Open Access Article
This Open Access Article is licensed under a Creative Commons Attribution-Non Commercial 3.0 Unported Licence

Methane emission from shuttle tankers during standard operations on an oil platform during oil loading

Ruth M. Purvis *ab, Ralph Burton c, Grant Allen d, Kyle Dawson e, Will S. Drysdale ab, James France fg, James R. Hopkins ab, James D. Lee ab, Alastair C. Lewis ab, Stephen Mobbs c, Thomas C. Moore b, Glen Thistlethwaite h and Stuart Young b
aNational Centre for Atmospheric Science, University of York, York, UK. E-mail: ruth.purvis@york.ac.uk
bWolfson Atmospheric Chemistry Laboratories (WACL), University of York, York, UK
cNational Centre for Atmospheric Science, University of Leeds, Leeds, UK
dSchool of Natural Sciences, Faculty of Science & Engineering, The University of Manchester, UK
eSeekops Inc., 1205 Sheldon Cove, Austin, TX, USA
fRoyal Holloway, University of London, Earth Sciences, Egham, UK
gEnvironmental Defense Fund, Office of the Chief Scientist, New York, USA
hRicardo – Member of WSP, 1st Floor, 2 Wellington Place, Leeds, UK

Received 19th September 2025 , Accepted 12th March 2026

First published on 19th March 2026


Abstract

Results are shown from a study of methane emissions from offshore oil loading in the UK North Sea. This study is the first time that methane (CH4) emissions associated with oil loading operations to shuttle tankers over the full loading cycle have been quantified, using measurements obtained from a research aircraft and an unmanned aerial vehicle (UAV), together with multiple modelling approaches. Periods of oil loading were associated with increases in CH4 emissions in both datasets, ranging from 230 kg h−1 (UAV) to 500 kg h−1 (aircraft). When loading duration and frequency are taken into account, these emissions may contribute an additional 5–47% of CH4 relative to the emissions reported by the Floating Production Storage and Offloading (FPSO) platform examined in this study. Methane emissions from oil and gas production, particularly in offshore environments, remain incompletely understood due to the large number of potential sources and the limited availability of observational data. Emissions associated with shuttle tanker loading from FPSO vessels are especially poorly characterised, with existing studies largely focused on non-methane volatile organic compounds (NMVOCs) rather than methane. Consequently, substantial uncertainty remains regarding how these emissions should be represented in emission inventories.



Environmental significance

Methane emissions from oil and gas production are not well understood, particularly offloading of oil to tankers due to lack of characterisation. For the first time measurements were taken during the cycle of off-loading of oil to a shuttle tanker from two aircraft platforms (UK research aircraft and UAV) over the course of 3 days and over several aspects of the shuttle tanker loading cycle. Enhanced emissions of CH4 were observed during the oil loading process and estimated that 5–47% more was added into the atmosphere than reported. This is important for UK and global inventories as it is currently unclear how the offloading emissions are reported and could represent significant amounts of unregulated CH4 being emitted to the atmosphere.

1 Introduction

Oil and gas production in the UK is expected to remain significant throughout the 2020s with 82 new production licenses issued in 2023, allowing companies to explore and drill for new reserves.1 New licensing requires evaluation of environmental impacts across all stages of the oil and gas life cycle, including air pollutant and greenhouse gas emissions which can affect air quality and climate on the local, regional and global scales. Methane (CH4) emissions from the oil and gas industry are well studied; the International Energy Agency (IEA) Methane Tracker bottom-up estimate found offshore emissions responsible for ∼20% of non-natural global releases in 2023.2

The Global Methane Pledge (https://www.globalmethanepledge.org/) is a non-binding international framework for national commitments to reduce methane emissions by at least 30% by 2030. In the UK, the government Net Zero Strategy3 includes objectives to reduce methane emissions from energy, agriculture and waste sectors by 68% by 2030, and 77% by 2035, compared to 1990 levels. To enable this, the North Sea Transition Authority (NTSA) now incorporates a range of methane targets for the oil and gas industry. These mainly concern managing emissions from venting and flaring based on the following principles: flaring and venting should be at lowest possible levels in all circumstances; there must be zero routine flaring and venting for all installations by 2030 with all new developments planned and developed on the basis of zero venting and flaring. To support evaluation of the delivery of these planned reductions requires an accurate assessment of the current emissions position; for this assessment, it is important to gather baseline data against which future releases can be judged.

There has been substantial international investment in measurements of oil and gas emissions and evaluation of the accuracy and uncertainties of their representation in inventories. United Nations Environment Programme's International Methane Emissions Observatory (UNEP’S IMEO) was established to provide the means to implement and monitor the commitments made in the Global Methane Pledge and to offer the data required for effective methane mitigation. In its 2023 annual report4 IMEO highlighted the gap between global measurement-based assessments and industry reported emissions. Previous emission measurement studies of operations in the North Sea have shown generally good agreement with inventory estimates when operator-specific data on activity is used to calculate emissions, with only 16% difference in aircraft measured CH4 fluxes and operator reports.5 Challenges also arise in updating inventories due to the variability of short term measurements and scaling these up for global or geographic averages and uncertainties in these. However, measurements also highlight the challenges associated with timely inventory updates that accurately represent present-day operating conditions, due to the inherent variability in short-term measurements and the additional uncertainties that arise when scaling these data to regional or global averages.

In the US, continental shelf platform-specific rates of emissions compiled from inventories have been compared to ship-based measurements.6 Short-term emission rates varied substantially and led to predicted ranges in emissions that were much broader than those based on annual emission rates.7,8 In the UK North Sea the problem of distinguishing sources is complex and mainland emissions can contribute to the methane measurements made offshore.9 This highlights the need for sufficient source-specificity in atmospheric measurements.

