Cis-thiolate bridged heterobimetallic complexes as efficient catalysts for glycosyl triazole synthesis
Received
26th September 2025
, Accepted 22nd December 2025
First published on 6th January 2026
Abstract
Ni(II) and Zn(II) complexes with an N^N^S tridentate ligand were synthesized and structurally characterized, revealing distorted octahedral geometries with cis-arranged thiolate sulfur atoms. Subsequent reactions with Cu(PPh3)2NO3 and Ag(PPh3)2NO3 afforded heterobimetallic complexes in which the thiolates bridge between M(II) (Ni/Zn) and M(I) (Cu/Ag) centers, as confirmed by single-crystal X-ray diffraction. These complexes were evaluated as catalysts for azide–alkyne cycloaddition (AAC) reactions. Among them, the Ni–Cu complex exhibited exceptional catalytic efficiency, promoting the synthesis of glycosyl and aryl triazoles in up to 96% yield within 10 to 30 minutes at room temperature under optimized conditions. The catalyst retained activity over multiple cycles and enabled access to diverse triazole libraries, including sialylated conjugates and sugar-fused heterocycles. These results highlight cis-thiolate-bridged heterobimetallic complexes as robust and versatile catalysts for rapid and high-yielding AAC “click” chemistry with applications in glycoconjugate synthesis.
Introduction
Over the past few decades, heterobimetallic complexes, especially those combining first-row transition metals with coinage metals, have quickly become a versatile and expanding class of compounds in coordination chemistry, catalysis, and biocatalysis.1–5 In contrast to monometallic systems, bimetallic catalysts can improve reaction speed and selectivity. This enhancement occurs either through the synergistic effects of the second metal, mediated by its electronic and steric properties, or via a cooperative mechanism where both metals participate in substrate activation, thereby reducing the overall activation energy.6–8
Only a few examples of nickel–copper and nickel–silver heterobimetallic complexes with sulfur-based ligands have been documented. Most studies have focused on mononuclear nickel complexes with tetradentate N2S2 ligands, which are commonly used as versatile precursors for the synthesis of heterobimetallics.9,10 The two cis-oriented thiolate sulfur atoms in these nickel complexes can coordinate with different metal centers, allowing the formation of diverse heterometallic assemblies. Their reactions with different metal salts and complexes of Fe, Cu, Ag, and Zn have also been reported.11–14 Recently, nickel dithiolate complexes have been used as precursors for synthesizing Ni–Cu heterobimetallic complexes.15
Only a limited number of mixed zinc–copper and zinc–silver complexes with sulfur-containing ligands have been documented. Singh et al. reported heterobimetallic Zn2+/Cu+ and Zn2+/Ag+ complexes using monothiocarboxylate ligands16,17 and reports have also been documented for the synthesis of heterobimetallic Zn2+/Cu+ complexes incorporating thiolate ligands.18–20
In 2022, the Nobel Prize in Chemistry was awarded for the development of click chemistry, which has significantly advanced the field within the scientific community. Among various aspects of click chemistry, copper(I)-catalyzed azide–alkyne cycloaddition (CuAAC) has become one of the most popular reactions in synthetic, medicinal, and materials chemistry due to its high efficiency, mild reaction conditions, and excellent regioselectivity in producing 1,4-disubstituted 1,2,3-triazoles.21,22
Typically, the active copper(I) species is generated in situ by reducing a copper(II) salt with sodium ascorbate in an aqueous medium. Over the past few years, we have focused on developing novel Cu(I) catalysts for click reactions.23–26 To date, the reported studies have focused primarily on Cu(I) and Cu(II) complexes, as well as homobimetallic and multinuclear Cu(I) complexes.27–29 A wide variety of copper(I) salts, namely copper iodide, copper bromide, copper chloride, and copper acetate, along with various coordination complexes (e.g., Cu(CH3CN)4PF6, Cu(PPh3)3Br, [(NHC)CuBr], [(ICy)2Cu]PF6, and Cu(tris(2-dioctadecylaminoethyl)amine)Br), have been extensively studied as catalysts for similar click reactions.30,31 In 2020, Nicasio et al. reported various bimetallic terphenyl phosphine Cu(I) halide complexes for the multicomponent CuAA cycloaddition reaction.32 In 2021, M. Khatua et al. reported a functionalized azoaromatic Cu(I) complex for azide–alkyne cycloaddition reactions.33 Recently, Khanzadeh et al. reported a tetranuclear Cu(I) complex with an SNS donor ligand that catalyzes a click reaction.29
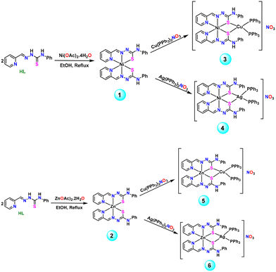
Despite these advances, heterobimetallic Ni(II)–Cu(I) and Zn(II)–Cu(I) complexes have not yet been investigated as catalysts in click chemistry. To examine how the Cu(I) center is affected by neighboring metal centers in heterobimetallic complexes, we first synthesized Ni(II) and Zn(II) complexes (Scheme 1), which were subsequently employed as precursors for the preparation of heterobimetallic complexes of Cu(I) and Ag(I) (Scheme 1). To the best of our knowledge, no heterobimetallic complexes based on octahedral Ni(II) and Zn(II) complexes have been reported so far. The catalytic performance of both monometallic and heterobimetallic complexes was then evaluated in click reactions, where complex 3 exhibited the highest activity. This catalytic protocol proved to be versatile and demonstrated excellent functional group tolerance in the synthesis of both sugar and non-sugar-based triazoles.
 |
| | Scheme 1 Synthesis of mono and bimetallic complexes 1 to 6. | |
Results and discussion
Synthesis and characterization
Many octahedral nickel and zinc complexes with N, N, S donor ligands have been previously synthesized.34–36 In all these complexes, both thiolate sulfur atoms were cis to each other, allowing them to act as bridges between two metal centers. In this work, the ligand HL, which has N, N, S donor sites, was synthesized following a previously reported procedure.37,38 This ligand was then used to prepare the previously reported Ni(II) and Zn(II) complexes, 1 and 2, respectively (Scheme 1).35,39 The synthesized complex 2 was characterized by 1H and 13C NMR spectroscopy, and both complexes were further analyzed using single-crystal X-ray diffraction. From the single-crystal X-ray diffraction analysis, it is evident that both the thiolate sulfur atoms were cis to each other. These complexes were also employed to synthesize heterobimetallic complexes 3–6 through reactions with Cu(PPh3)2NO3 and Ag(PPh3)2NO3, as shown in Scheme 1. The heterobimetallic zinc complexes were characterized by 1H and 13C NMR spectroscopy (given in SI), and the structures of the heterobimetallic complexes 3, 4, and 6 were elucidated by single-crystal X-ray diffraction analysis. The heterobimetallic complex 5 was characterized by HRMS spectrometry (given in SI).
Crystal structure description
Complexes 1 and 2 have been previously reported; however, the crystal structure of complex 1 was not reported earlier.35,39 In the reported crystal structure of complex 2, acetonitrile was present in the crystal lattice. The crystal structures of complexes 1 and 2 belong to the orthorhombic system with space group Pbca and the monoclinic system with space group C2/c, respectively. Molecular structures of complexes 1 and 2 are shown in Fig. 1 and 2, respectively. The elected bond lengths and angles of complexes 1 and 2 are given in Tables S1 and S2. In both cases, the deprotonated N^N^S tridentate ligand chelates the metal(II) center, forming a distorted octahedral geometry. The metal center bonds to the pyridyl nitrogen, the azomethine nitrogen, and the thiolate sulfur atoms of the deprotonated ligand, adopting a cis-N(pyridyl), trans-N(azomethine), and cis-S configuration. In both crystals, a dimethyl formamide (DMF) solvent is present in the crystal lattice.
 |
| | Fig. 1 The molecular structure of 1. | |
 |
| | Fig. 2 The molecular structure of complex 2. | |
The crystal structure of complex 3 belongs to the monoclinic system with space group I2/a. The molecular structure of the cationic part is depicted in Fig. 3. The selected bond lengths and angles for complex 3 are given in Table S3. Structural analysis reveals that the cation contains one Ni(II) and one Cu(I) center, bridged by a thiolate sulfur atom of the ligand. Ni(II) has a distorted octahedral geometry. The bond length of both Ni thiolate sulfur atoms is slightly longer, and the S–Ni–S bond angles are slightly decreased compared to complex 1. Meanwhile the Cu(I) center exhibits a distorted tetrahedral geometry, coordinated by two phosphorus atoms of the triphenylphosphine ligand and two sulfur atoms from the N^N^S ligands. Notably, the cis-arranged thiolate sulfur atoms act as bridging ligands between the Ni(II) and Cu(I) centers, forming the heterobimetallic core. The cationic complex is stabilized by a nitrate counterion. The Ni–Cu distance of 3.227 Å is longer than the sum of their van der Waals radii, ruling out the existence of a metal–metal bond. Notably, in all previously reported Ni–Cu complexes, the Ni center has been found in a square-planar coordination environment.40 Additionally, 0.14 water molecules are present in the crystal lattice.
 |
| | Fig. 3 The molecular structure of cationic complex 3. | |
The crystal structure of complex 4 belongs to the triclinic system with space group P
. The molecular structure of the cationic part is depicted in Fig. 4. The selected bond lengths and angles for complex 4 are given in Table S4. Structural analysis reveals that the cation contains one Ni(II) and one Ag(I) center, bridged by a thiolate sulfur atom of the ligand. The Ni(II) center is coordinated by two deprotonated N^N^S tridentate ligands, forming a distorted octahedral geometry. The coordination environment around Ni(II) adopts a cis-N(pyridyl), trans-N(azomethine), and cis-S configuration. While the Ag(I) center exhibits a distorted tetrahedral geometry, coordinated by two phosphorus atoms of the triphenylphosphine ligand and two sulfur atoms from the N^N^S ligands. Notably, the cis-arranged thiolate sulfur atoms act as bridging ligands between the Ni(II) and Ag(I) centers, forming the heterobimetallic core. The cationic complex is stabilized by a nitrate counterion. The Ni–Ag distance of 3.593 Å is longer than the sum of their van der Waals radii, ruling out the existence of a metal–metal bond. Only a few examples of Ni–Ag complexes have been reported in the literature, all of which feature the Ni(II) center in a square planar environment.15 Due to severe disorder in the solvent region, the residual electron density could not be modeled with discrete atomic positions. Therefore, a solvent mask was generated using the SQUEEZE/SOLVENT MASK procedure implemented in Olex2. The solvent-accessible cavity of 272 Å3 contained approximately 76 electrons, consistent with the presence of 1 DMF and 1 nitrate ion. The SQUEEZE-identified fragment is included in both the CIF file and the molecular formula. TGA data (Fig. S14) revealed a mass loss of approximately 5% upon heating up to 175 °C, consistent with the loss of one DMF molecule.
 |
| | Fig. 4 The molecular structure of the cationic part of complex 4. | |
The crystal structure of complex 6 belongs to the triclinic system with space group P
. The molecular structure of the cationic part is shown in Fig. 5. The selected bond lengths and angles for complex 6 are given in Table S5. Structural analysis reveals that the cation contains one Zn(II) and one Ag(I) center, bridged by a thiolate sulfur atom of the ligand. The Zn(II) center is coordinated by two deprotonated N^N^S tridentate ligands, forming a distorted octahedral geometry. The coordination environment around the Zn(II) adopts a cis-N(pyridyl), trans-N(azomethine), and cis-S configuration. Meanwhile, the Ag(I) center has a distorted tetrahedral geometry, coordinated by two phosphorus atoms of the triphenylphosphine ligand and two sulfur atoms from the N^N^S ligands. Notably, the cis-arranged thiolate sulfur atoms act as bridging ligands between the Zn(II) and Ag(I) centers, enabling the formation of a heterobimetallic core. The cationic complex is stabilized by a nitrate counterion. The Zn–Ag distance of 3.518 Å is longer than the sum of their van der Waals radii, ruling out the existence of a metal–metal bond. In the previously reported Zn(II) and Ag(I) complexes, the Zn(II) centers were present in a tetrahedral environment.17,41 Due to severe disorder in the solvent region, the residual electron density could not be modeled with discrete atomic positions. Therefore, a solvent mask was generated using the SQUEEZE/SOLVENT MASK procedure implemented in Olex2. The solvent-accessible cavity of 288 Å3 contained approximately 78 electrons, consistent with the presence of 1 DMF and 1 nitrate ion. The SQUEEZE-identified fragment is included in both the CIF file and the molecular formula. TGA data (Fig. S15) revealed a mass loss of approximately 5% upon heating up to 174 °C, consistent with the loss of one DMF molecule.
 |
| | Fig. 5 The molecular structure of the cationic part of complex 6. | |
Optimized structure of complex 5
Ground-state geometry optimization of complex 5 was performed using the Becke 3-parameter (exchange) Lee–Yang–Parr functional (B3LYP)42,43 with the LANL2DZ basis set.44,45 The structure of complex 5 was optimized in chloroform solution employing the CPCM solvation model (Fig. 6). The total electronic energy of complex 5 was found as −3126.438721 hartrees.
 |
| | Fig. 6 The optimized structure of cationic complex 5. | |
The optimized geometry indicates a Zn–Cu bond distance of 3.653 Å. The computed bond lengths are listed in Table S6.
