
Table 6 Optimization solutions for the cashew apple juice extraction machine
| S/N |
Speed |
Feed input |
Degree of ripeness |
Extraction efficiency |
Juice yield |
Extraction loss |
Throughput capacity |
Desirability |
|
| 1 |
88.535 |
1.726 |
Very ripe |
85.116 |
72.726 |
5.669 |
59.611 |
0.868 |
Selected |
| 2 |
91.058 |
1.724 |
Ripe |
81.075 |
69.613 |
9.724 |
57.316 |
0.732 |
|
3.6 Quality evaluation of cashew apple juice
3.6.1 Sensory evaluation of the cashew apple juice. The sensory evaluation results are presented in Table 7. There is a significant difference (P < 0.05) in the mouth feel, colour, taste, and overall acceptability of the refrigerated ripe and unripe cashew apple juice samples. The mouth feel for samples A and B was significantly different from each other; this may have resulted from the varying amounts of pulp particles in the sample. During the juice extraction process, the very ripe cashew apples had fewer pulp particles compared to the ripe cashew apples. Sample B had the highest score (6.55 ± 1.57) in terms of colour, while sample A had the lowest score (4.95 ± 2.06). There was high acceptance by the panelists of the very ripe cashew apple juice sample based on its colour. A juice may be rich in nutrients, but an unfavourable taste can deter its acceptance. In addition, the results demonstrate that sample B had the highest score (6.95 ± 1.57), while sample A had the lowest score (5.50 ± 1.87). The decrease in the taste scores of sample A could be attributed to its pH value and high tannin content.25 The overall acceptability of the two samples was determined based on the quality scores derived from the evaluation of mouth feel, colour, and taste. Sample B has a better overall acceptability of 7.40 ± 1.35, while sample A has an overall acceptability of 6.00 ± 1.72.
Table 7 Sensory properties of cashew juicea
| Sample |
A |
B |
P-Value |
| Values are means (n = 20) ± standard deviations. Means in the same row with a p-value less than 0.05 are significantly different. Key A = ripe cashew apple juice; B = very ripe cashew apple juice. |
| Mouth feel |
5.40 ± 2.23 |
7.15 ± 1.87 |
0.01 |
| Colour |
4.95 ± 2.06 |
6.55 ± 1.57 |
0.009 |
| Taste |
5.30 ± 1.87 |
6.95 ± 1.36 |
0.03 |
| Overall acceptability |
6.00 ± 1.72 |
7.40 ± 1.35 |
0.007 |
3.6.2 Physico-chemical properties of cashew apple juice. The physico-chemical characteristics of juice extracted from ripe (Sample A) and very ripe (Sample B) cashew apples are presented in Table 8. Significant differences (p < 0.05) were observed in vitamin C, pH, total sugar, total titratable acidity (TTA), tannin content and total soluble solids (TSS), while moisture content showed no significant variation between both maturity levels.
Table 8 Physico-chemical properties of juice extracted from ripe and very ripe cashew applesa
| Sample |
A |
B |
P-Value |
| Values are means ± standard deviations of triplicate determinations. Means in the same row with a p-value less than 0.05 are significantly different. A: Ripe cashew apple juice; B: very ripe cashew apple juice. |
| Vitamin C (mg/100 g pulp) |
198.33 ± 1.53 |
238.33 ± 2.89 |
<0.001 |
| pH |
3.37 ± 0.15 |
4.00 ± 0.02 |
0.002 |
| Total sugar (%) |
21.67 ± 1.08 |
41.47 ± 1.25 |
<0.001 |
| Total titratable acidity (%) |
0.38 ± 0.02 |
0.21 ± 0.02 |
<0.001 |
| Tannin (%) |
0.17 ± 0.01 |
0.07 ± 0.00 |
<0.001 |
| Moisture (%) |
72.83 ± 1.15 |
74.17 ± 0.76 |
0.17 |
| TSS (°Brix) |
10.00 ± 0.00 |
9.73 ± 0.12 |
0.02 |
The higher vitamin C content in the very ripe sample (238.33 mg/100 g) compared to the ripe sample (198.33 mg/100 g) reflects the natural increase in ascorbic acid as cashew apples advance in maturity. This trend agrees with earlier findings by ref. 8 and 26, who reported vitamin C values within 200–300 mg/100 g for matured cashew apples. Cashew apples are also known to possess vitamin C levels about five times higher than those of citrus fruits,27 which supports the high levels recorded in this study.