Floating Production Storage and Offloading (FPSO) platforms are marine vessels used in the oil industry to harvest crude oil from the sea bed. FPSO platforms are mobile and are usually used in places where it would be difficult or inconvenient to build a permanent platform. They have storage tanks on board the platform which are used to store extracted oil before it is transferred to shuttle tankers and then on to the ground-based facilities. In comparison to static platforms, the use of FPSO platforms is increasing globally with a forecast annual growth rate of 12.5% from 2025 to 2034.10 In the UK there are currently 16 offshore FPSOs that require shuttle tankers offloading, with a further 3 planned (OPRED, private communication). However, new licences granted for North Sea production make it likely more FPSOs will be used in the future.

Globally there are more than 270 FPSOs in use (with additional vessels planned), as stated by Marine Insight in 2025. The largest FPSOs are capable of holding over 2 million barrels of oil and produce over 200[thin space (1/6-em)]000 barrels a day. FPSOs have been historically utilised in the North Sea, offshore Brazil, Asia Pacific, the Mediterranean Sea and offshore West Africa. The majority of FPSOs require a shuttle tanker to offload the oil as they do not have permanent pipelines connecting them to receiving terminals. These visits can vary from a couple of days to several weeks depending on the size of the FPSO and the production rates. Methane emissions from an FPSO are similar to those from static platforms. The largest methane sources tend to be from gas flaring, venting and fugitive emissions. Gas can be deliberately vented under safety protocols, operational requirements or incomplete combustion in the flare. Other smaller methane sources include emissions equipment on the platform such as engines and turbines.

Shuttle tankers require a venting system to be in place to expel any remaining vapours in the tanks before loading fresh cargo. Often this is done via the mast riser – a valve that comes under the category of cargo tank venting systems and is a pipe-like installation that originates above the tank and vented approximately 6 m above the main deck.11 The mast riser is pressure controlled and opened during loading if required for venting. This process leads to methane and other hydrocarbon emissions. Expected atmospheric emissions from an oil and gas platform and shuttle tanker, with typical venting arrangements are shown in Fig. 1. Presently it is not clear whether these venting emissions are included for national inventory purposes as part of the ‘platform’ emissions as offloading, or otherwise assigned to shuttle tanker emissions.


image file: d5em00768b-f1.tif
Fig. 1 Expected emissions from oil shuttle tanker and typical venting arrangements taken from https://www.myseatime.com.

Research into oil loading emissions is limited and mainly concentrates on volatile organic compounds (VOC), rather than CH4. Virdi,12 ran simulations of VOC emissions during offloading and found that emissions were dependent upon both the temperature of the crude oil (with higher temperatures leading to higher emissions), and also upon the overall proportional (percentage) fill of the tank. Total emissions reduced as the tank was filled but the lower boiling point of components such as CH4, ethane, and propane, all increased with the tanker fill level. Stratification of vapours within the tank leads to an inhomogeneous release of emissions during the venting process. Initially, the more volatile species (from the upper part of the tank) are released in greater quantities with less-volatile, heavier-weight VOCs (from the bottom layers) dominating emissions toward the end of the process. This would indicate that emissions may differ globally depending on local environmental conditions, the loading plan for the tankers and the stage of the loading process at the time of the measurement.

Within the UK Environmental and Emissions Monitoring System (EEMS) it remains ambiguous whether these emissions are being reported by the FPSO operator as oil loading, fugitive emissions or indeed are not being included in reporting systems at all. Since emissions from venting are sporadic, they can be difficult to observe via satellites, as there is only a short time window for oil offloading (typical 12–24 hours). There are further technical challenges in making CH4 satellite retrievals over water13 and with frequent cloud cover over the North Sea. This highlights the need for more targeted measuring during offloading using measurement techniques that are not affected by low surface radiance over water, such as airborne in situ techniques.

This study evaluates, via measurement, the emissions from the whole lifecycle of oil loading from an FPSO to a shuttle tanker. The authors believe this is the first time these emissions have been measured, quantified and reported. Measurements were taken before, during and after the tanker docked to provide an assessment of emissions over the whole process. The CH4 emissions at each stage are calculated and finally compared to the UK emissions inventory to evaluate, if and where, these emissions are included.

2 Methods

2.1 Instrumentation

Measurements of emissions were made downwind of shuttle tanker loading (oil offloading) using airborne platforms with in situ instruments. Two platforms were used: a BAe-146 aircraft operated by the Facility for Airborne Atmospheric Measurements (FAAM); and a quadrotor UAV called the SeekIR operated by a commercial company, SeekOps.

The Facility for Airborne Atmospheric Measurements (FAAM) aircraft was equipped with a suite of gas phase chemical and meteorological instrumentation. Meteorological measurements include air temperature, wind speed, direction and turbulence, from which information about the boundary layer height, stability and structure of the atmosphere can be derived. Ambient temperature was measured using a Rosemount 102AL sensor, with a 95% confidence interval of ±0.3 K. Measurements of static air pressure were recorded from pitot tubes along the aircraft, with an accuracy of ±0.5 hPa. Measurements of 3-dimensional wind were made using a nose-mounted five-hole probe system described by Brown et al. 1983.14 A full description of the meteorological and thermodynamic instrumentation on board the FAAM aircraft can be found in Petersen & Renfrew, 2009.15

Atmospheric measurements of carbon dioxide (CO2) and methane (CH4) were sampled at 10 Hz (averaged to 1 Hz) using a cavity enhanced absorption spectrometer (Fast Greenhouse Gas Analyzer, FGGA; Los Gatos Research, USA). The representative calibration measurement uncertainties of 1 standard deviation were 3.62 ppb for CH4 and 0.84 ppm for CO2 at a sample rate of 10 Hz. The limit of detection of high-precision optical-cavity instruments such as those used on all platforms in this study is well below the atmospheric background concentrations of CH4 and CO2. Information regarding the full aircraft scientific payload can be found in Palmer et al.16 and further details of the instrumentation and collection of CO2 and methane are detailed in Foulds et al.5 For a full description of the water vapour correction, calibration regime and measurement validation, see O'Shea et al. 2013.17