Synthetic application of the developed complexes 1–6 for the AAC click reaction
Click chemistry21,46 is a fascinating field of chemistry that has been highly explored for the regioselective synthesis of diverse molecules of wide interest, particularly in the context of 1,2,3-triazole chemistry.47 Several approaches have been developed to construct a range of molecules with assorted applications in biology, medicine, and materials science.48–50 Moreover, glycohybrid triazoles were employed as drug targets with a broad range of applications in drug discovery and material chemistry.51,52 These assorted applications draw the attention of chemists to their synthesis, and an array of reactions was established for the rapid synthesis of glycohybrid 1,2,3-triazoles under optimized click conditions.53 Among them, reactions with the aid of metal or metal complexes have been explored extensively and highly demanded in recent years.24,53,54 These reactions still have certain limitations, such as high catalytic loading as well as requiring a long reaction time. Motivated by preceding approaches, we herein synthesized six different metal complexes 1–6 and explored them as suitable catalysts for their application in AAC click reactions. In our study, we primarily synthesized diverse O-propargylated glycoconjugates and azido derivatives using established and high-yielding protection–deprotection chemistry of glycoscience. The developed azido and alkyne analogues were characterized by 1H and 13C NMR spectroscopy (data and spectra are provided in SI) (Scheme 2).55–57
 |
| | Scheme 2 Developed glycosyl alkyne (7a–c) and glycosyl azido precursors (8a–e) used for click chemistry. | |
After successfully synthesizing the required azide and alkyne precursors, we screened the developed complexes 1–6 for their application in the azide–alkyne cycloaddition (AAC) reaction. First, a prototype reaction was set up with glucose azide 8a (1.0 equiv.), phenyl acetylene (1.2 equiv.), and heterobimetallic complex 3 (5 mol%) in anhydrous dichloromethane. The reaction mixture was allowed to stand for 30 minutes at room temperature, yielding glycohybrid 1,2,3-triazole 9a in 95% yield (Table 2, entry 1). Inspired by the above pleasing outcome, we implemented a similar reaction with low catalytic loading (2 mol%) and an AAC reaction exposure of 30 minutes; the yield was almost the same (Table 2, entry 2). Furthermore, the AAC reaction with 1 mol% of complex 3 furnished similar consequences (Table 2, entry 3). However, applying 0.1 mol% of catalyst was not economical at the same time interval, whereas increasing the reaction time up to 60 minutes using a similar catalytic loading resulted in the complete consumption of the reactant (Table 2, entries 4 and 5). Moreover, we further investigated the reactions at different catalytic loadings (0.01, 0.001, and 0.0001 mol%). The reaction progress was satisfactory with 0.01 mol% of complex 3 at a time interval of 180 minutes (Table 2, entry 7), whereas the reactions with 0.001 and 0.0001 mol% were not economical. The reaction with 0.001 mol% of catalyst delivered 20% of compound 9a, and a trace of the product was observed with 0.0001 mol% after overnight stirring (Table 2, entries 8–9). Afterwards, we implemented the base in our reaction, and the result was surprising. We executed the reaction with catalyst 3 (1 mol%) in the presence of 5 mol% K2CO3 with a similar reaction composition; this unexpectedly reduced the reaction time, and the reaction was completed in 10 minutes (Table 2, entry 10). Further, we reduced the amount of base up to 2 mol%, and after 10 minutes, the azide persisted in the reaction, confirming that 5 mol% is necessary for easy access to glycohybrid triazole 9a. In continuation, decreasing the mol% of the catalyst required additional time for reaction completion, affording 94% (with 0.1 mol% catalyst) and 75% (with 0.01 mol% catalyst) on exposure of the reaction for 30 minutes (Table 2, entries 11–12). Next, the reaction was tested with different bases (each of 5 mol%), but the results were in close agreement with DIPEA and Cs2CO3 (Table 2, entries 13–15). In the case of solvent composition, we performed the reaction using polar aprotic solvents (DCM, DCE, THF, DMF), among them, the result with DCM was found to be the best one, while the result with THF was in close agreement (Table 2, entries 16–19). Moreover, consequences with polar protic solvents (H2O, MeOH) were disappointing (Table 2, entries 20, 21). Stirring a neat mixture of 1 equiv. of azide 8a and phenyl acetylene (in excess), under the given reaction conditions, afforded the triazole in quantitative yields, within a remarkably short span of 20 min (Table 2, entry 22). In continuation, we implemented the other developed mono and hetero complexes 1, 2, 4, 5, and 6 under the given reaction conditions but found them inferior in their reactivity to complex 3 (Table 1, entries 23–28), except complex 5, which afforded 90% of the desired triazole on overnight stirring (Table 2, entry 27). Finally, we performed some control experiments, likewise, the implementation of Cu and Ni precursors [Cu(PPh3)2NO3] and [Ni(OAc)2·4H2O], as catalysts; the result was reasonable with Cu(PPh3)2NO3, and 90% of the desired glycosyl 1,2,3-triazole was isolated on overnight stirring (Table 2, entries 29, 30), whereas Ni(OAc)2·4H2O was unable to catalyze the reaction (Table 2, entry 31). Furthermore, the reaction was carried out in the amalgamation of Cu(OAc)2·H2O and HL ligand, and no triazole formation was observed in 24 h (Table 2, entry 32); another experiment was carried out with the HL ligand only, and the outcome was disappointing, indicating the necessity of the catalyst for the AAC reaction (Table 2, entry 33). At the end, we attempted the reaction in the absence of a catalyst; no product was isolated under the set conditions (Table 2, entry 34). In conclusion, the metal complexes 1–6 were tested; among them, the Ni–Cu-based complex 3 showed excellent catalytic activity and was identified as the optimized catalyst for the AAC reaction. Ultimately, optimized conditions were obtained for the synthesis of 1,2,3-triazole 9a, by using glucose azide 8a (1.0 equiv., 0.5 mmol), phenylacetylene (1.2 equiv., 0.6 mmol), and complex 3 (1 mol%), with 5 mol% of K2CO3, after stirring the reaction mixture for 10 minutes in DCM (Table 2, entry 10).
Table 1 Selected crystallographic data and structure solution parameters
| Complex |
1
|
2
|
3
|
4
|
6
|
| CCDC number |
2422624 |
2422623 |
2422632 |
2491660 |
2422625 |
| Formula |
C29H29N9NiOS2 |
C29H29N9OS2Zn |
C63H53Cl3CuN9NiO3.14P2S2 |
C71H73AgN12NiO6P2S2 |
C71H73AgN12O6P2S2Zn |
|
F
w
|
642.44 |
649.10 |
1341.04 |
1483.05 |
1489.71 |
| Crystal system |
Orthorhombic |
Monoclinic |
Monoclinic |
Triclinic |
Triclinic |
| Space group |
Pbca
|
C2/c |
I2/a |
P![[1 with combining macron]](https://www.rsc.org/images/entities/char_0031_0304.gif) |
P![[1 with combining macron]](https://www.rsc.org/images/entities/char_0031_0304.gif) |
|
a (Å) |
13.35460(10) |
14.72710(14) |
19.9114(2) |
13.47670(10) |
13.5061(2) |
|
b (Å) |
20.0062(2) |
19.29125(17) |
17.0586(2) |
16.1583(2) |
16.2043(3) |
|
c (Å) |
21.7751(2) |
11.45396(11) |
38.7226(4) |
17.9322(3) |
18.0194(3) |
|
α(°) |
90 |
90 |
90 |
102.5080(10) |
102.5640(10) |
|
β (°) |
90 |
109.6724(11) |
96.2910(10) |
102.5660(10) |
102.7590(10) |
|
γ (°) |
90 |
90 |
90 |
102.8790(10) |
102.6730(10) |
|
V (Å3) |
5817.76(9) |
3064.18(5) |
13073.3(2) |
3568.41(8) |
3603.00(11) |
|
Z
|
8 |
4 |
8 |
2 |
2 |
| Measured reflections |
56153 |
19264 |
69286 |
61301 |
69690 |
| Independent reflections |
5280 |
3017 |
11799 |
12931 |
13090 |
|
θ
min/° |
4.06 |
3.926 |
2.296 |
2.921 |
2.911 |
|
θ
max/° |
68.13 |
71.911 |
68.135 |
68.157 |
68.193 |
|
F(000) |
2672.0 |
1344.0 |
5513.0 |
1536.0 |
1540.0 |
|
μ (mm−1) |
2.638 |
2.704 |
3.357 |
3.979 |
4.026 |
|
ρ (g cm−3) |
1.467 |
1.407 |
1.363 |
1.380 |
1.373 |
| Final R1 |
0.0393 |
0.0249 |
0.0491 |
0.0300 |
0.0290 |
| wR2(F2) |
0.0890 |
0.0728 |
0.1406 |
0.0828 |
0.0823 |
| GoF |
1.088 |
1.084 |
1.028 |
1.066 |
1.063 |
Table 2 Optimization of the reaction for the synthesis of 1,2,3-triazole 9a
|

|
| Entrya |
Catalyst |
Time (in min) |
Base |
Solvent |
Yield % |
|
Molar ratios: glucose azide 8a (1.0 equiv., 0.5 mmol), phenylacetylene (1.2 equiv., 0.6 mmol), 5 mol% of K2CO3, and reactions were performed at room temperature.
Yields reported after purification by column chromatography (SiO2).
Complete conversion on TLC was observed.