The pH values (3.37–4.00) fall within the typical acidic range for fruit juices. The higher pH in the very ripe sample is consistent with the reduction in organic acids that occurs during the later stages of ripening, which contributes to improved sweetness and reduced sourness. At this acidity level, the juice retains antimicrobial potential, as acidic conditions can inhibit the growth of spoilage organisms.28,29
Total sugar content also increased substantially from Sample A (21.67%) to Sample B (41.47%), indicating enhanced conversion of starches to simple sugars during ripening. Conversely, TTA showed a decreasing trend from ripe to very ripe samples, which is a pattern similarly reported by ref. 30 for cashew apples at varying maturity stages.
Total titrable acidity (TTA) varied significantly between the two maturity levels, with Sample A (ripe) showing 0.38% compared to Sample B (very ripe) showing 0.21%. This decrease in TTA with increasing fruit maturity reflects the natural reduction of organic acids, such as citric and malic acids, during ripening.26,30 Lower TTA in very ripe fruits contributes to reduced sourness, improved sweetness perception, and better juice palatability. The differences in TTA also influence the extraction process, as fruits with lower acidity may release juice more efficiently while maintaining desirable sensory characteristics.
Tannin content was higher in the ripe sample (0.17%) than in the very ripe sample (0.07%), which is consistent with the known decline in astringent polyphenols as the fruit becomes fully ripe. This reduction is desirable for cashew apple juice processing because it improves palatability and reduces bitterness.
Moisture content remained high (72.83–74.17%) in both samples, indicating that cashew apples are highly perishable and prone to rapid deterioration if not processed promptly, which agrees with.31 The TSS values (9.73–10.00 °Brix) confirm that the fruits were harvested at appropriate maturity levels, which is consistent with earlier observations by ref. 32 and 33.
Overall, differences in physico-chemical properties between ripe and very ripe cashew apples, particularly TTA, sugar content, and tannin levels, strongly influence juice palatability, while very ripe fruits, with lower TTA and tannins and higher sugar, provide juice with better sweetness and acceptability. These compositional variations directly reflect the performance of the juice extraction machine, highlighting the impact of fruit maturity on both juice quality and extraction efficiency. In addition to the physico-chemical properties reported, sensory attributes such as colour, flavor, taste, and overall acceptability were also assessed according to standard juice evaluation criteria. The results showed trends consistent with the measured physico-chemical differences between ripe and very ripe cashew apple juice.
4 Conclusion
A cashew apple juice extraction machine was successfully developed and evaluated. The machine operates on the principle of compression generated by a screw conveyor and demonstrates high extraction performance. The highest extraction efficiency (85.05%) and juice yield (72.42%) were obtained at a screw speed of 80 rpm, and a feed input of 1.5 kg for very ripe cashew apples. Machine operating parameters significantly influenced extraction performance, and the optimum conditions were determined to be 88.53 rpm using response surface methodology and 1.726 kg feed input for very ripe cashew apples.
Extraction losses were highest at 60 rpm and 2.0 kg feed input for ripe cashew apples. Sensory evaluation and chemical analysis showed that juice from very ripe cashew apples had the best overall acceptability (7.40 ± 1.35) and superior quality attributes. Overall, the results indicate that very ripe yellow cashew apples are more suitable for juice production than ripe yellow fruits.
The developed technology has strong potential to reduce the postharvest losses of cashew apples by providing an efficient, hygienic, and less labour-intensive extraction method. This innovation can significantly enhance cashew apple utilization, especially during peak production seasons when waste due to inadequate processing and storage is high.
Conflicts of interest
The authors declare that there are no conflicts of interest regarding the publication of this work.
Data availability
All data generated or analyzed during this study are included in this manuscript.