The second set of measurements, by SeekOps, was supported by the platform operator to track methane emissions and used an in situ, open-cavity laser. Aboard the SeekIR UAV. Methane mixing ratio was measured at 10 Hz by tunable diode laser absorption spectroscopy (TDLAS) coupled with wavelength modulation spectroscopy (WMS) resulting in accuracy of ±10 ppb.18 The narrow spectral window is centred on 3.27 µm to avoid the influence of absorption by other common gases like CO2. The WMS spectra-locked technique also makes the CH4 measurement exceptionally robust against the presence of water vapour and aerosols within the optical cavity, Corbett and Smith (2022) reported SeekOps' quantification rates to have an average uncertainty of ±30% at 1 sigma based on a series of controlled release experiments.18 The SeekOps payload was equipped with auxiliary measurements of UAV position and ambient wind velocity, temperature and pressure. Horizontal wind velocity (uref) was measured by a 2-D sonic anemometer mounted on the helideck of the FPSO and of the tanker for the respective surveys. Wind velocity is extrapolated to the height of the UAV aircraft (z) through the log-wind profile for a neutral atmosphere assuming an aerodynamic surface roughness for open, flat terrain of z0 = 0.03 m (eqn (1)).

 
image file: d5em00768b-t1.tif(1)

2.2 Measurement location

The FAAM research aircraft flew over a 3 days period in October 2023. The weather conditions were uniform with some light cloud and little variation in wind speed. The area selected for this study was west of the Shetland Islands in the North Sea. It is an area with a limited number of platforms and other methane sources, which allows for improved isolation of sources for detection and apportionment (compared to denser fields where plumes may overlap). Recoverable reserves in the targeted field are estimated to be in the region of 250–600 million barrels of oil, this is considered to be a large field. The specific FPSO (Platform A) chosen is one of the largest globally and timings for the loading of the tanker vessel were provided by the operator. Flights were carried out before, during and after the loading of the oil (Fig. 2). The shuttle tanker involved in the study was built in 2022, with a deadweight tonnage of 148 k DWT and a capacity of approximately 960 k barrels of oil per voyage. The vessel has 10 cargo tanks and oil is distributed across the different cargo tanks in a sequence that prevents stressing the hull and maintaining the stability of the vessel; the “loading plan” is the responsibility of the captain of the vessel. As the latter was recently built it will have been fitted with a E-shuttle or vapour recovery system to reduce emissions to the atmosphere but this was not in operation at the time of this study. The author is not clear why and it is not regulated with UK waters, it was noted in the log sheet for the vessel as “not operational”.
image file: d5em00768b-f2.tif
Fig. 2 Dates and details of FAAM and UAV flights and determined part of the oil offloading cycle.

As mentioned previously the Mast Riser is a pressure control valve used to expel excess vapour in the fuel tanks whilst loading, it is not expected that there will be any emissions from shuttle tanker vented until this is put into operation. According to the log prepared by the shuttle tanker captain the loading cycle began at 1830 on 3/10/23 and the pressure release was operated at 0154 on 4/10/23 and continued to be deployed until the tanker was disconnected at 1400 on the same day. Therefore, although the tanker was offloading from the FPSO for over 20 hours, the mast riser was only open for the final 12 hours, and emissions from the cargo tankers only occurred in this time window. As mentioned in the introduction the study by Virdi et al.12 showed that although the vapour rate is higher during the initial loading stages, low boiling point VOCs such as methane actually increase in concentration as the tank continues to fill. Also, as mentioned earlier, a higher temperature of crude oil during loading results in higher volume of emissions, therefore geographical location will be important for quantifying emissions. The FAAM aircraft measured emissions between 1000–1200 hours on 4/10/23, some 8–10 hours into venting.

Owing to its smaller size and reduced operational constraints, the UAV could sample nearer to the emission sources than the FAAM aircraft. Emissions from the FPSO and the tanker were targeted on separate flights by the UAV while the FAAM aircraft measurements were a total emission from the area (both FPSO and shuttle tanker). The UAV conducted 3 flights on 4/10/23: flight 1 when the tanker was loading; flight 2 when the tanker had finished loading and; flight 3 the FPSO emission when the tanker was not loading (Fig. 2). When comparing these to the FAAM measurements we have labelled them flight 1: tanker loading, flight 2: tanker present – no loading and flight 3: post tanker.

2.3 Emissions calculation

The emissions calculations from FAAM aircraft data presented in this work are based on the methods presented in Lee et al. 2018.19 This method is a conservation-of-mass approach and assumes that the plumes have a Gaussian or near-Gaussian profile. This is the case when the background wind speeds are above roughly 4–5 m s−1 (this condition was satisfied in this study). Below this wind speed, upwind diffusion can be as significant as downwind transport and conservation of mass is not guaranteed.20 Additional assumptions include:

● There is no significant local wind shear;

● The source is located at a negligible height above the sea surface (the method takes account of surface reflections);

● There is no effect on dispersion by nearby physical structures (e.g. the FPSO and tanker themselves);

● The emission rates are constant over the period of assessment/measurement.

These are all common assumptions applied in dispersion modelling of this type – they essentially state that mass is conserved.20 The advantages, and disadvantages of this and other types of dispersion modelling in a marine context are discussed at length in Riddick et al. 2025,21 who found no single model/approach without limitations. However, as stated in Riddick et al. (2025), the present method has been validated in a marine environment.