Phenylacetylene has been taken in excess.
|
| 1 |
3 (5 mol%) |
30 |
— |
DCM |
95c |
| 2 |
3 (2 mol%) |
30 |
— |
DCM |
≈95c |
| 3 |
3 (1 mol%) |
30 |
— |
DCM |
≈95c |
| 4 |
3 (0.1 mol%) |
30 |
— |
DCM |
75 |
| 5 |
3 (0.1 mol%) |
60 |
— |
DCM |
94c |
| 6 |
3 (0.01 mol%) |
60 |
— |
DCM |
60 |
| 7 |
3 (0.01 mol%) |
180 |
— |
DCM |
92c |
| 8 |
3 (0.001 mol%) |
Overnight |
— |
DCM |
20 |
| 9 |
3 (0.0001 mol%) |
Overnight |
— |
DCM |
Trace |
| 10 |
3 (1 mol%) |
10 |
K2CO3 |
DCM |
≥95c |
| 11 |
3 (0.1 mol%) |
30 |
K2CO3 |
DCM |
≥94c |
| 12 |
3 (0.01 mol%) |
30 |
K2CO3 |
DCM |
≥75c |
| 13 |
3 (1 mol%) |
10 |
DIPEA |
DCM |
85 |
| 14 |
3 (1 mol%) |
10 |
Cs2CO3 |
DCM |
80 |
| 15 |
3 (1 mol%) |
10 |
Et3N |
DCM |
35 |
| 16 |
3 (1 mol%) |
10 |
K2CO3 |
DCE |
40 |
| 17 |
3 (1 mol%) |
120 |
K2CO3 |
THF |
92 |
| 18 |
3 (1 mol%) |
10 |
K2CO3 |
DMF |
20 |
| 19 |
3 (1 mol%) |
10 |
K2CO3 |
THF: water |
45 |
| 20 |
3 (1 mol%) |
10 |
K2CO3 |
Water |
Trace |
| 21 |
3 (1 mol%) |
10 |
K2CO3 |
MeOH |
NA |
| 22 |
3 (1 mol%) |
20 |
K2CO3 |
— |
92d |
| 23 |
1 (1 mol%) |
10 |
K2CO3 |
DCM |
15 |
| 24 |
2 (1 mol%) |
Overnight |
K2CO3 |
DCM |
NA |
| 25 |
4 (1 mol%) |
10 |
K2CO3 |
DCM |
30 |
| 26 |
5 (1 mol%) |
10 |
K2CO3 |
DCM |
40 |
| 27 |
5 (1 mol%) |
Overnight |
K2CO3 |
DCM |
90c |
| 28 |
6 (1 mol%) |
Overnight |
K2CO3 |
DCM |
NA |
| 29 |
Cu(PPh
3
)
2
NO
3
|
60 |
K2CO3 |
DCM |
45 |
| 30 |
Cu(PPh
3
)
2
NO
3
|
Overnight |
K2CO3 |
DCM |
90 |
| 31 |
Ni(OAC)
2
·4H
2
O
|
Overnight |
K2CO3 |
DCM |
NA |
| 32 |
Cu(OAc)
2
·H
2
O + 2HL
|
Overnight |
K2CO3 |
DCM |
NA |
| 33 |
HL
|
Overnight |
K2CO3 |
DCM |
NA |
| 34 |
— |
Overnight |
— |
DCM |
NA |
After the successful optimization, we set model reaction conditions and synthesized a library of diverse glycosyl 1,2,3-triazole derivatives 9a–n at different time intervals (Scheme 3). In our investigation, we noticed that the reaction of acetylated sugar azides with aromatic alkynes required less time for reaction completion (compounds 9a–9d). In contrast, the reaction of β-azido lactose (compound 9m) or the reaction involving sugar alkyne (compound 9n) required additional reaction time. We also investigated the reaction with selective sugar alkynes having two free –OH groups (compound 9e) and azides with one free –OH group (compounds 9f–l), and respective 1,2,3-triazoles were isolated in very good yields. The developed glycosyl triazoles were characterized by 1H, 13C NMR and HRMS spectroscopy (spectra are given in the SI).
 |
| | Scheme 3 Application of Ni–Cu-complex 3 in the synthesis of glycosyl 1,2,3-triazoles 9a–n (all the reactions were performed at 0.5 mmol scale). | |
Rather than glycosyl azides, we also executed the reaction of benzyl azide with aryl alkynes; 0.1 mol% of complex 3 is tolerable for the easy progress of the reaction. Using 0.1 mol% of complex 3, under the mentioned reaction conditions, a library of aryl-appended triazoles 9o–9r was synthesized in very good yields (Scheme 4). The developed triazoles were characterized by 1H and 13C NMR spectroscopy (spectra are given in the SI).
 |
| | Scheme 4 Application of Ni–Cu-complex 3 in AAC for the synthesis. | |
Furthermore, the operability of the reaction was tested with dialkyne and trialkyne functionalities using acetyl-protected glucose azide 8a and benzyl azide, under optimized conditions to access triazolyl glycoconjugates 9s and triazole analog 9t, respectively (Scheme 5). The results proved the efficiency of the established complex 3. Next, we tried to employ sialic acid in our reaction, which is a class of 9-carbon carboxylate monosaccharides, widely disseminated in higher eukaryotes and certain bacteria, that are determinants of many functional glycans that play vital roles in numerous physiological processes.58 In this context, we implemented the reaction of 3-ethynyl pyridine with sialic azide 8e (synthetic procedure described in SI) to access biocompatible 1,2,3-triazolyl sialoconjugate 9u in a reasonable yield (Scheme 6).
 |
| | Scheme 5 Application of Ni–Cu-complex 3 for the synthesis of bis-triazole 9s and tris 1,2,3-triazole 9t. | |
 |
| | Scheme 6 Synthesis of biocompatible triazolyl sialoconjugate 9u. | |
Moreover, an intramolecular version of the reaction was established. In this context, we synthesized the azido–alkyne derivative 15 through protection and deprotection methods in glycoscience (synthesized from the reported literature methods)59 and performed the reaction under set conditions to afford a sugar-fused heterocyclic system 9v, and the azido–alkyne precursor remained in the reaction mixture. To resolve the above-discussed negatives, we performed the reaction at 50 °C with stirring for 30 minutes and afforded 92% of the desired sugar-fused heterocyclic compound 9v (Scheme 7).
 |
| | Scheme 7 Synthesis of 1,2,3-triazol-fused tetracycle 9v through intramolecular click chemistry. | |
At the end, rather than benzyl azide, we executed the reaction of benzyl bromide, NaN3, phenylacetylene, and complex 3 in DCM at room temperature. The reaction progress was very slow, and after 24 hours, 60% of compound 9w was isolated. In continuation, motivated by previous approaches,29,33,60–62 we used water as a solvent and performed a similar reaction at 50 °C, a surprising result was obtained, and the reaction was completed in 30 minutes with 92% yield (Scheme 8). For reaction feasibility, we performed the reaction of benzyl bromide with other alkynes, and respective compounds 9x and 9y were isolated in excellent yields (Scheme 8). This reaction paved a new route toward green synthesis.
 |
| | Scheme 8 Synthesis of 1,2,3-triazoles from benzyl bromide and NaN3. | |
To evaluate the catalytic efficiency of the heterobimetallic complex, we compared its performance with selected homo-bimetallic Cu catalysts reported for AAC reactions. As summarized in Table S7 (SI), the heterobimetallic system exhibits catalytic activity that is either comparable to or higher than these reported systems under similar reaction conditions. Notably, the enhanced performance can be attributed to the cooperative action of the two different metal centers. Additionally, the catalyst demonstrates broader substrate compatibility and excellent functional-group tolerance. This class of heterobimetallic copper complexes has remained unexplored until now.
To assess the catalytic efficiency of this protocol, particularly in terms of low catalyst loading, we have incorporated a comparison with previously reported CuAAC methodologies. As presented in Table S8 (SI), the heterobimetallic complex exhibits catalytic performance that is comparable to, and in some cases surpasses, that of established Cu-based systems under analogous conditions.
The turnover numbers (TON) and turnover frequencies (TOF) obtained under different reaction conditions for complex 3 are summarized in Table 3. The turnover numbers (TON) and turnover frequencies (TOF) without base are 9200 and 51 min−1. The highest turnover numbers (TON) and turnover frequencies (TOF) under basic conditions are 7500 and 250 min−1. For quantitative assessment, two reactions were executed under the optimized reaction conditions. The first reaction was executed with glucose azide (1.33 mmol) and phenyl acetylene under the given reaction conditions to afford 78% of the desired glycosyl 1,2,3-triazole. The second one was performed with benzyl azide (7.5 mmol) and 3-ethynyl pyridine at a gram scale to furnish triazole 9p in 84% yield. These satisfactory outcomes declare the efficacy of complex 3 for AAC (Scheme 9).
Table 3 Calculation of TON and TOF for optimized compound 9a
| Entrya |
Catalyst (mol%) |
Base (5 mol%) |
Time (in minutes) |
Isolated yield (%) |
TON |
TOF (min−1) |
|
Glucose azide 8a (1.0 equiv., 0.5 mmol) and phenylacetylene (1.2 equiv., 0.6 mmol), and reactions were performed at room temperature.
|
| 1 |
3 (1) |
— |
30 |
95 |
95 |
3.2 |
| 2 |
3 (0.1) |
— |
60 |
94 |
940 |
15 |
| 3 |
3 (0.01) |
— |
180 |
92 |
9200 |
51 |
| 4 |
3 (1) |
K2CO3 |
10 |
96 |
96 |
9.6 |
| 5 |
3 (0.1) |
K2CO3 |
30 |
94 |
940 |
31.33 |
| 6 |
3 (0.01) |
K2CO3 |
30 |
75 |
7500 |
250 |
 |
| | Scheme 9 Application of complex 3 for quantitative estimation. | |
Plausible reaction mechanism
Bertrand and co-workers have shown that both mono and bimetallic complexes can mediate azide–alkyne 1,3-dipolar cycloaddition reactions, although bimetallic systems typically exhibit superior catalytic efficiency.63 In such systems, the two metal centers operate cooperatively, one activates the azide dipole, while the other activates the alkyne dipolarophile, thereby lowering the overall activation barrier and facilitating rapid formation of the metallated triazole intermediate.64,65
In the present Ni(II)–Cu(I) heterobimetallic complex, NBO calculations provide additional support for such a cooperative mechanism. The NBO analysis reveals that the Cu(I) center is almost neutral (+0.01 charge), whereas the Ni(II) center bears a significantly higher positive charge (+0.40). This electronic distribution suggests that the Ni(II) center is more strongly engaged with the azide ligand and likely plays a key role in its activation prior to the Cu-mediated cycloaddition step. Thus, the catalytic transformation is plausibly governed by a synergistic mechanism in which Ni(II) enhances azide activation, while Cu(I) facilitates the subsequent 1,3-dipolar cycloaddition, consistent with the cooperative behavior observed in other binuclear and multinuclear copper complexes.63–65 From literature insights, it is evident that the base enhances the kinetics of the reaction.63 The base promotes deprotonation of the terminal alkyne, leading to the formation of the reactive copper-acetylide intermediate.63,64,66,67 The plausible reaction mechanism was given in the SI (Scheme S1).
Recyclability of the catalyst
The reusability of the catalyst was evaluated under optimized reaction conditions. In our investigation, we checked the catalytic efficiency of the developed complex 3 up to six cycles. The reaction yield remained almost constant up to three cycles, with a minor decrease observed in the fourth cycle, at a 10-minute time interval. However, a trivial decrease in yield was observed for the 5th and 6th cycles at a 10-minute time interval. To recover the catalyst, DCM was removed under reduced pressure, and a crude product was obtained. The crude was washed with methanol 2–3 times and filtered out. The filtrate was evaporated to obtain the solid catalyst, which was used for the next cycle. After the sixth cycle, we performed HRMS of the recovered catalyst 3 (MS (ESI+) spectrum: calculated: 1156.19 [M–NO3 + H]+; found: 1156.48 [M–NO3 + H]+). In contrast, increasing the reaction time resulted in the complete conversion of the reactant into the product (Fig. 7).
 |
| | Fig. 7 Yield of product 9a using catalyst 3 at various catalytic cycles. | |
Experimental
Materials and methods
The syntheses of complexes were conducted in anhydrous solvents and oven-dried glassware. Nickel(II) acetate tetrahydrate, silver(I) nitrate, copper(II) nitrate trihydrate, zinc(II) acetate dihydrate, and all other chemicals were acquired from commercial sources and used as received. The ligand HL,37,38 Cu(PPh3)2NO3,68 and Ag(PPh3)2NO3 (ref. 69) were synthesized following the already reported methods. Infrared spectra in the 4000–400 cm−1 region were recorded as KBr pellets using a PerkinElmer FT-IR spectrophotometer. NMR spectra were obtained using a JEOL ECZ 500 MHz NMR spectrometer (1H at 500.16 MHz and 13C at 125.77 MHz). The mass spectra were recorded using a SCIEX Model-X500R QTOF mass spectrometer operated in ESI mode.