References
- C. Lagnika, A. M. O. Amoussa, A. Sanni and L. Lagnika, Am. J. Food Sci. Technol., 2019, 7, 227–233 CAS . https://pubs.sciepub.com/ajfst/7/6/10/.
- R. Ricard, M. Bulló and J. Salas-Salvadó, Nutritional composition of raw fresh cashew (Anacardium occidentale L.) kernels from different origin, Food Nutr. Sci., 2016, 4, 319–328, DOI:10.1002/fsn3.294.
- N. T. Hanh, N. T. Trang, N. T. M. Anh, N. T. Huong, N. V. Hung, V. T. Trang, N. T. Thuy and N. V. Long, Curr. Res. Nutr. Food Sci., 2024, 12(1), 115–124 Search PubMed.
- G. B. Gnagne, D. Soro, Y. A. Ouattara, E. W. Koui and E. Koffi, Afr. J. Food Nutr. Sci., 2023, 2, 22452–22469 Search PubMed . https://www.ajol.info/index.php/ajfand/article/view/244997.
- O. O. Oduwole, T. O. Akinwale and O. Olubamiwa, J. Food Sci. Technol., 2004, 6, 18–20 Search PubMed . https://www.ajol.info/index.php/jfta/article/view/19278/0.
- P. M. Jesupriya, V. M. Indumathi and K. Shanthi, Int. J. Chem. Stud., 2020, 8, 819–825 CrossRef . https://www.chemijournal.com/archives/2020/vol8issue6/PartL/8-6-84-874.pdf.
- I. Das and A. Arora, J. Eng., 2017, 194, 87–98 CAS . https://www.scirp.org/reference/referencespapers?referenceid=3542796.
- B. S. Ogunsina and E. B. Lucas, Agric. Eng. Int.: CIGR J., 2008, X, 1–19 Search PubMed.
- L. O. Oyediran, A project submitted to the Department of Mechanical Engineering, College of Engineering, University of Agriculture in partial fulfillment of the requirement of the award of Bachelor of Engineering Degree, 2010, https://www.yumpu.com/en/document/read/27527536/design-and-fabrication-of-a-motorised-cashew-juice-extractor-by-.
- H. D. Rupnawar, A. A. Sawant, N. J. Thakor, S. B. Swami and A. P. Patil, Int. J. Process. Post Harvest Technol., 2016, 7, 171–178 CrossRef . https://researchjournal.co.in/online/IJPPHT/IJPPHT7(2)/7_171-178_A.pdf.
- A. K. Aremu, T. O. Ajao, and V. O. Fatokun, The Proceeding of the 20th International Conference and 40th Annual General Meeting of the Nigerian Institution of Agricultural Engineers, NIAE, Held at Landmark University, Omu-Aran, 16-20th September, 2019, Theme on Innovations and Technologies for Sustainable Agricultural Mechanization and Livestock Transformation for Economic Growth, 2019, https://www.researchgate.net/publication/385515556 Search PubMed.
- N. A. Aviara, A. A. Lawal, D. S. Nyam and J. Bamisaye, GJEDT, 2013, 2, 16–21 Search PubMed . https://www.researchgate.net/publication/260399142.
- A. D. Eyeowa, B. S. Adesina, P. D. Diabana and O. A. Tanimola, Curr. J. Appl. Sci. Technol., 2017, 2, 1–7 CrossRef , https://www.researchgate.net/publication/318753765.
- I. O. Olaoye and O. K. Owolarafe, JMEST, 2019, 6, 10089–10095 Search PubMed . https://www.jmest.org/wp-content/uploads/JMESTN42352950.pdf.
- AOAC, Official Methods of Analysis of AOAC International, AOAC, Washington D.C. (USA), 21st edn, 2019, https://members.aoac.org/AOAC/AOAC/Item_Detail.aspx?iProductCode=1121%26Category=OMA Search PubMed.
- H. W. Aristide, B. M. Nakavoua, A. N. Loumouamoué and G. Figuérédo, Am. J. Food Sci. Technol., 2020, 8, 19–23 Search PubMed . https://pubs.sciepub.com/ajfst/8/1/3/ajfst-8-1-3.pdf.