Aircraft observations, coupled with additional sondes released by the Met Office at Lerwick (WMO ID 03005) suggested that in all cases there was a well-mixed layer. The Solution Method 2 (“Fully Mixed Layer”) from Lee et al. 2018 was used as shown in eqn (2), where x and y are the downwind and cross-plume directions respectively, C is the concentration, U is the background wind (calculated as the measured mean wind speed average outside the plume), H is the height of the mixed layer, and is the dispersion parameter in the y-direction. The source (in kg s−1) is given by q. A best fit to each plume is constructed using estimated H and observed U and C; this then gives the dispersion parameter sigma_y and the source strength q. The sigma_y values embed the integrated effects of turbulence, buoyant plume enhancement, wind direction shear, and structural downwash.22 It is possible to construct theoretical approaches to these components of sigma_y.22 However, it should be stressed that in this paper the sigma_y values are derived from the best fit to the Gaussian plume, and not from manipulated land-based formulae that rely on stability classes.23

 
image file: d5em00768b-t2.tif(2)

Reconstructed plumes, and the maximum concentrations themselves, showed that there was no consistent decay in concentration with height (i.e. no relation of the form C ∼ exp(−z2/2σz2), where σz is the dispersion parameter in the vertical direction.19 This confirms the choice of solution method.

The uncertainties in the emissions come from the variation in U, the estimates of H, and the uncertainties in the fitted parameters. These uncertainties were taken at the 95% confidence interval, with the exception of H, where an assumption that the height of the mixed layer could be ±100 m from the visually perceived height (determined by a marked increase in potential temperature derived from aircraft profiles).

In contrast, Seek Ops use a mass-balance method to quantify emissions. The methodology for mass-balanced flux measurements. Empirical testing of the SeekOps methodology has been performed through controlled release experiments that have been in onshore environments.18,24,25 The technology was deployed in an offshore experiment where the quantification results compared well against the previous year's reported emission inventory (“Drone B” in Deshpande et al., 2025). The flight patterns used for SeekOps quantification showed no limitations when deployed offshore, however, securing a pilot team for offshore deployment requires some care;26 but this does not preclude the measurement methodology from transferring efficacy from on-to-offshore. Additionally, offshore environments on average have different meteorology as compared to onshore environments; but this reality does not limit SeekOps' technology as long as the meteorological conditions are within the operating envelope as described in the technology specifications. SeekOps' TDLAS sensor operates within a humidity range of 5–95% (non-condensing) and a temperature range between −20 and 50 degrees Celsius. SeekOps will not operate the quad-rotor drone if wind speeds exceed an average of 15 m s−1.

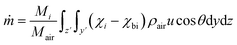
We summarize the main points for our application here. The data-driven mass-balance framework requires just two measurements: CH4 enhancement (in mole fraction) and wind velocity image file: d5em00768b-t3.tif. The wind velocity was measured at 10 Hz by a stationary sonic anemometer positioned on a 2 m mount and secured to the helideck on the respective platform being surveyed at the time. The CH4 background concentration (χbi) is determined by a sliding-window low-pass filter on the time series of the CH4 concentration (χi). Flying repeat horizontal transects at a set vertical interval and interpolating the CH4 enhancements (χiχbi) onto a 2-dimensional grid builds a so-called “fluxplane” or “screen”. We use a simple linear interpolation on the enhancement plane with a prescribed grid resolution of dy = dz = 0.25 m. The average wind speed and direction is retrieved from the anemometer and the orthogonal component (scaled to drone-altitude by a log-wind profile relationship) is multiplied by the methane enhancements and finally integrated across the fluxplane area.

The mass balance equation is written as shown below in eqn (3), where the mass flowrate image file: d5em00768b-t4.tif [kg s−1] is a function of the molar mass (Mi) of gas species “i” (in this case CH4) and of air [kg mol−1], the concentration enhancement of gas species “i” as mole fraction (χiχbi), the air density (ρair) [kg m−3], the wind speed (u) [m s−1], the interior angle between the wind direction and the normal of the flux plane (θ), and the grid cell area (dydz) [m2].

 
image file: d5em00768b-t5.tif(3)

3 Results and discussion

There was a clear enhancement in CH4 seen in the FAAM measurements whilst the tanker was loading, this is not as evident in the FAAM CO2 data indicating that the CH4 does not originate from the ship's engine exhaust or other FPSO combustion emissions. For each plume transect the background mixing ratio was defined as the lowest 10% of values for the run. The mean average of these values was then subtracted from the observations to determine the delta (Δ), or enhancement above background levels. ΔCH4 for pre-, during and post-tanker phases are shown in Fig. 3. Peaks have been aligned for ease of visualisation by rotating the flight track direction to align with the x-axis, and shifted such that each peak maxima is at 0 m displacement.
image file: d5em00768b-f3.tif
Fig. 3 Methane concentration enhancement above background from aircraft measurements made pre, during and after loading. First plot is log scale of ΔCH4, second plot is actual ΔCH4. Peaks have been aligned for ease of visualisation by rotating the flight track direction to align with the x-axis, and shifted such that each peak maximum is at 0 m displacement. Δ indicating actual measurement minus background. (Red = prior to shuttle tanker arrival, light blue = shuttle tanker attached but not loading oil, dark blue = shuttle tanker loading oil, black = shuttle tanker left the area).