Single-crystal X-ray diffraction analysis
X-ray intensity data of crystals (1–4, 6) with well-defined morphology were collected using the ‘XtaLAB Synergy Daulflex, Hipix 3000’ HPAD detector and a CuKα (λ = 1.54184 Å) radiation source. The structures were solved using SHELXT and refined by full-matrix least-squares procedures with the SHELX-2018 (ref. 70, 71) software package through the OLEX2 suite.72 Important crystallographic data and structure solutions are presented in Table 1. For complexes 4 and 6, a solvent mask was applied during refinement using the Olex2 software.72
Synthesis of [NiL2]·DMF 1
A suspension of N-phenyl-2-(pyridin-2-ylmethylene)hydrazine-1-carbothioamide HL (0.256 g, 1 mmol) in 15 mL of ethanol was heated to 75 °C to obtain a clear light-yellow solution to which a solution of nickel(II) acetate tetrahydrate (0.124 g, 0.5 mmol) in 5 mL of hot ethanol was added. The reaction mixture turned dark brown immediately, and it was then refluxed for 3 hours. A dark brown precipitate was separated, which was collected by filtration, washed several times with ethanol and diethyl ether (10 ml each), and dried under vacuum. X-ray-quality brown crystals were obtained through recrystallization from dimethylformamide solution. Yield: 0.245 g (86%). Elemental analysis (CHN): calculated for C29H29N9NiOS2; C 54.22, H 4.55, N 19.62; found C 54.13, H 4.12, N 19.02; IR spectrum (KBr, cm−1): 1657 ν(CO), 1599 ν(CN), 1532 ν(CS) 750 νasym(CS).
Synthesis of [ZnL2]·DMF 2
A suspension of N-phenyl-2-(pyridin-2-ylmethylene)hydrazine-1-carbothioamide HL (0.256 g, 1 mmol) in 15 mL of ethanol was heated to 75 °C to obtain a clear light-yellow solution to which a solution of zinc(II) acetate dihydrate (0.110 g, 0.5 mmol in 10 mL of hot ethanol) was added. A yellow precipitate was immediately separated, and the reaction mixture was refluxed for 3 hours. The yellow precipitate was collected by filtration, washed several times with ethanol and diethyl ether (10 mL each), and dried under vacuum. X-ray-quality brown crystals were obtained from a dimethylformamide solution. Yield: 0.242 g (84%). Elemental analysis (CHN): calculated for C29H29N9OS2Zn; C 53.66, H 4.50, N 19.42; found C 53.03, H 4.17, N 19.12; IR spectrum (KBr, cm−1): 1603 ν(C
N), 1538 ν(C
S), 748 νasym(C
S). 1H NMR (500.16 MHz, DMSO-d6, ppm): δ 9.48(s, 2H), 8.75(s, 2H), 7.97(d, J = 5 Hz, 2H), 7.85–7.91(m, 6H), 7.67(d, J = 6.5 Hz, 2H), 7.33–7.36(m, 2H), 7.27(t, J = 8 Hz, 4H), 6.96(t, J = 8 Hz, 2H). 13C NMR (125.77 MHz, DMSO-d6, ppm): δ 179.4, 148.9, 147.0, 141.9, 141.5, 139.5, 128.7, 125.6, 125.1, 122.3, 121.2.
Synthesis of [NiL2Cu(PPh3)2]NO3·CHCl33
In a 25 mL round-bottom flask, complex 1 (143 mg, 0.25 mmol) was dissolved in 5 mL of chloroform at room temperature. Cu(PPh3)2NO3 (163 mg, 0.25 mmol) was then added while stirring. The reaction mixture was stirred for 24 hours. The solvent was evaporated from the resulting solution, and the residue was washed successively with diethyl ether (3 × 5 mL) and n-hexane (3 × 5 mL), then dried under vacuum for 3 hours. Brown crystals suitable for X-ray analysis were obtained through recrystallization from a chloroform solution. Yield: 0.284 g (93%). Elemental analysis (CHN): calculated for C63H53Cl3CuN9NiO3P2S2; C 56.52, H 3.99, N 9.42; found: C 55.92, H 3.85, N 9.12; IR spectrum (KBr, cm−1): 1600 ν(C
N), 1542 ν(C
S), 746 νasym(C
S).
Synthesis of [NiL2Ag(PPh3)2]NO3·[DMF]34
In a 25 mL round-bottom flask, complex 1 (143 mg, 0.25 mmol) was dissolved in 5 mL of chloroform at room temperature. Then, Ag(PPh3)2NO3 (174 mg, 0.25 mmol) was added with stirring at the same temperature. The mixture was stirred for 24 hours. The solvent from the resulting solution was evaporated, and the residue was sequentially washed with diethyl ether (3 × 5 mL) and n-hexane (3 × 5 mL), then dried under vacuum for 3 hours. Brown crystals suitable for X-ray analysis were obtained through recrystallization from a DMF solution. Yield: 0.291 g (92%). Elemental analysis (CHN): calculated for C71H73AgN12NiO6P2S2; C: 57.50; H: 4.96, N 11.33; found: C 60.12, H 4.51, N 9.97. IR spectrum (KBr, cm−1): 1670 ν(CO), 1599 ν(CN), 1519 ν(CS), 745 νasym(CS).
Synthesis of complex [ZnL2Cu(PPh3)2]NO35
Complex 5 was synthesized using a method similar to that for complex 3. Instead of complex 1, complex 2 was used. X-ray quality brown crystals were recrystallized from a DMF solution. Yield: 0.276 g (90%). Elemental analysis (CHN): calculated for C62H52CuN9ZnO3P2S2; C 60.73, H 4.27, N 10.28; found: C 59.96, H 4.11, N 9.86; IR spectrum (KBr, cm−1): 1598 ν(CN), 1534 ν(CS) 746 νasym(CS). 1H NMR (600 MHz, DMSO-d6, ppm): δ 9.57, 8.94, 8.09, 7.93, 7.61, 7.57, 7.50, 7.25, 7.14, 6.92, 5.76. 13C NMR (151 MHz, DMSO-d6, ppm): δ 148.32, 147.22, 140.64, 133.80, 132.86, 131.99, 131.93, 130.17, 129.27, 129.20, 128.77, 128.48, 126.28, 122.84, 121.25, 55.39. MS (ESI+) spectrum: calculated: 1161.182 [M–NO3]+; found: 1161.1933 [M–NO3]+.
Synthesis of [ZnL2Ag(PPh3)2]NO3·[DMF]36
Complex 6 was synthesized using a method similar to that for complex 4. Instead of complex 1, complex 2 was used. Yellow crystals of X-ray quality were recrystallized from a green DMF solution. Yield: 0.295 g (93%). Elemental analysis (CHN): calculated for C71H73AgN12O6P2S2Zn; C 57.24, H 4.94, N 11.28; found C 57.65, H 4.70, N 10.53; IR spectrum (KBr, cm−1): 1672 ν(CO), 1599 ν(CN), 1520 ν(CS) 745 νasym(CS).1H NMR (500.16 MHz, DMSO-d6, ppm): δ 9.67(s, 2H), 8.80(s, 2H), 8.06 (t, J = 8 Hz, 2H), 7.91–7.97(m, 5H), 7.36–7.46(m, 10H), 7.16–7.21(m, 26H), 7.07(t, J = 8 Hz, 5H), 6.86(t, J = 8 Hz, 2H), 2.83(s, 6H), 2.72(s, 6H). 13C NMR (125.77 MHz, DMSO-d6, ppm): δ 163.21, 148.77, 147.59, 144.59, 140.99, 140.84, 134.14, 132.92, 131.09, 129.63, 128.73, 126.92, 126.45, 123.07, 121.70, 36.64, 31.65.
General synthetic procedure for glycohybrid 1,2,3-triazoles 9a–v
Take the azide (1.0 equiv., 0.5 mmol), alkyne (1.2 equiv., 0.6 mmol), complex 3 (1 mol% for glycosyl triazoles and 0.1 mol% for aryl triazoles), along with K2CO3 (5 mol%) in anhydrous dichloromethane. The resultant mixture was allowed to stir at room temperature for 10 to 30 minutes in a capped borosil vial. After the completion of the reaction (monitored by thin-layer chromatography), the reaction mixture was passed through celite, and the solvent was evaporated in vacuo. After workup in ethyl acetate, the residue was subjected to column chromatography using ethyl acetate/n-hexane as the eluent to furnish the respective glycohybrid 1,2,3-triazoles 9. The developed triazoles were characterized by 1H, 13C NMR and HRMS spectroscopy (spectra are given in the SI).
(2R,3R,4S,5R,6R)-2-(Acetoxymethyl)-6-(4-phenyl-1H-1,2,3-triazol-1-yl)tetrahydro-2H-pyran-3,4,5-triyl triacetate (9a)73.
White solid; yield: 226 mg (95%); Rf = 0.5 (40% ethyl acetate/n-hexane); 1H NMR (500 MHz, CDCl3): δ = 8.00 (s, 1H), 7.83 (d, J = 7.0 Hz, 2H), 7.44–7.41 (m, 2H), 7.36–7.33 (m, 1H), 5.94 (d, J = 9.5 Hz, 1H), 5.52 (t, J = 9.5 Hz, 1H), 5.44 (t, J = 9.5 Hz, 1H), 5.29–5.25 (m, 1H), 4.35–4.31 (m, 1H), 4.17–4.14 (m, 1H), 4.05–4.01 (m, 1H), 2.08 (s, 3H), 2.07 (s, 3H), 2.03 (s, 3H), 1.87 (s, 3H); 13C{1H} NMR (125 MHz, CDCl3): δ = 170.4, 169.8, 169.3, 168.9, 148.4, 129.9, 128.8, 128.5, 125.9, 117.6, 85.8, 75.1, 72.7, 70.2, 67.8, 61.5, 20.6, 20.5, 20.4 and 20.1 ppm.
(2R,3S,4S,5R,6R)-2-(Acetoxymethyl)-6-(4-(pyridin-2-yl)-1H-1,2,3-triazol-1-yl)tetrahydro-2H-pyran-3,4,5-triyl triacetate (9b).
White solid; yield: 216 mg (91%); Rf = 0.1 (40% ethyl acetate/n-hexane); 1H NMR (500 MHz, CDCl3): δ = 8.61 (d, J = 4.0 Hz, 1H), 8.50 (s, 1H), 8.17 (d, J = 8.0 Hz, 1H), 7.80–7.77 (m, 1H), 7.26–7.24 (m, 1H), 5.95 (d, J = 8.0 Hz, 1H), 5.65–5.58 (m, 2H), 5.33–5.30 (m, 1H), 4.31–4.29 (m, 1H), 4.23–4.14 (m, 2H), 2.24 (s, 3H), 2.04–2.02 (m, 6H), 1.91 (s, 3H); 13C{1H} NMR (125 MHz, CDCl3): δ = 170.1, 169.8, 169.7, 168.8, 149.5, 149.3, 148.7, 136.8, 123.0, 120.5, 120.2, 86.2, 73.8, 70.7, 68.0, 66.8, 61.1, 20.5, 20.4, 20.3 and 20.1 ppm.