- O. S. Oyewole, O. Ibitoye, D. A. Balogun, K. Ogungbemi, O. M. Solomon-Ibuwunwa, A. A. Kazeem, K. O. Zaka and T. O. Ajao, J. Agric. Sci. Pract., 2024, 1, 1–8, DOI:10.70407/JAP26d3658.
- O. S. Oyewole, T. O. Ajao, J. O. Famakinwa, S. N. Oyewole, M. O. Oyelakin, S. T. Popoola, B. M. Adeniyi and A. O. Alao, Agboola. Proceeding of 13th International Mardin Artuklu Scientific Researches Conference, Turkiye, 2025, pp. 1122–1130. https://www.researchgate.net/publication/390802335. Search PubMed.
- T. O. Ajao, S. N. Oyewole, O. S. Oyewole, M. B. Famakinwa, M. B. Aremu, O. Ibitoye, O. Solomon-Ibunuwa, O. Abel, K. Ogungbemi, O. V. Ajala and O. A. Ojo, Cureus J. Eng., 2025, 2, 1–14 Search PubMed.
- O. Oluwaseun, B. O. Martins, O. H. B. Adeyemi and O. M. Sanusi, FUOYE J. Eng. Technol., 2018, 3(2), 56–60 Search PubMed . https://journal.engineering.fuoye.edu.ng/index.php/engineer/article/view/209.
- A. A. Adebayo, O. M. Unuigbe and E. O. Atanda, Innovat. Syst. Des. Eng., 2014, 5, 22–29 Search PubMed . https://www.semanticscholar.org/paper/Fabrication-and-Performance-Evaluation-of-a-Juice-Adebayo-Unuigbe/c72db6a9d9c3fa6d519340c33fdbd12f38971e33.
- M. E. Akram, M. A. Khan, M. U. Khan, U. Amin, M. Haris, M. S. Mahmud, A. Zahid, M. Pateiro and J. M. Lorenzo, AgriEngineering, 2021, 3, 827–839, DOI:10.3390/agriengineering3040052.
- B. Z. Hmar, S. Mishra and R. C. Pradhan, J. Food Process. Eng., 2017, 41, e12642 CrossRef.
- P. C. Vengaiah, S. Kaleemullah, M. Madhava and T. A. D. Srikanth, Agric. Eng. Int. CIGR J., 2023, 186–195 Search PubMed.
- A. Marc, K. K. Olivier and K. D. Claver, IOSR J. Pharm., 2017, 7, 61–64 CAS . https://www.iosrphr.org/papers/v7i5V1/J0705016164.pdf.
- S. T. Lowor and C. K. Agyente-Badu, Am. J. Food Technol., 2009, 4, 154–161 CrossRef CAS.
- L. B. C. Sahie, D. Soro, K. Y. Kone, N. E. Assidjo and K. B. Yao, Nutr. Food Sci., 2023, 14, 38–57 CAS.
- N. A. Aduke, Int. J. Curr. Microbiol. Appl. Sci., 2020, 9, 3258–3265 Search PubMed.
- O. M. Akusu, D. B. Kiin-Kabari and C. O. Ebere, Am. J. Food Sci. Technol., 2016, 4, 43–47 CAS.
- A. Aluko, M. Edna and K. Neema, Curr. Res. Nutr. Food Sci., 2023, 11, 719–734 Search PubMed.
- R. O. Adeleke and O. A. Abiodun, Afr. J. Agric. Res., 2010, 5, 1273–1276 Search PubMed . https://academicjournals.org/article/article1380876881_AdelekeandAbiodun.pdf.
- M. Adou, Y. D. Adjouman, K. O. Kouadio, A. F. Tetchi and N. G. Amani, Nutr. Food Sci., 2021, 12, 787–804 CAS.
- A. P. Olalusi, O. C. Ajayi and O. C. Erinle, IOP Conf. Ser. Earth Environ. Sci., 2020, 445, 012012 CrossRef.
|
| This journal is © The Royal Society of Chemistry 2026 |
Click here to see how this site uses Cookies. View our privacy policy here.