Observations at offshore remote sites reveal ΔCH4/ΔCO2 ratios of less than 20 ppb ppm−1 for air masses dominated by operational anthropogenic combustion emissions.27 Our data show measurements taken pre- and post -shuttle tanker arrival are consistent with this figure (below the dashed line in Fig. 4). In contrast, those taken during loading have a bi-modal distribution indicating the presence of two separate sources. This is seen by the green markers in Fig. 4 which indicate the measurements taken when the tanker is connected. One of these modes is consistent with emissions observed during the pre- and post-tanker operations (albeit at a slightly lower ratio, Fig. 4 below the dashed line) while the other cluster, showing highly elevated methane with only limited increase in carbon dioxide, indicating some form of fugitive or venting source of emissions as well as operational emissions from combustion sources. The higher levels of CO2 are likely due to the shuttle tanker engine emissions as the engine needs to remain on during loading.


image file: d5em00768b-f4.tif
Fig. 4 CH4 and CO2 ratio for the plumes identified by time, as pre-tanker (red); tanker loading (green); and post-tanker (blue). The dashed line shows an emissions ratio of 20 ppb ppm−1, below which is an indication of FPSO operational emissions. (Red = prior to shuttle tanker arrival, green = shuttle tanker attached and loading oil, blue = shuttle tanker left the area).

The planetary boundary layer height is an important input parameter for the emissions calculation since it determines the volume into which any emitted CH4 can be mixed. This was determined at the beginning and end of each flight using meteorological sonde data from the nearby Met Office station at Lerwick, Shetland Islands as well as chemical data from the FAAM aircraft during vertical profiles (between 50 m and 1500 m above sea level) performed before and after each measurement phase. Analysis of the vertical profile of potential temperature showed a clear inversion co-located with a decrease in the CH4 concentrations observed during vertical profiles from the FAAM data sets. Typical boundary layer heights around 300 m were observed throughout the measurement period for this study. Only measurements that were within the boundary layer were used for the emission modelling. For this study oil offloading CH4 (tanker loading) emissions are not considered part of the FPSO reported operational sources. This is due to the emission not being constant and it is also not clear whether these emissions should be assigned to the shuttle tanker itself or the FPSO.

The measurements were then used to produce CH4 emissions as described in Section 2 and the emission rates for the FAAM aircraft are shown in Table 1. When flying the aircraft at 300 m, the aircraft was very close to the top of the polluted boundary layer which resulted in variability in the calculations and in some cases high concentrations were observed at higher altitude levels (>600 m). To make sure we were only comparing emissions directly from the shuttle tanker and FPSO and can compare to the UAV we have only used measurements taken below 300 m and used the maximum emission calculated.

Table 1 Calculated CH4 Emission with upper and lower bounds from the measurements taken on the FAAM and UAV tanker cycle flights
Loading cycle stage FAAM CH4 emission observed (kg h−1) FAAM CH4 upper bounds (kg h−1) FAAM CH4 lower bounds (kg h−1) UAV CH4 emission observed (kg h−1) UAV CH4 upper bounds (kg h−1) UAV CH4 lower bounds (kg h−1)
Pre tanker 60.5 86.4 40.32 7.7 19.88 0
Tanker 592.2 953.6 345.6 256.7 338.3 175.2
Post tanker 27.4 41.4 17.3 32.3 44.4 20.3


The data for both measurement platforms are shown in Fig. 6. The UAV flights operated by SeekOps were all performed on the same day (4/10/23) and were of around 15 minutes in duration. The UAV took off and landed on the oil and gas platform and could therefore be very close to the vessel ensure the platform and tanker sources could be separated in the measurement data (Fig. 5). Measurements covered an attitude window between 10–60 m capturing the full height of any plumes measured. The FAAM aircraft carried out its measurements over 3 days, with approx. 2 hours of measurements taken around the platform and tanker on every flight. The altitude window for the FAAM aircraft for level runs was from 75 m to over 1500 m. The plume was sampled using level runs lasting approximately three minutes each.


image file: d5em00768b-f5.tif
Fig. 5 UAV emissions measurements and position of UAV relative to tanker and FPSO, all three flights are shown.

Both methods show a significant increase in emissions when the shuttle tanker is present. There are several reasons for the differences in the measurements including FAAM aircraft measurements being the sum of the FPSO and shuttle tanker; and also the measurements could not be taken simultaneously due to safety reasons. The smallest time difference was between the loading measurements with the UAV flight window being from approx. 0755 for 15 minutes, FAAM then began their measurements at 10[thin space (1/6-em)]:[thin space (1/6-em)]00 until 12[thin space (1/6-em)]:[thin space (1/6-em)]13. The timings of the other flights were all on different days therefore there could be small differences in the emissions due to operations on the FPSO.

As mentioned in Section 1, the magnitude of the emissions from loading can vary depending on the timing of the loading. This could account for some of the differences in the measurements. Also, as shown in Fig. 5, the UAV could fly much closer to the FPSO and tanker with FAAM being ½ nautical mile to 4 nautical miles away. The FAAM measurements for the tanker are 48% higher than the UAV but are the sum of the FPSO and tanker whilst the UAV measurements represent only the tanker emissions. Following the tanker's departure, measurements of the FPSO from both platforms were consistent to within 20%.

In the FAAM-based approach, the uncertainties are not dependent upon emission rates per se. From eqn (1), it can be seen that emission uncertainties are dependent on uncertainties in background wind speed, boundary layer height, and estimation of the Gaussian dispersion parameters (the spread and peak concentration). Additionally, eqn (1) shows that any uncertainties are multiplicative. Thus uncertainties can be different even for identical emission rates and are dependent upon atmospheric conditions. The uncertainties are not dependent upon emission rates per se. From eqn (1), it can be seen that emission uncertainties are dependent on uncertainties in background wind speed, boundary layer height, and estimation of the Gaussian dispersion parameters (the spread and peak concentration). Additionally, eqn (1) shows that any uncertainties are multiplicative. Thus uncertainties can be different even for identical emission rates and are dependent upon atmospheric conditions. This accounts for the larger uncertainties observed in Fig. 6 during the pre-tanker stage compared to the post-tanker stage, despite comparable estimated emission rates.


image file: d5em00768b-f6.tif
Fig. 6 Methane emission with errors for the shuttle tanker loading cycle, for the UAV Tanker loading and tanker present is for the shuttle tanker emissions only and the post tanker is the FPSO measurements. Tanker present – no loading for UAV is just tanker emissions for FAAM is FPSO and tanker emissions. Tanker loading for UAV is just tanker emissions for FAAM is FPSO and tanker emissions. The FAAM error bars represent an extreme value analysis, i.e. the lowest and highest values that could be obtained from the concentration formula (eqn (1)) given the values of the individual elements in it. UAV is based on the 30% uncertainty.