(2R,3R,4S,5R,6R)-2-(Acetoxymethyl)-6-(4-(pyridin-3-yl)-1H-1,2,3-triazol-1-yl)tetrahydro-2H-pyran-3,4,5-triyl triacetate (9c).
White solid; 212 mg (89%); Rf = 0.1 (40% ethyl acetate/n-hexane); 1H NMR (500 MHz, CDCl3): δ = 9.01 (s, 1H), 8.57 (d, J = 4.0 Hz, 1H), 8.16 (d, J = 8.0 Hz, 1H), 8.11 (s, 1H), 7.36–7.33 (m, 1H), 5.95 (d, J = 9.5 Hz, 1H), 5.52–5.42 (m, 2H), 5.27–5.23 (m, 1H), 4.33–4.29 (m, 1H), 4.15 (d, J = 10.5 Hz, 1H), 4.05–4.03 (m, 1H), 2.05 (s, 6H), 2.01 (s, 3H), 1.86 (s, 3H); 13C{1H} NMR (125 MHz, CDCl3): δ = 170.3, 169.7, 169.2, 168.9, 149.5, 147.1, 145.4, 133.1, 126.0, 123.6, 118.2, 85.8, 75.1, 72.5, 70.2, 67.6, 61.5, 20.5, 20.44, 20.42 and 20.0 ppm. HRMS (ESI+) m/z: [M + H]+ calcd. For, C21H25N4O9+, 477.1617; found, 477.1605.
(2R,3R,4S,5R,6R)-2-(Acetoxymethyl)-6-(4-(thiophen-3-yl)-1H-1,2,3-triazol-1-yl)tetrahydro-2H-pyran-3,4,5-triyl triacetate (9d)73.
White solid; yield: 203 mg (92%); Rf = 0.5 (40% ethyl acetate/n-hexane); 1H NMR (500 MHz, CDCl3): δ = 7.90 (s, 1H), 7.71 (d, J = 2.5 Hz, 1H), 7.44 (d, J = 4.0 Hz, 1H), 7.39–7.37 (m, 1H), 5.93 (d, J = 9.5 Hz, 1H), 5.50 (t, J = 9.5 Hz, 1H), 5.45–5.41 (m, 1H), 5.26 (t, J = 9.5 Hz, 1H), 4.33–4.30 (m, 1H), 4.15–4.08 (m, 1H), 4.04–4.01 (m, 1H), 2.07–2.06 (m, 6H), 2.02 (s, 3H), 1.87 (s, 3H); 13C{1H} NMR (125 MHz, CDCl3): δ = 170.4, 169.8, 169.3, 168.9, 144.6, 131.0, 126.4, 125.7, 121.7, 117.4, 85.7, 75.1, 72.7, 70.1, 67.7, 61.5, 20.6, 20.48, 20.46 and 20.1 ppm.
(R)-1-((3aR,5R,6S,6aR)-6-((1-Benzyl-1H-1,2,3-triazol-4-yl)methoxy)-2,2-dimethyltetrahydrofuro[2,3-d][1,3]dioxol-5-yl)ethane-1,2-diol (9e).
Sticky; yield = 158 mg (81%); Rf = 0.4 (40% ethyl acetate/n-hexane); 1H NMR (500 MHz, CDCl3): δ = 7.41 (s, 1H), 7.35 (s, 3H), 7.26 (s, 2H), 5.90 (s, 1H), 5.48 (s, 2H), 4.85 (d, J = 13.0 Hz 1H), 4.64 (d, J = 13.5 Hz 1H), 4.57 (d, J = 4.0 Hz, 1H), 4.13–4.11 (m, 2H), 4.03 (s, 1H), 3.85–3.82 (m, 1H), 3.67–3.64 (m, 1H), 2.71 (s, 1H), 1.45 (s, 3H), 1.28 (s, 3H); 13C{1H} NMR (125 MHz, CDCl3): δ = 144.5, 134.1, 129.1, 128.8, 128.1, 121.7, 111.7, 105.3, 82.3, 82.1, 80.3, 68.3, 64.5, 62.8, 54.3, 26.6 and 26.2 ppm. HRMS (ESI+) m/z: [M + H]+ calcd. For, C19H26N3O6+, 392.1817; found, 392.1809.
(R)-2-(4-(4-Fluorophenyl)-1H-1,2,3-triazol-1-yl)-1-((3aR,5R,6S,6aR)-6-methoxy-2,2-dimethyltetrahydrofuro[2,3-d][1,3]dioxol-5-yl)ethan-1-ol (9f).
White solid; yield: 167 mg (88%); Rf = 0.5 (40% ethyl acetate/n-hexane); 1H NMR (500 MHz, CDCl3): δ = 7.82 (s, 1H), 7.68–7.65 (m, 2H), 7.07–7.03 (m, 2H), 5.92 (d, J = 4.0 Hz 1H), 4.79–4.75 (m, 1H), 4.59 (d, J = 4.0 Hz 1H), 4.45–4.40 (m, 2H), 3.95–3.88 (m, 3H), 3.44 (s, 3H), 1.38 (s, 3H), 1.31 (s, 3H); 13C{1H} NMR (125 MHz, CDCl3): δ = 162.5 (d, JC–F = 246.1 Hz) 146.4, 127.2 (d, JC–F = 8.3 Hz), 126.4, 121.2, 115.7 (d, JC–F = 21.6 Hz), 111.9, 105.1, 83.5, 81.6, 80.1, 67.5, 58.1, 54.0, 26.6 and 26.2 ppm.19 FNMR (470 MHz, CDCl3): δ = −114.1 ppm. HRMS (ESI+) m/z: [M + H]+ calcd. For, C18H23FN3O5+, 380.1617; found, 380.1602.
(R)-2-(4-(3,5-Difluorophenyl)-1H-1,2,3-triazol-1-yl)-1-((3aR,5R,6S,6aR)-6-methoxy-2,2-dimethyltetrahydrofuro[2,3-d][1,3]dioxol-5-yl)ethan-1-ol (9g).
Pale yellow sticky; yield: 159 mg (80%); Rf = 0.6 (40% ethyl acetate/n-hexane); 1H NMR (500 MHz, CDCl3): δ = 7.92 (s, 1H), 7.25–7.22 (m, 2H), 6.74–6.71 (m, 1H), 5.92 (d, J = 2.0 Hz 1H), 4.80 (d, J = 12.0 Hz, 1H), 4.60 (d, J = 2.5 Hz 1H), 4.46–4.39 (m, 2H), 3.92–3.88 (m, 2H), 3.77–3.76 (m, 1H), 3.44 (s, 3H), 1.40 (s, 3H), 1.31 (s, 3H); 13C{1H} NMR (125 MHz, CDCl3): δ = 164.3, 164.2, 162.3, 162.2, 145.3, 133.4, 133.39, 133.31, 122.3, 111.9, 108.38, 108.33, 108.2, 108.1, 105.1, 103.4, 103.2, 103.0, 83.5, 81.5, 80.1, 67.4, 58.1, 54.1, 26.6 and 26.1 ppm.19 FNMR (470 MHz, CDCl3): δ = −109.1 ppm. HRMS (ESI+) m/z: [M + H]+ calcd. For, C18H22F2N3O5+, 398.1523; found, 398.1506.
(R)-1-((3aR,5R,6S,6aR)-6-Methoxy-2,2-dimethyltetrahydrofuro[2,3-d][1,3]dioxol-5-yl)-2-(4-(2-methoxyphenyl)-1H-1,2,3-triazol-1-yl)ethan-1-ol (9h).
Yellow sticky; yield: 164 mg (84%); Rf = 0.35 (40% ethyl acetate/n-hexane); 1H NMR (500 MHz, CDCl3): δ = 8.20 (d, J = 8.0 Hz, 1H), 8.10 (s, 1H), 7.26–7.23 (m, 1H), 7.03–7.00 (m, 1H), 6.87 (d, J = 8.0 Hz, 1H), 5.92 (d, J = 4.0 Hz 1H), 4.77–4.75 (m, 1H), 4.58 (d, J = 4.0 Hz, 1H), 4.44–4.40 (m, 2H), 4.11 (s, 1H), 4.00–3.98 (m, 1H), 3.90 (d, J = 3.0 Hz, 1H), 3.82 (s, 3H), 3.44 (s, 3H), 1.40 (s, 3H), 1.30 (s, 3H); 13C{1H} NMR (125 MHz, CDCl3): δ = 155.5, 142.7, 128.7, 127.3, 124.7, 120.8, 119.0, 111.9, 110.5, 105.1, 83.6, 81.7, 80.3, 67.7, 58.2, 55.1, 53.9, 26.7 and 26.2 ppm. HRMS (ESI+) m/z: [M + H]+ calcd. For, C19H26N3O6+, 392.1817; found, 392.1813.
(R)-2-(4-(4-(tert-Butyl)phenyl)-1H-1,2,3-triazol-1-yl)-1-((3aR,5R,6S,6aR)-6-methoxy-2,2-dimethyltetrahydrofuro[2,3-d][1,3]dioxol-5-yl)ethan-1-ol (9i).
White solid; yield: 171 mg (82%); Rf = 0.6 (30% ethyl acetate/n-hexane); 1H NMR (500 MHz, CDCl3): δ = 7.80 (s, 1H), 7.62 (d, J = 8.0 Hz, 2H), 7.38 (d, J = 8.0 Hz, 2H), 5.92 (d, J = 2.0 Hz 1H), 4.78–4.74 (m, 1H), 4.59 (d, J = 4.0 Hz, 1H), 4.44–4.41 (m, 2H), 4.00–4.38 (m, 3H), 3.44 (s, 3H), 1.40 (s, 3H), 1.33 (s, 9H), 1.31 (s, 3H); 13C{1H} NMR (125 MHz, CDCl3): δ = 151.1, 147.3, 127.4, 125.6, 125.2, 121.2, 111.9, 105.1, 83.6, 81.7, 80.2, 67.6, 58.2, 54.0, 34.6, 31.2, 26.7 and 26.2 ppm. HRMS (ESI+) m/z: [M + H]+ calcd. For, C22H32N3O5+, 418.2337; found, 418.2322.
(R)-1-((3aR,5R,6S,6aR)-6-Methoxy-2,2-dimethyltetrahydrofuro[2,3-d][1,3]dioxol-5-yl)-2-(4-(p-tolyl)-1H-1,2,3-triazol-1-yl)ethan-1-ol (9j).
Yellow sticky; yield: 169 mg (90%); Rf = 0.4 (40% ethyl acetate/n-hexane); 1H NMR (500 MHz, CDCl3): δ = 7.80 (s, 1H), 7.59–7.56 (m, 2H), 7.16 (d, J = 8.0 Hz, 2H), 5.92 (d, J = 4.0 Hz, 1H), 4.77–4.73 (m, 1H), 4.59 (d, J = 4.0 Hz, 1H), 4.44–4.40 (m, 2H), 4.07–3.81 (m, 3H), 3.44 (s, 3H), 2.35 (s, 3H), 1.39 (s, 3H), 1.30 (s, 3H); 13C{1H} NMR (125 MHz, CDCl3): δ = 147.3, 137.8, 129.3, 127.4, 125.4, 121.1, 111.9, 105.1, 83.5, 81.6, 80.2, 67.4, 58.2, 54.0, 26.7, 26.2 and 21.2 ppm. HRMS (ESI+) m/z: [M + H]+ calcd. For, C19H26N3O5+, 376.1867; found, 376.1837.