Variants of the mass balance method were also investigated to test flux uncertainty sensitivity to spatial interpolations and wind data used in the forward model. These included spatial gridding, vertical layering, kriging, and sensitivity to variability in the sampled methane background concentration (following methods described in Yong et al.28). In all cases, the methane fluxes derived with variants of the method yielded results well within uncertainty (within 1 standard deviation), and no more than 10% of the calculated flux in extremis. This suggests that the UAV sampling and instrumentation used in this study are consistent with the assumptions implicit to mass balancing and emphasises the importance of carefully defined surveys with dense sampling. Additionally, we echo the suggestion made in Riddick et al. (2025)21 that offshore controlled release experiments would greatly benefit the modelling community in this area, to help identify the best modelling approach and sampling strategy, and to determine the effects of, for example, intermittency.

The Environmental and Emissions Monitoring System (EEMS) is the environmental database of the UK oil and gas industry. Its primary purpose is to record measured and calculated data relating to emissions and discharges from offshore installations and its data is incorporated into annual UK inventories of atmospheric emissions. Most of the entries are through calculations from emission factor (EI). The reported CH4 EI for oil loading is 0.000017 kg per tonne of product. On this occasion 35[thin space (1/6-em)]672.6 tonnes of oil were offloaded from the FPSO to the shuttle tanker resulting in 0.6 kg of CH4 with this factor. A tanker visited 11 times in 2023, assuming similar amounts offloaded each time, this scales up to 6.5 kg year−1 of CH4 emitted from loading. Using data from this study, however, leads to a significant increase in the calculated emission rate of 338 and 531 kg h−1 from the UAV and FAAM respectively.

In 2023, the EEMS database for the FPSO had zero CH4 emissions for loading and total methane emissions of 451 tonnes (Table 3). Yet the UAV measured enhanced emissions at 9am on the 4 October 2023, while the FAAM aircraft measured enhanced emissions from 1000–1200 GMT on the same date. From this evidence we know that the emission was not short lived and as this study shows there were enhanced emissions for at least 3 hours will use a 3 hours time window for scaling up as a lower limit, and 12 hours (how long the mast rise was open) as an upper limit. It is also assumed 11 shuttle tankers visits a year, offloading the same amount of oil (number of visits in 2023, information from operator). The annual emission for both FAAM and UAV based on the 3 hours and 12 hours time windows are presented in Table 2. This shows that, in this study, the emissions factors applied in EEMS are significantly lower than those measured.

Table 2 Calculated yearly CH4 emission calculated for a FPSO from average data from the PTECE experiment from UAV and FAAM aircraft and assuming 11 tanker visits a year (2023 data). EEMS figure is calculated using the emission indices
Method FAAM aircraft SeekOps UAV EEMS data PPRS activity data
Number of hours venting 3 12 3 12 N/A N/A
Calculated CH4 emission (kg year−1) 17[thin space (1/6-em)]523 70[thin space (1/6-em)]092 8448 33[thin space (1/6-em)]792 6.5 27[thin space (1/6-em)]846


This present study shows that the EEMS data for total CH4 emission for this FPSO could be increased by 8–15% depending on the time taken to off load oil and how long the mast riser was open. In the 2022 UK GHG Inventory Report29 it states that the EEMS and PPRS (Petroleum Production Reporting System) were assessed and the inventory used the PPRS activity data of oil production of month for the facility rather than EEMS due to lower uncertainties. It then applies the default factors from the 2019 IPCC refinement30 (currently 0.065 tonnes per thousand cubic metres) for loading of offshore production on tanker ships without a VRU (vapour recovery unit), this is derived from average of reported data from tanker ships with VRU reports from 2015–2016 Norwegian VOC Industrial Cooperation (VOCIC). This was then used to produce an annual average and compared to EEMS and FAAM and UAV emissions (Table 2) which is in the range of those calculated from aircraft data. However, it is stated in the report 2022 GHG Inventory Report that many factors can influence emissions from loading, including composition and temperature of the crude oil, how the loading system is designed and operated, whether the cargo tanks on the vessel contain hydrocarbon gases, inert gases (or a mixture of these when the loading operation starts), and weather conditions and wave heights during loading. Therefore more measurements are required at different locations and seasons.

Table 3 shows the breakdown of reported CH4 emissions from EEMS for the FPSO studied in 2023. For this year the largest source of CH4 was from gas venting (228 tonnes) but our study shows the emissions from the offloading oil process without a VRU could be the same magnitude as those from fugitives, flaring and turbines. Currently Norway is the only country to have strict regulations on the use of VRUs through the VOCIC, established to handle VOC emission research on behalf of oil companies with facilities Norwegian oil fields. Other countries do show interest in reducing emissions with Brazil, which has recently overtook the North Sea as the largest market for shuttle tankers (35 active), highlighting it as a research priority, but they do not mandate the use of them. The US has VRUs at onshore facilities but it is not standard for offshore operation. That implies that only 20% of the current active offshore oil fields worldwide have VRUs operating on shuttle tankers as standard/regulated practise, they may be fitted but are not always in use as shown in this study. This could potentially mean more unaccounted CH4 being emitted to the atmosphere.

Table 3 Breakdown of CH4 emission reported through the EEMS system for the FPSO studied in 2023 with the offloading emissions calculated in this study
Emission source EEMS diesel consumption – turbines EEMS fugitives – Gross EEMS gas consumption – turbines EEMS gas flaring – gross EEMS gas venting – gross Study offloading (range)
Calculated CH4 emission (tonnes/yr) 0.18 85.59 93.07 44.18 228.09 17.52–70.09


4 Conclusion

The study measured CH4 emissions for the first time for the life cycle of a shuttle tanker docking and offloading oil from a FPSO in the North Sea. Enhancement of CH4 was measured by 2 different aircraft over a period of at least 3 hours at a maximum emission rate of 531 kg h−1. Where this emission is logged in the current UK EEMS system is a grey area. With the FPSO measured in this study having zero for off loading emissions, there is the argument that this emission is attributable to the tanker rather than the FPSO, and should be recorded in the emissions for shuttle tankers. Data from this experiment highlights that this emission is from the tanker but it is associated with the system used for off loading oil from the FPSO. This study also shows the importance of site specific measurements –, in this case, the aircraft were an excellent platform due to the location of the facility and measurements available. It also shows that the UAV would be a good platform to achieve the CH4 measurements more routinely.

As we move towards a net zero future it is important that all CH4 emissions are routinely and correctly calculated and reported. Emissions factors need to be updated so all sources are represented, including all parts of the oil offloading cycle, and all voluntary and compulsory reporting should ensure that the oil offloading emissions are included. More measurements need to be made for the offloading cycle as the geographical region can influence oil temperatures and weather conditions. Real-world measurements of emissions whilst a VRU is operational on a shuttle tanker would also be useful to establish its effectiveness.

This work is important for UK emissions and for global inventories as it is currently unclear how the offloading emissions are measured and reported in other countries, this could be significant amounts of CH4 being emitted to the atmosphere unregulated.

Further work

We would like to test the effect of changing emission rates by completing a series of high-resolution large-eddy simulations, using for example the Weather Research and Forecasting (WRF) Skamarock et al. 2019)31 model. This would allow the plume shape and evolution to be studied and modelled dispersion compared to observations, similar to the method used in Ilyinskaya et al.32 However, this is beyond the scope of this brief paper.

Author contributions

Conceptualisation – Purvis, Lee, Burton, Mobbs; data curation – Purvis, Lee, Burton, Drysdale, Hopkins, Dawson, Moore; resources – Young, Allen, Moore, Thistlewaite, France; writing – Purvis, Lee, Lewis, Hopkins, Burton.

Conflicts of interest

There are no conflicts to declare.

Data availability

The research aircraft data from this study is available free of charge on the on the CEDA Archive under FAAM data (https://data.ceda.ac.uk/badc/faam/data/). The UAV data is owned by SeekOps Inc.

Acknowledgements

This research was funded in the framework of UNEP's International Methane Emissions Observatory (IMEO). Thanks to FAAM, Air task and Avalon staff for their flexibility to allow measurements to take place, operators for communication pre, during and post campaign. Also acknowledge OPRED for their support and the platform operators.