(R)-2-(4-(4-Bromophenyl)-1H-1,2,3-triazol-1-yl)-1-((3aR,5R,6S,6aR)-6-methoxy-2,2-dimethyltetrahydrofuro[2,3-d][1,3]dioxol-5-yl)ethan-1-ol (9k).
Pale yellow sticky; yield: 194 mg (88%); Rf = 0.4 (40% ethyl acetate/n-hexane); 1H NMR (500 MHz, CDCl3): δ = 7.84 (s, 1H), 7.55–7.46 (m, 1H), 5.91 (s, 1H), 4.78 (d, J = 11.0 Hz, 1H), 4.59 (s, 1H), 4.41 (d, J = 9.0 Hz, 2H), 3.94–3.88 (m, 3H), 3.44 (s, 3H), 1.39 (s, 3H), 1.31 (s, 3H); 13C{1H} NMR (125 MHz, CDCl3): δ = 146.2, 131.8, 129.1, 126.9, 121.9, 121.6, 111.9, 105.1, 83.5, 81.6, 80.2, 67.4, 58.1, 54.1, 26.7 and 26.2 ppm. HRMS (ESI+) m/z: [M + H]+ calcd. For, C18H23BrN3O5+, 440.0816; found, 440.0792.
(R)-1-((3aR,5R,6S,6aR)-6-Methoxy-2,2-dimethyltetrahydrofuro[2,3-d][1,3]dioxol-5-yl)-2-(4-(phenanthren-9-yl)-1H-1,2,3-triazol-1-yl)ethan-1-ol (9l).
Brown solid; yield: 180 mg (78%); Rf = 0.2 (40% ethyl acetate/n-hexane); 1H NMR (500 MHz, CDCl3): δ = 8.74 (d, J = 8.0 Hz, 1H), 8.68 (d, J = 8.0 Hz, 1H), 8.38 (d, J = 8.0 Hz, 1H), 8.0 (s, 1H), 7.95 (s, 1H), 7.85 (d, J = 8.0 Hz, 1H), 7.66 (t, J = 8.0 Hz, 2H), 7.58 (t, J = 8.0 Hz, 2H), 5.93 (d, J = 4.0 Hz 1H), 4.88–4.85 (m, 1H), 4.60–4.56 (m, 2H), 4.47–4.44 (m, 1H), 3.97–3.90 (m, 2H), 3.44 (s, 3H), 1.38 (s, 3H), 1.30 (s, 3H); 13C{1H} NMR (125 MHz, CDCl3): δ = 146.5, 131.2, 130.6, 130.3, 129.9, 128.7, 128.2, 127.0, 126.8, 126.7, 126.6, 126.4, 126.1, 124.7, 122.8, 122.4, 111.9, 105.1, 83.6, 81.5, 80.0, 67.7, 58.0, 53.8, 26.7 and 26.2 ppm. HRMS (ESI+) m/z: [M + H]+ calcd. For, C26H28N3O5+, 462.2024; found, 462.2015.
(2R,3S,4S,5R,6S)-2-(Acetoxymethyl)-6-(((2R,3R,4S,5R,6R)-4,5-diacetoxy-2-(acetoxymethyl)-6-(4-(thiophen-3-yl)-1H-1,2,3-triazol-1-yl)tetrahydro-2H-pyran-3-yl)oxy)tetrahydro-2H-pyran-3,4,5-triyl triacetate (9m)73.
White solid; yield: 330 mg (86%); Rf = 0.4 (40% ethyl acetate/n-hexane); 1H NMR (500 MHz, CDCl3): δ = 7.82 (s, 1H), 7.69 (d, J = 2.5 Hz 1H), 7.42 (d, J = 5.0 Hz 1H), 7.37–7.36 (m, 1H), 5.87 (d, J = 9.0 Hz, 1H), 5.47–5.35 (m, 3H), 5.14–5.10 (m, 1H), 4.98–4.95 (m, 1H), 4.53–4.45 (m, 2H), 4.17–4.06 (m, 3H), 3.99–3.86 (m, 3H), 2.14 (s, 3H), 2.08 (s, 3H), 2.06–2.04 (m, 9H), 1.95 (s, 3H), 1.86 (s, 3H); 13C{1H} NMR (125 MHz, CDCl3): δ = 170.3, 170.2, 170.08, 170.01, 169.4, 169.2, 169.0, 144.4, 131.0, 126.4, 125.7, 121.7, 117.4, 101.0, 85.4, 75.8, 75.6, 72.6, 70.8, 70.7, 70.3, 68.9, 66.5, 61.7, 60.7, 20.7, 20.6, 20.5, 20.4, and 20.1 ppm.
(2R,3R,5R,6R)-2-(Acetoxymethyl)-6-(4-((((3aR,5R,5aS,8aS,8bR)-2,2,7,7-tetramethyltetrahydro-5H-bis([1,3]dioxolo)[4,5-b:4′,5′-d]pyran-5-yl)methoxy)methyl)-1H-1,2,3-triazol-1-yl)tetrahydro-2H-pyran-3,4,5-triyl triacetate (9n)74.
White solid; yield: 242 mg (72%); Rf = 0.4 (40% ethyl acetate/n-hexane); 1H NMR (500 MHz, CDCl3): δ = 7.80 (s, 1H), 5.86 (d, J = 8.0 Hz, 1H), 5.52 (d, J = 4.0 Hz, 1H), 5.44–5.37 (m, 2H), 5.20 (t, J = 9.5 Hz, 1H), 4.71–4.65 (m, 2H), 4.57 (dd, J = 5.5 Hz, J = 2.5 Hz, 1H), 4.29–4.22 (m, 3H), 4.12–4.06 (m, 1H), 3.99–3.96 (m, 2H), 3.71–3.62 (m, 2H), 2.05 (s, 3H), 2.03 (s, 3H), 1.99 (s, 3H), 1.84 (s, 3H), 1.51 (s, 3H), 1.41 (s, 3H), 1.31–1.30 (m, 6H); 13C{1H} NMR (125 MHz, CDCl3): δ = 170.4, 169.8, 169.2, 168.7, 145.9, 120.9, 109.2, 108.5, 96.3, 85.6, 75.0, 72.7, 71.0, 70.6, 70.4, 70.2, 69.3, 67.6, 66.7, 64.6, 61.5, 26.0, 25.9, 24.8, 24.4, 20.5, 20.4 and 20.0 ppm. HRMS (ESI+) m/z: [M + H]+ calcd. For, C29H42N3O15+, 672.2611; found, 672.2604.
Methyl 4-(1-benzyl-1H-1,2,3-triazol-4-yl)benzoate (9o)75.
White solid; yield: 141 mg (96%); Rf = 0.3 (30% ethyl acetate/n-hexane); 1H NMR (500 MHz, CDCl3): δ = 8.06 (d, J = 8.0 Hz, 2H), 7.86 (d, J = 8.0 Hz, 2H), 7.75 (s, 1H), 7.39–7.35 (m, 3H), 7.31–7.30 (m, 2H), 5.56 (s, 2H), 3.90 (s, 3H); 13C{1H} NMR (125 MHz, CDCl3): δ = 166.6, 147.0, 134.8, 134.3, 130.1, 129.5, 129.1, 128.8, 128.0, 125.3, 120.3, 54.2 and 52.0 ppm.
3-(1-Benzyl-1H-1,2,3-triazol-4-yl)pyridine (9p)76.
White solid; yield: 112 mg (95%); Rf = 0.2 (40% ethyl acetate/n-hexane); 1H NMR (500 MHz, CDCl3): δ = 8.93 (s, 1H), 8.52 (d, J = 4.0 Hz, 1H), 8.15 (d, J = 8.0 Hz, 1H), 7.75 (s, 1H), 7.38–7.34 (m, 3H), 7.32–7.29 (m, 3H), 5.57 (s, 2H); 13C{1H} NMR (125 MHz, CDCl3): δ = 149.1, 146.9, 145.0, 134.3, 132.8, 129.1, 128.8, 128.0, 126.6, 123.6, 119.8 and 54.2 ppm.
2-(1-Benzyl-1H-1,2,3-triazol-4-yl)benzaldehyde (9q)21,77.
White solid; yield: 125 mg (95%); Rf = 0.3 (30% ethyl acetate/n-hexane); 1H NMR (500 MHz, CDCl3): 1H NMR (500 MHz, CDCl3): δ = 10.3 (s, 1H), 8.0 (d, J = 6.5 Hz, 1H), 7.75 (s, 1H), 7.67–7.59 (m, 2H), 7.48 (t, J = 8.0 Hz, 1H), 7.42–7.33 (m, 5H), 5.61 (s, 2H); 13C{1H} NMR (125 MHz, CDCl3): δ = 192.3, 145.1, 134.3, 133.8, 133.6, 132.9, 129.9, 129.2, 128.9, 128.7, 128.5, 128.1, 123.0 and 54.3 ppm.
1-Benzyl-4-(4-butylphenyl)-1H-1,2,3-triazole (9r)78.
White solid; yield: 134 mg (92%); Rf = 0.6 (30% ethyl acetate/n-hexane); 1H NMR (500 MHz, CDCl3): δ = 7.70 (d, J = 8.0 Hz, 2H), 7.61 (s, 1H), 7.40–7.35 (m, 3H), 7.31–7.29 (m, 2H), 7.21 (d, J = 8.0 Hz, 1H), 5.56 (s, 2H), 2.63–2.60 (m, 2H), 1.62–1.57 (m, 2H), 1.39–1.31 (m, 2H), 0.92 (t, J = 8.0 Hz, 3H),; 13C{1H} NMR (125 MHz, CDCl3): δ = 148.3, 143.0, 134.7, 129.0, 128.8, 128.7, 127.97, 127.91, 125.6, 119.1, 54.1, 35.4, 33.5, 22.9 and 13.9 ppm.
(2R,3R,5R,6R)-2-(Acetoxymethyl)-6-(4-((((3aR,5R,6S,6aR)-2,2-dimethyl-5-(((1-((2R,3R,5R,6R)-3,4,5-triacetoxy-6-(acetoxymethyl)tetrahydro-2H-pyran-2-yl)-1H-1,2,3-triazol-4-yl)methoxy)methyl)tetrahydrofuro[2,3-d][1,3]dioxol-6-yl)oxy)methyl)-1H-1,2,3-triazol-1-yl)tetrahydro-2H-pyran-3,4,5-triyl triacetate (9s).
Yellow sticky; yield: 329 mg (65%); Rf = 0.5, (70% ethyl acetate/n-hexane); 1H NMR (500 MHz, CDCl3): δ = 7.98 (s, 2H), 5.98 (d, J = 4.0 Hz, 1H), 5.96 (d, J = 4.0 Hz, 1H), 5.90 (d, J = 4.0 Hz, 1H), 5.56–5.41 (m, 4H), 5.34–5.28 (m, 2H), 4.81 (d, J = 13.0 Hz, 1H), 4.73–4.60 (m, 4H), 4.38–4.26 (m, 3H), 4.17–4.05 (m, 4H), 3.98 (d, J = 4.0 Hz, 1H), 3.80–3.76 (m, 1H), 3.70–3.67 (m, 1H), 2.07 (d, J = 2.0 Hz, 6H), 2.04–2.02 (m, 12H), 1.84 (s, 3H), 1.82 (s, 3H), 1.46 (s, 3H), 1.30 (s, 3H); 13C NMR (125 MHz, CDCl3): δ = 170.4, 169.95, 169.92, 169.4, 168.88, 168.83, 145.4, 145.1, 121.7, 121.4, 111.7, 105.0, 85.6, 82.1, 81.6, 78.6, 75.09, 75.01, 72.79, 72.77, 70.3, 67.84, 67.82, 67.4, 64.7, 63.4, 61.6 26.7, 26.2, 22.6, 20.6, 20.55, 20.51 and 20.0 ppm. HRMS (ESI+) m/z: [M + H]+ calcd. For, C42H57N6O23+, 1013.3470; found, 1013.3468.
2,4,6-tris(((1-Benzyl-1H-1,2,3-triazol-4-yl)methyl)thio)-1,3,5-triazine (9t).
White solid; yield: 283 mg (82%); Rf = 0.7, (70% ethyl acetate/n-hexane); 1H NMR (500 MHz, CDCl3): δ = 7.47 (s, 3H), 7.34–7.33 (m, 8H), 7.26–7.24 (m, 7H), 5.46 (s, 6H), 4.33 (s, 6H); 13C NMR (125 MHz, CDCl3): δ = 178.8, 144.0, 134.4, 129.1, 128.7, 128.1, 122.6, 54.1 and 25.1 ppm. HRMS (ESI+) m/z: [M + Na]+ calcd. For, C33H30N12NaS3+, 713.1771; found, 713.1760.
(1S,2R)-1-((2R,3R,4S,6R)-3-Acetamido-4-acetoxy-6-(methoxycarbonyl)-6-(4-(pyridin-3-yl)-1H-1,2,3-triazol-1-yl)tetrahydro-2H-pyran-2-yl)propane-1,2,3-triyl triacetate (9u).
White solid; yield: 232 mg (75%); Rf = 0.2, (3% methanol/DCM); 1H NMR (500 MHz, CDCl3): δ = 9.14 (s, 1H), 8.59 (s, 1H), 8.40 (s, 1H), 8.23 (d, J = 8.0 Hz, 1H), 7.39–7.36 (m, 1H), 5.58 (d, J = 9.5 Hz, 1H), 5.51–5.47 (m, 1H), 5.40–5.39 (m, 1H), 5.23–5.18 (m, 1H), 4.39–4.34 (m, 2H), 4.17–4.11 (m, 1H), 4.04 (dd, J = 12.0 Hz, 7.0 Hz, 1H), 3.78 (s, 3H), 3.52 (dd, J = 13.5 Hz, 4.0 Hz, 1H), 2.73–2.68 (m, 1H), 2.17 (s, 3H), 2.10 (s, 3H), 2.08 (s, 3H), 2.06 (s, 3H), 1.90 (s, 3H); 13C NMR (125 MHz, CDCl3): δ = 170.8, 170.6, 170.4, 170.3, 170.0, 166.4, 149.3, 147.1, 145.3, 133.2, 126.3, 123.7, 119.5, 88.5, 74.0, 68.4, 68.2, 67.0, 62.4, 54.1, 49.2, 35.9, 23.1, 21.2, 20.78 and 20.71 ppm. HRMS (ESI+) m/z: [M + H]+ calcd. For, C27H34N5O12+, 620.2199; found, 620.2190.
(5aS,5bR,8aR,9aR)-7,7-Dimethyl-5a,5b,8a,9a-tetrahydro-4H,10H-[1,3]dioxolo[4′,5′:4,5]furo[2,3-f][1,2,3]triazolo[5,1-c][1,4]oxazepane (9v)57.
White solid; yield: 116 mg (92%); Rf = 0.2, (40% ethyl acetate/n-hexane); 1H NMR (600 MHz, CDCl3): δ = 7.51 (s, 1H), 5.80 (d, J = 3.6 Hz, 1H), 5.11 (dd, J = 15.0, 6.0 Hz, 1H), 4.95 (d, J = 15.0 Hz, 1H), 4.72 (dd, J = 15.0, 3.0 Hz, 1H), 4.61 (d, J = 15.0 Hz, 1H), 4.52 (d, J = 4.2 Hz, 1H), 4.43–4.42 (m, 1H), 4.22 (s, 1H), 1.48 (s, 3H), 1.29 (s, 3H). 13C NMR (150 MHz, CDCl3): δ = 134.7, 132.2, 112.2, 104.9, 84.5, 83.9, 74.5, 60.7, 48.0, 26.7, and 26.1 ppm. HRMS (ESI+) m/z: [M + H]+ calcd. For, C11H16N3O4+, 254.1136; found, 254.1130.
General synthetic procedure for 1,2,3-triazoles 9w–y
Take the benzyl bromide (1.0 equiv., 0.5 mmol), alkyne (1.2 equiv., 0.6 mmol), NaN3 (1.2 equiv., 0.6 mmol), and complex 3 (0.1 mol%), in water at 50 °C for 30 minutes. After the completion of the reaction (monitored by thin-layer chromatography), workup was performed in ethyl acetate. After workup in ethyl acetate, the residue was subjected to column chromatography using ethyl acetate/n-hexane as the eluent to furnish the respective 1,2,3-triazoles 9w–y. The developed triazoles were characterized by 1H and 13C NMR spectroscopy (spectra are given in the SI).
1-Benzyl-4-phenyl-1H-1,2,3-triazole (9w).
White solid; yield: 108 mg (92%); Rf = 0.5, (40% ethyl acetate/n-hexane); 1H NMR (500 MHz, CDCl3): 1H NMR (500 MHz, CDCl3): 1H NMR (500 MHz, CDCl3): δ = 7.80 (d, J = 6.0 Hz, 2H), 7.66 (s, 1H), 7.41–7.36 (m, 5H), 7.32–7.30 (m, 3H), 5.56 (s, 2H); 13C{1H} NMR (125 MHz, CDCl3): δ = 148.1, 134.6, 130.5, 129.1, 128.76, 128.73, 128.1, 128.0, 125.6, 119.4, and 54.1 ppm.
1-Benzyl-4-(m-tolyl)-1H-1,2,3-triazole (9x).
White solid; yield: 118 mg (95%); Rf = 0.5, (40% ethyl acetate/n-hexane); 1H NMR (500 MHz, CDCl3): 1H NMR (500 MHz, CDCl3): 1H NMR (500 MHz, CDCl3): δ = 7.65 (d, J = 8.0 Hz, 2H), 7.57 (d, J = 7.0 Hz, 1H), 7.40–7.36 (m, 3H), 7.31–7.26 (m, 3H), 7.13 (d, J = 6.5 Hz, 1H), 5.57 (s, 2H), 2.38 (s, 3H); 13C{1H} NMR (125 MHz, CDCl3): δ = 148.3, 138.4, 134.6, 130.3, 129.1, 128.9, 128.7, 128.6, 128.0, 128.3, 122.7, 119.4, 54.2 and 21.3 ppm.
1-Benzyl-4-(thiophen-2-yl)-1H-1,2,3-triazole (9y).
White solid; yield: 115 mg (96%); Rf = 0.6, (40% ethyl acetate/n-hexane); 1H NMR (500 MHz, CDCl3): δ = 7.63 (d, J = 2.0 Hz, 1H), 7.55 (s, 1H), 7.40–7.32 (m, 5H), 7.28–7.26 (m, 2H), 5.53 (s, 2H); 13C{1H} NMR (125 MHz, CDCl3): δ = 144.3, 134.6, 131.7, 129.0, 128.6, 127.9, 126.2, 125.7, 121.0, 119.2 and 54.0 ppm.
Conclusions
Octahedral [NiL2] and [ZnL2] precursors were synthesized to generate new heterobimetallic Cu(I) and Ag(I) complexes, in which the soft metal centers adopt tetrahedral coordination geometries. All the complexes were structurally characterised and screened for click reactions to develop a library of diverse glycohybrid 1,2,3-triazoles and aryl triazoles. Among all the developed complexes, complex 3 emerged as an efficient and recyclable catalyst, demonstrating catalytic activity with a yield of up to 96%. The reaction was feasible under basic conditions, yielding good results, and also under non-basic conditions, albeit with an increased time interval. To the best of our knowledge, heterobimetallic complexes were employed for the first time in glycocluster synthesis, affording excellent yields.
Author contributions
AS designed and characterized the complexes and solved X-ray structures. RKT and MSY carried out the catalytic experiment. SB planned and supervised. All authors have approved the final version of the manuscript.
Conflicts of interest
There are no conflicts to declare.
Data availability
The data supporting this article have been included as part of the supplementary information (SI).
Supplementary information: synthetic details and spectra of compounds. X-ray crystallographic data in the CIF format may be obtained from CCDC, citing the numbers 2422623–2422625, 2422632, 2491660. See DOI: https://doi.org/10.1039/d5cy01152c.
CCDC 2422623–2422625, 2422632 and 2491660 (1–4, and 6) contain the supplementary crystallographic data for this paper.79a–e
Acknowledgements
A.S. and S.B. are thankful, respectively, to UGC [JRF NTA ref. no.: 221610061961] and the IoE faculty incentive grants of Banaras Hindu University (scheme number: 6031) for funding. MSY is thankful to CSIR for providing the RA fellowship.
References
-
P. Kalck, Top. Organomet. Chem., Springer Cham, ISBN-13, 2016, pp. 978–3319816951 Search PubMed
.
- F. A. Cotton, Acc. Chem. Res., 1978, 11, 225–232 CrossRef CAS
.
- L. H. Gade, Angew. Chem., Int. Ed., 2000, 39, 2658–2678 CrossRef CAS PubMed
.
- I. G. Powers and C. Uyeda, ACS Catal., 2017, 7, 936–958 CrossRef CAS
.
- S. Patra and N. Maity, Coord. Chem. Rev., 2021, 434, 213803 CrossRef CAS
.
- R. Maity, B. S. Birenheide, F. Breher and B. Sarkar, ChemCatChem, 2021, 13, 2337–2370 Search PubMed
.
- J. I. Van Der Vlugt, Eur. J. Inorg. Chem., 2012, 2012, 363–375 CrossRef CAS
.
- K. Semba and Y. Nakao, Tetrahedron, 2019, 75, 709–719 Search PubMed
.
- S. Inoue, M. Mitsuhashi, T. Ono, Y.-N. Yan, Y. Kataoka, M. Handa and T. Kawamoto, Inorg. Chem., 2017, 56, 12129–12138 CrossRef CAS PubMed
.
- J. A. Denny and M. Y. Darensbourg, Chem. Rev., 2015, 115, 5248–5273 CrossRef CAS PubMed
.
- P. V. Rao, S. Bhaduri, J. Jiang and R. H. Holm, Inorg. Chem., 2004, 43, 5833–5849 CrossRef CAS PubMed
.
- M. V. Rampersad, S. P. Jeffery, M. L. Golden, J. Lee, J. H. Reibenspies, D. J. Darensbourg and M. Y. Darensbourg, J. Am. Chem. Soc., 2005, 127, 17323–17334 CrossRef CAS PubMed
.
- D. Yang, Y. Li, L. Su, B. Wang and J. Qu, Eur. J. Inorg. Chem., 2015, 2015, 2965–2973 CrossRef CAS
.
- P. Ghosh, S. Ding, R. B. Chupik, M. Quiroz, C.-H. Hsieh, N. Bhuvanesh, M. B. Hall and M. Y. Darensbourg, Chem. Sci., 2017, 8, 8291–8300 RSC
.
- X. Chu, X. Xu, H. Su, S. Raje, R. Angamuthu, C.-H. Tung and W. Wang, Inorg. Chem. Front., 2017, 4, 706–711 RSC
.
- S. Singh, J. Chaturvedi, A. S. Aditya, N. R. Reddy and S. Bhattacharya, Inorg. Chim. Acta, 2013, 396, 6–9 Search PubMed
.
- S. Singh, J. Chaturvedi and S. Bhattacharya, Inorg. Chim. Acta, 2013, 407, 31–36 Search PubMed
.
- G. Kociok-Köhn, K. C. Molloy and A. L. Sudlow, Main Group Met. Chem., 2015, 38, 117–119 CrossRef
.