References

  1. Authority N, 2023, https://www.nstauthority.co.uk/regulatory-information/licensing-and-consents/licensing/.
  2. IEA, Global Methane Tracker 2024, Paris, 2004 Search PubMed.
  3. Government H, Net Zero Strategy, Build Back Greener, 2021 Search PubMed.
  4. Programme UNE, An Eye on Methane—The Road to Radical Transparency: International Methane Emissions Observatory 2023, 2023 Search PubMed.
  5. A. Foulds, G. Allen, J. T. Shaw, P. Bateson, P. A. Barker and L. Huang, et al., Quantification and assessment of methane emissions from offshore oil and gas facilities on the Norwegian continental shelf, Atmos. Chem. Phys., 2022, 22(7), 4303–4322 CrossRef.
  6. Z. Chen, T. Yacovitch, C. Daube, S. Herndon, D. Wilson and S. Enoch, et al., Reconciling Methane Emission Measurements for Offshore Oil and Gas Platforms with Detailed Emission Inventories: Accounting for Emission Intermittency, ACS Environ. Au, 2023, 3(2), 87–93 CrossRef PubMed.
  7. M. Pühl, A. Roiger, A. Fiehn, A. Negron, E. Kort and S. Schwietzke, et al., Aircraft-based mass balance estimate of methane emissions from offshore gas facilities in the southern North Sea, Atmos. Chem. Phys., 2024, 24(2), 1005–1024 Search PubMed.
  8. J. Shaw, A. Foulds, S. Wilde, P. Barker, F. Squires and J. Lee, et al., Flaring efficiencies and NOx emission ratios measured for offshore oil and gas facilities in the North Sea, Atmos. Chem. Phys., 2023, 23(2), 1491–1509 Search PubMed.
  9. M. Cain, N. J. Warwick, R. E. Fisher, D. Lowry, M. Lanoiselle and E. G. Nisbet, et al., A cautionary tale: A study of amethane enhancement over the North Sea, J. Geophys. Res. Atmos., 2017, 122(14), 7630–7645 CrossRef.
  10. G. M. Insights, FPSO Market Size – by Product, by Water Depth, Analysis, Share, Growth Forecast, 2025 - 2034, 2024, Contract No.: GMI785 Search PubMed.
  11. ORGANIZATION IM, Review of Relevant Non-mandatory Instruments as A Consequence of the Amended Marpol Annex Vi and the Nox Technical Code, 2008 Search PubMed.
  12. S. Virdi, L. Lee, C. Li and A. Dev, SIMULATION OF VOC EMISSION DURING LOADING OPERATIONS IN A CRUDE OIL TANKER, Int. J. Marit. Eng., 2021, 163, A1–A16 CrossRef.
  13. A. K. Ayasse, A. K. Thorpe, D. H. Cusworth, E. A. Kort, A. G. Negron and J. Heckler, et al., Methane remote sensing and emission quantification of offshore shallow water oil and gas platforms in the Gulf of Mexico, Environ. Res. Lett., 2022, 17(8), 084039 CrossRef.
  14. E. N. Brown, C. A. Friehe and D. H. Lenschow, The Use of Pressure-Fluctuations on the Nose of an Aircraft for Measuring Air Motion, J. Clim. Appl. Meteorol., 1983, 22(1), 171–180 CrossRef.
  15. G. N. Petersen and I. A. Renfrew, Aircraft-based observations of air-sea fluxes over Denmark Strait and the Irminger Sea during high wind speed conditions, Q. J. R. Metereol. Soc., 2009, 135(645), 2030–2045 CrossRef.
  16. P. I. Palmer, S. O'Doherty, G. Allen, K. Bower, H. Bösch and M. P. Chipperfield, et al., A measurement-based verification framework for UK greenhouse gas emissions: an overview of the Greenhouse gAs Uk and Global Emissions (GAUGE) project, Atmos. Chem. Phys., 2018, 18(16), 11753–11777 CrossRef CAS.
  17. S. J. O'Shea, S. J. B. Bauguitte, M. W. Gallagher, D. Lowry and C. J. Perciyal, Development of a cavity-enhanced absorption spectrometer for airborne measurements of CH4 and CO2, Atmos. Meas. Tech., 2013, 6(5), 1095–1109 Search PubMed.
  18. A. Corbett and B. Smith, A Study of a Miniature TDLAS System Onboard Two Unmanned Aircraft to Independently Quantify Methane Emissions from Oil and Gas Production Assets and Other Industrial Emitters, Atmosphere, 2022, 13(5), 804 CrossRef CAS.
  19. J. D. Lee, S. D. Mobbs, A. Wellpott, G. Allen, S. J. B. Bauguitte and R. R. Burton, et al., Flow rate and source reservoir identification from airborne chemical sampling of the uncontrolled Elgin platform gas release, Atmos. Meas. Tech., 2018, 11(3), 1725–1739 Search PubMed.
  20. S. P. Arya, Air Pollution Meteorology and Dispersion, Oxford University Press, 1999 Search PubMed.
  21. S. Riddick, M. Mbua, C. Laughery and D. Zimmerle, A Review of Offshore Methane Quantification Methodologies, Atmosphere, 2025, 16(5), 19 Search PubMed.
  22. S. Hanna, L. Schulman, R. Paine, J. Pleim and M. Baer, DEVELOPMENT AND EVALUATION OF THE OFFSHORE AND COASTAL DISPERSION MODEL, J. Air Pollut. Control Assoc., 1985, 35(10), 1039–1047 CrossRef CAS.
  23. C. Song, G. Chen, S. Hanna, J. Crawford and D. Davis, Dispersion and chemical evolution of ship plumes in the marine boundary layer: Investigation of O3/NOy/HOx chemistry - art. no. 4143, J. Geophys. Res. Atmos., 2003, 108(D4), 18 CrossRef.
  24. A. Ravikumar, S. Sreedhara, J. Wang, J. Englander, D. Roda-Stuart and C. Bell, et al., Single-blind inter-comparison of methane detection technologies - results from the Stanford/EDF Mobile Monitoring Challenge, Elementa: Sci. Anthropocene, 2019, 7, 16 Search PubMed.
  25. S. Deshpande, E. Collins, I. Joynes and R. O'Keeffe, Methane emissions measurement insights from an Offshore Measurement, Monitoring, Reporting and Verification study, Aust. Energy Producers J., 2025, 65(2), EP24038 Search PubMed.
  26. C. A. Tavner, D. F. Touzel, and B. J. Smith, Application of Long Endurance UAS for Top-Down Methane Emission Measurements of Oil and Gas Facilities in an Offshore Environment, SPE Offshore Europe Conference & Exhibition, 2021 Search PubMed.
  27. T. J. Conway and L. P. Steele, CARBON-DIOXIDE AND METHANE IN THE ARCTIC ATMOSPHERE, J. Atmos. Chem., 1989, 9(1–3), 81–99 Search PubMed.
  28. H. Yong, G. Allen, J. McQuilkin, H. Ricketts and J. Shaw, Lessons learned from a UAV survey and methane emissions calculation at a UK landfill, Waste Manage., 2024, 180, 47–54 CrossRef CAS.
  29. Environment REa, UK GHG Inventory Improvement: Upstream Oil and Gas, 2019 Search PubMed.
  30. Chang e IIPoC, 2019 Refinement to the 2006 IPCC Guidelines for National Greenhouse Gas Inventories, 2019 Search PubMed.
  31. W. C. Skamarock, J. B. Klemp, J. Dudhia, D. O. Gill, Z. Liu, J. Berner, W. Wang, J. G. Powers, M. G. Duda, D. M. Barker, and X.-Y. Huang, A Description of the Advanced Research WRF Version 4. 2019, 2019 Search PubMed.
  32. E. Ilyinskaya, S. Mobbs, R. Burton, M. Burton, F. Pardini and M. A. Pfeffer, et al., Globally Significant CO2 Emissions From Katla, a Subglacial Volcano in Iceland, Geophys. Res. Lett., 2018, 45(19), 10332–10341 CrossRef CAS.

This journal is © The Royal Society of Chemistry 2026
Click here to see how this site uses Cookies. View our privacy policy here.