- D. Fuhrmann, S. Dietrich and H. Krautscheid, Chem. – Eur. J., 2017, 23, 3338–3346 Search PubMed
.
- D. Fuhrmann, T. Severin and H. Krautscheid, Z. Anorg. Allg. Chem., 2017, 643, 932–937 Search PubMed
.
- C. W. Tornøe, C. Christensen and M. Meldal, J. Org. Chem., 2002, 67, 3057–3064 CrossRef PubMed
.
- V. V. Rostovtsev, L. G. Green, V. V. Fokin and K. B. Sharpless, Angew. Chem., Int. Ed., 2002, 41, 2596–2599 CrossRef CAS PubMed
.
- K. Kumar, A. K. Agrahari, R. Pratap, V. K. Tiwari and S. Bhattacharya, New J. Chem., 2022, 46, 18471–18481 RSC
.
- M. Nayak, D. K. Joshi, K. Kumar, A. S. Singh, V. K. Tiwari and S. Bhattacharya, Inorg. Chem., 2021, 60, 8075–8084 Search PubMed
.
- N. Sareen, A. S. Singh, V. K. Tiwari, R. Kant and S. Bhattacharya, Dalton Trans., 2017, 46, 12705–12710 RSC
.
- D. K. Joshi, K. B. Mishra, V. K. Tiwari and S. Bhattacharya, RSC Adv., 2014, 4, 39790–39797 RSC
.
- B. Biswas, B. Mondal, P. P. Hajra, C. Rizzoli, S. Mallick, I. Saha, S. K. Saha, U. K. Roy and R. Saha, Inorg. Chim. Acta, 2024, 565, 121999 Search PubMed
.
- M. R. Patterson and H. V. R. Dias, Dalton Trans., 2021, 51, 375–383 RSC
.
- A. Khanzadeh, S. Ataie and R. T. Baker, Dalton Trans., 2023, 52, 11768–11772 RSC
.
- S. Lal and S. Diez-Gonzalez, J. Org. Chem., 2011, 76, 2367–2373 CrossRef CAS PubMed
.
- N. Candelon, D. Lastécouères, A. K. Diallo, J. R. Aranzaes, D. Astruc and J.-M. Vincent, Chem. Commun., 2008, 741–743 RSC
.
- Á. Beltrán, I. Gata, C. Maya, J. Avó, J. C. Lima, C. A. T. Laia, R. Peloso, M. Outis and M. C. Nicasio, Inorg. Chem., 2020, 59, 10894–10906 CrossRef PubMed
.
- M. Khatua, B. Goswami, Kamal and S. Samanta, Inorg. Chem., 2021, 60, 17537–17554 CrossRef CAS PubMed
.
- A. Basu, D. Thiyagarajan, C. Kar, A. Ramesh and G. Das, RSC Adv., 2013, 3, 14088–14098 RSC
.
- T. S. Lobana, P. Kumari, G. Hundal and R. J. Butcher, Polyhedron, 2010, 29, 1130–1136 CrossRef CAS
.
- R. A. Souza, V. L. Cunha, J. H. de Souza, C. H. Martins, E. de F. Franca, M. Pivatto, J. A. Ellena, L. A. Faustino, A. O. de T. Patrocinio and V. M. Deflon, J. Inorg. Biochem., 2022, 237, 111995 CrossRef CAS PubMed
.
- A. Shrivastav, R. K. Sahani and S. Bhattacharya, Inorg. Chem., 2025, 64, 8799–8818 Search PubMed
.
- E. Schulz, V. Mawamba, M. Löhr, C. Hagemann, A. Friedrich and U. Schatzschneider, Z. Anorg. Allg. Chem., 2022, 648, e202200073 CrossRef CAS
.
- M. R. Bermejo, A. M. González-Noya, M. Martínez-Calvo, R. Pedrido, M. Maneiro, M. I. Fernández and E. Gómez-Fórneas, Z. Anorg. Allg. Chem., 2007, 633, 1911–1918 CrossRef CAS
.
- J. A. W. Verhagen, C. Tock, M. Lutz, A. L. Spek and E. Bouwman, Eur. J. Inorg. Chem., 2006, 2006, 4800–4808 CrossRef
.
- F. Krätschmer, X. Sun, D. Frick, C. Zovko, W. Klopper and P. W. Roesky, Inorg. Chem. Front., 2024, 11, 853–862 RSC
.
- A. D. Becke, Phys. Rev. A, 1988, 38, 3098–3100 CrossRef CAS PubMed
.
- A. D. Becke, J. Chem. Phys., 1992, 96, 2155–2160 CrossRef CAS
.
- P. J. Hay and W. R. Wadt, J. Chem. Phys., 1985, 82, 299–310 CrossRef CAS
.
- P. J. Hay and W. R. Wadt, J. Chem. Phys., 1985, 82, 270–283 CrossRef CAS
.
- H. C. Kolb, M. G. Finn and K. B. Sharpless, Angew. Chem., Int.
Ed., 2001, 40, 2004–2021 CrossRef CAS PubMed
.
- V. K. Tiwari, B. B. Mishra, K. B. Mishra, N. Mishra, A. S. Singh and X. Chen, Chem. Rev., 2016, 116, 3086–3240 CrossRef CAS PubMed
.
- A. K. Agrahari, P. Bose, M. K. Jaiswal, S. Rajkhowa, A. S. Singh, S. Hotha, N. Mishra and V. K. Tiwari, Chem. Rev., 2021, 121, 7638–7956 CrossRef CAS PubMed
.
- M. S. Yadav, V. K. Pandey, M. K. Jaiswal, S. K. Singh, A. Sharma, M. Singh and V. K. Tiwari, J. Org. Chem., 2025, 90, 5731–5762 CrossRef CAS PubMed
.
- A. Sharma, A. K. Agrahari, S. Rajkhowa and V. K. Tiwari, Eur. J. Med. Chem., 2022, 238, 114454 CrossRef CAS PubMed
.
- S. K. Singh, A. Sharma, N. Mishra and V. K. Tiwari, Carbohydr. Res., 2025, 555, 109571 CrossRef CAS PubMed
.
- J. E. Moses and A. D. Moorhouse, Chem. Soc. Rev., 2007, 36, 1249–1262 RSC
.
- C. Wang, D. Ikhlef, S. Kahlal, J.-Y. Saillard and D. Astruc, Coord. Chem. Rev., 2016, 316, 1–20 CrossRef CAS
.
- A. K. Agrahari, K. K. Manar, C. L. Yadav, V. K. Tiwari, M. G. Drew and N. Singh, New J. Chem., 2019, 43, 8939–8949 RSC
.
- M. K. Jaiswal, A. Gupta, M. S. Yadav, V. K. Pandey and V. K. Tiwari, Chem. – Eur. J., 2023, 29, e202301749 CrossRef CAS PubMed
.
- A. K. Agrahari, M. K. Jaiswal, M. S. Yadav and V. K. Tiwari, Carbohydr. Res., 2021, 508, 108403 CrossRef CAS PubMed
.
- M. S. Yadav, M. K. Jaiswal, S. Kumar, S. K. Singh, F. J. Ansari and V. K. Tiwari, Carbohydr. Res., 2022, 521, 108674 CrossRef CAS PubMed
.
- S. Dedola, S. Ahmadipour, P. de Andrade, A. N. Baker, A. N. Boshra, S. Chessa, M. I. Gibson, P. J. Hernando, I. M. Ivanova and J. E. Lloyd, RSC Chem. Biol., 2024, 5, 167–188 RSC
.
- S. Hotha, R. I. Anegundi and A. A. Natu, Tetrahedron Lett., 2005, 46, 4585–4588 Search PubMed
.
- S. Nekkanti, K. Veeramani, S. S. Kumari, R. Tokala and N. Shankaraiah, RSC Adv., 2016, 6, 103556–103566 RSC
.
- M. S. Asgari, S. Bahadorikhalili, A. Ghaempanah, P. R. Ranjbar, R. Rahimi, A. Abbasi, B. Larijani and M. Mahdavi, Tetrahedron Lett., 2021, 65, 152765 CrossRef CAS
.
- H. Sharghi, R. Khalifeh and M. M. Doroodmand, Adv. Synth. Catal., 2009, 351, 207–218 CrossRef CAS
.
- L. Jin, D. R. Tolentino, M. Melaimi and G. Bertrand, Sci. Adv., 2015, 1, e1500304 CrossRef PubMed
.
- B. F. Straub, Chem. Commun., 2007, 3868–3870 RSC
.
- R. Berg, J. Straub, E. Schreiner, S. Mader, F. Rominger and B. F. Straub, Adv. Synth. Catal., 2012, 354, 3445–3450 CrossRef CAS
.
- R. Berg and B. F. Straub, Beilstein J. Org. Chem., 2013, 9, 2715–2750 CrossRef PubMed
.
- L. Zhu, C. J. Brassard, X. Zhang, P. M. Guha and R. J. Clark, Chem. Rec., 2016, 16, 1501–1517 CrossRef CAS PubMed
.
- G. G. Messmer and G. J. Palenik, Inorg. Chem., 1969, 8, 2750–2754 CrossRef CAS
.
- C. W. Liu, H. Pan, J. P. Fackler Jr., G. Wu, R. E. Wasylishen and M. Shang, J. Chem. Soc., Dalton Trans., 1996, 3691 Search PubMed
.
- G. M. Sheldrick, Acta Crystallogr., Sect. A:Found. Adv., 2015, 71, 3–8 CrossRef PubMed
.
- G. M. Sheldrick, Acta Crystallogr., Sect. C:Struct. Chem., 2015, 71, 3–8 Search PubMed
.
- O. V. Dolomanov, L. J. Bourhis, R. J. Gildea, J. A. Howard and H. Puschmann, J. Appl. Crystallogr., 2009, 42, 339–341 CrossRef CAS
.
- H. Marzag, S. Alaoui, H. Amdouni, A. R. Martin, K. Bougrin and R. Benhida, New J. Chem., 2015, 39, 5437–5444 RSC
.
- R. A. Akula, D. P. Temelkoff, N. D. Artis and P. Norris, Heterocycles, 2004, 63, 2719–2725 CrossRef CAS
.
- M. C. Bröhmer, S. Mundinger, S. Bräse and W. Bannwarth, ChemInform, 2011, 42, no-no Search PubMed
.
- X. Hai, Y. Zheng, Q. Yu, N. Guo, S. Xi, X. Zhao, S. Mitchell, X. Luo, V. Tulus and M. Wang, Nature, 2023, 622, 754–760 Search PubMed
.
- F. Cuevas, A. I. Oliva and M. A. Pericas, Synlett, 2010, 2010, 1873–1877 CrossRef
.
- M. Krishnan, M. Kathiresan and C. Praveen, Eur. J. Org. Chem., 2023, 26, e202201405 CrossRef CAS
.
-
(a)
CCDC 2422623: Experimental Crystal Structure Determination, 2025, DOI:10.2550/fix.icsd.cc2m9y41
;
(b)
CCDC 2422624: Experimental Crystal Structure Determination, 2025, DOI:10.2550/fix.icsd.cc2m9y52
;
(c)
CCDC 2422625: Experimental Crystal Structure Determination, 2025, DOI:10.2550/fix.icsd.cc2m9y63
;
(d)
CCDC 2422632: Experimental Crystal Structure Determination, 2025, DOI:10.2550/fix.icsd.cc2m9yfb
;
(e)
CCDC 2491660: Experimental Crystal Structure Determination, 2025, DOI:10.2550/fix.icsd.cc2pms48
.
|
| This journal is © The Royal Society of Chemistry 2026 |
Click here to see how this site uses Cookies. View our privacy policy here.